“排队号码:甲125号”。上一个周六的晚上18时40分,新一酱从餐厅门口的等位系统中拿到了机器吐出的一张排队单号,热敏纸打印的纸条显示,当前等待桌数为82桌。直到整整1个半小时后,新一酱才等到前面的排队人数变为0人,走进餐厅坐下点菜。
这家餐厅是上海非常热门的餐厅桂满陇旗下的另一个品牌“虫二酒肆”,它在上海美罗城开业已逾1年半,但一直维持着很高的热度。从最近半年的点评用户评论来看,虫二酒肆的热度已经超过桂满陇在上海的其他分店。
在等位的时间里,新一酱一直在思考的问题是:究竟什么样的餐厅算得上是网红餐厅?大家愿意花费数小时排队吃一家网红餐厅的动力在哪里?
于是,新一酱就以大众点评上的餐厅评论数量作为餐厅热门度的量化指标,寻找最近一段时间内城市里热度最高的餐厅来识别网红餐厅。
考虑到每个城市的人口基数和用户评论习惯并不一致,网红餐厅的筛选标准需要参照每个城市内餐厅评论数量的具体分布状况。新一酱首先筛选了每个城市历史累积评论总数靠前1%的餐厅,它们代表了城市从过去到现在的人气餐厅,在此基础上又筛选出近半年内评论数前15%的餐厅,将它们认定为网红餐厅。
在大众点评收录的餐厅数量最多的25个城市中,新一酱一共识别出了986家网红餐厅。
截至2018年第一季度,上海的餐厅总数达到了19.7万家,最终筛选出的网红餐厅只有99家,占比仅为0.05%。按照新一酱的计算标准,一家上海的餐厅想在这片红海中突围,成为金字塔顶端的99家网红餐厅的其中之一,它在半年内的评论数量需要达到655条。
北京的网红餐厅门槛和数量均排在第2,网红餐厅数量有76家。它的餐厅近半年评论分布曲线和上海相似,餐厅近半年的评论数量集中在100条至350条的区间。
重庆、成都的餐厅总数与上海的量级相当,排在北京之前,分别为19万家和18.2万家。受城市整体的餐厅评论热度偏低的影响,这两个城市的网红餐厅门槛相对较低。在重庆半年评论数量达到224条就已经称得上是这个城市里最红的餐厅之一了。成都的标准相对高一些,需要达到364条。仔细观察两个城市的餐厅评论分布曲线,你会发现每家的半年评论数量集中0条至150条之间。
深圳、苏州和武汉都呈现了这种分布,这些城市里的人们并不热衷于在网络平台上为去过的餐厅写下评价。
南京、天津在整体量级上和上海、北京存在差距,它们看起来更像是后者的缩小版,网红餐厅的数量相对不多,但门槛又非常高。
这些网红餐厅都分布在哪里?接下来新一酱用机器学习的方法,对两万条地址训练之后,得到了判断地址属于商场或者街边的模型,用以识别每家网红餐厅的选址类型,最后发现它们大部分都在商场里,而不是街边。
上海的99家网红餐厅中,有78家为商场店,21家为街边店,它们之间的差距达到了3.7倍。深圳和青岛的这一比例更高,分别为7.5倍和6倍。比起那些在平面方向上延伸的街道,商场就像一个大盒子,能够汇集更多的人流,并将人流导向到整个立体空间中,从而带动商场内餐厅的整体热度。
在网红餐厅商场店数量最多的15个城市中,成都是唯一一个街边店比例超过商场店的城市。相比高大上的商场餐厅,这个城市里的食客更青睐于烟火味十足的苍蝇馆子,比如龙抄手、明婷饭店、廖老妈蹄花、饕林餐厅……这些餐厅在互联网时代之前就已经是城市里极负盛名的小馆子,彼时商场的餐饮购物混合业态也尚未兴起。而今,餐饮已经成为商场业态的重要组成部分,且承担着提升客流聚集人气的重任。
像新一酱一样经常因为等位时间过长,转而选择不那么热门的餐厅的人不在少数。商场和门店是共荣共生的利益共同体,这些具有超高人气的网红餐厅能够为商场带来可观的客流,而商场的人气提升也能为餐厅带来新的人气。为了进一步观察网红餐厅之间的共生关系,新一酱将分布间隔小于30米的网红餐厅合成了单个空间区域,在此基础上人工修正了餐厅所属的空间区域,得到了城市中网红餐厅热度最高的商场。
在城市能级相对小、商业不那么发达的的青岛和大连,有且仅有1家网红餐厅聚集的商场。
如果在青岛和大连拔草网红餐厅,去这两家商场就够了:青岛万象城有13家网红餐厅——这个城市里的网红餐厅总数也就只有24家;而大连柏威年购物广场的网红餐厅数量也占到全城的37.5%。
两个商场内部的几家网红餐厅的实力相当,没有拉开明显的差距,青岛万象城里最热门的南京大排档近半年的评论数只比最后一名的西贝莜面村高出291条,大连柏威年购物广场的大树餐厅也只比北京羲和雅苑烤鸭坊高出225条。在其他城市的商场中,第一名的网红餐厅和最后一名的差距往往在500条至1000条之间。
南京德基广场和西安赛格国际购物中心的网红餐厅热度总量排名第1和第3。它们的餐厅数量略少于青岛万象城,但都有特别热门的网红餐厅。德基广场的桂满陇和赛格国际的长安大排档半年内的评论数量都达到了1000条以上。
上海有3个商场位于热门网红餐厅商场前10名,它们依次是长宁龙之梦、美罗城和日月光。这三个商场的网红餐厅数量并不多,但像长宁龙之梦的南京大排档、桂满陇和哥老官就能够依靠单店撑起商场整体的网红餐厅热度。这三家商场之外,上海的网红餐厅相对分散地分布在城市大大小小的商场里,汇都国际、晶品、凯德龙之梦、大悦城均有两三个网红餐厅坐镇。
越来越多的网红餐厅出现在商场里,与购物中心为了集聚人气大幅度提升餐饮业态的比例有关,今年新开业的商场中餐饮比例普遍在30%以上,多的甚至高达50%。比如在上海,日月光和晶品的餐饮已经超过了购物类,餐饮占购物中心比例分别为43%和42%,美罗城的餐厅数量占比略低,为35%。
长宁龙之梦的桂满陇是这家商场中评论热度最高的餐厅。因为租约到期,近期它将从商场的8楼移至7楼。新的店面拥有更好的地理位置——顾客站在扶梯上便能一眼望见它。
占据一个地理位置绝佳的商铺门面只是网红餐厅的第一步,想在流量中杀出重围,并保持热度,一家网红餐厅要做的还有很多。
需要排长队等待的网红餐厅口碑到底如何?新一酱也很好奇,想看看那些去过的人都怎么说。于是,新一酱用腾讯AI的情感分析模型识别了这些网红餐厅近半年的评论情感倾向度。考虑到单个用户对餐厅的评论同时存在正面和负面的评价,这里我们直接累计每条评论中出现的正负面语料数量,得到单位统计时间内的正/负评价指数。
整体来看,用户对网红餐厅的正面评价指数与负面评价指数呈线性相关,且正面评价的数量远高于负面评价——网红餐厅的体验总的来说还是不错的。
不过每家网红餐厅都有其特有的用户评价情绪曲线,它可能藏着更多秘密。以天为单位统计时间,多数网红餐厅的评价指数曲线都呈现出了较大的波动。
从数据形态的结果中,新一酱找出了三个典型的例子。
南京德基广场的桂满陇正面和负面两种评价指数分别位于两个具有区分度的“波段”,正面评价指数能够相对稳定地保持在高位上。
北京朝阳大悦城的HI辣火锅的正面评价和负面评价间隔相对较小,并且屡次出现了负面评价压过了正面评价的情况。
青岛万象城的撒椒的正面评价在2018年3月1日出现了半年里的最高峰,此时距离农历新年刚过2周。
从情绪曲线的量级来看,南京德基广场桂满陇的评论语料尤其丰富,但整体水平相对均衡,看得出这家2016年11月开业的网红餐厅直到现在也依然火爆。而另两家店在半年的区间段内出现了明显的评价高峰期。
在今年5月末至6月间末之间,北京朝阳大悦城HI辣火锅有一段很明显的正面评价高峰期,新一酱仔细翻看了下评价的内容,这段波动主要来源于期间的商户推出了霸王餐代金券赠送活动。该优惠活动持续时间较长,也使得这家餐厅的评论热度持续高涨。
而青岛万象城撒椒在年后出现的长评热潮也来自于当时餐厅与点评联合推出的新年聚会活动。但在曲线波动中你能明显看到正面评价的高峰期仅集中在3月1日至10日之间,活动结束之后,餐厅整体的评价指数又回归到了年前的水平。
对于餐厅的长久经营来说,短期的优惠活动能够带动餐厅的人气和正面评价,但要长久地将网红店经营下去,核心还是要回归到人们最在意的事情上去。
在分词的基础上,新一酱计算了网红餐厅近半年用户评论中关键词的TF-IDF值——TF-IDF方法通常用于评估字词对一个文本集合的重要程度。
从上图的词云中可以很直接地看到,被各种原因种草而去餐厅打卡的食客,对一个餐厅的评价最终会回到它们作为饮食体验的第一重标准:“好吃”。除此之外,餐厅的服务水平、环境、食物的新鲜度、性价比也是重要的考量标准。“排队”、“等位”仍然是影响就餐体验的重要因素,这两个词在所有网红餐厅的评论中分别出现了7.4万次和2.8万次。
说起味道,“招牌菜”才是老食客对一个餐厅最深刻的味蕾记忆,也是收割新食客的最便捷方法。截至2018年第一季度,北京地坛附近的金鼎轩的“招牌虾饺皇”累计被推荐了11624次,是全北京排名第1的推荐菜。这家餐厅排名第2的推荐菜是豉汁蒸凤爪,也被推荐5625次。
新一酱以餐厅前3名推荐菜的被推荐次数总和占前10名推荐菜被推荐次数的比例来识别一家餐厅是否有招牌菜。面包甜点和小吃快餐类的网红餐厅有招牌菜的比例分别达到了97.2%和78.8%。广州的南信牛奶甜品专家的主打便是双皮奶,排名第二的姜撞奶的被推荐次数只是前者的四分之一。
江浙菜、西餐、日本料理、烧烤和火锅类的在菜品的推荐次数上相对平衡,没有特别突出的“招牌菜”,以上海人民广场的南京大排档为例,其前10名的推荐菜推荐次数集中在1000次至3800次之间,差距并不悬殊。
有了“招牌菜”之后,再有个好菜名可能会有奇效。新一酱以每个城市中被推荐次数达到前75%的推荐菜菜名为样本进行分词处理,并根据分词结果(包括单字、词语和少数常见菜名)计算了每个菜名中包含的词组数量。
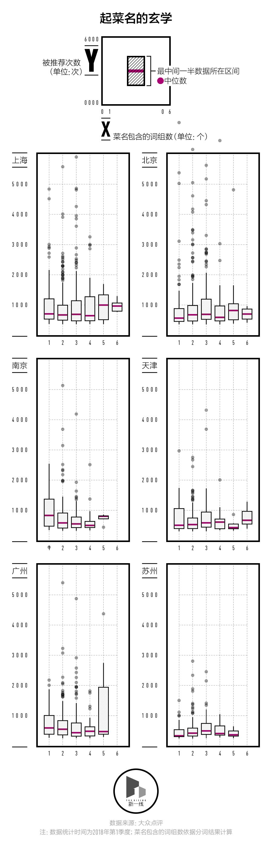
从下图推荐菜的菜名词组长度和被推荐次数的分布箱型图中,我们可以发现对不同城市的食客对菜名的复杂程度有不同的感受度。要想起个好菜名,得拿捏好分寸感——这就是个玄学问题了。
让我们先来学习一下如何读懂这一系列箱型图的关键部分:图表中“箱子”的底部为菜品被推荐次数的1/4分位数,箱子的顶部为菜品被推荐次数的3/4分位数——整个代表最中间一半的菜品的被推荐次数区间;而中间那道粗线则是这些菜品被推荐次数的中位数。
如果你想在上海开一家网红餐厅,费些心思想一些听起来复杂的菜名,可能会有意外的收获。在上海,菜品名称中包含5个词组能够获得的推荐量要高于简单词组构成的菜品:这类菜品的中位数和箱子的底部和顶部相对高于其他更简单的词组。“越煮越嫩羊肉”“打不到的甜菜根”“味噌软牛舌大叶烤”“孜然酥香煎羊排”“桂花年糕邂逅干炒牛河”,这些菜名要么是加上了形容词,要么是包含了这道菜的做法和食材,还有的可能走文艺路线。总之,它们的起名原则是看起来要长长长长长。
来感受一下上海餐厅中这些推荐比例较高的长菜名:
翻动后的小酥肉
原只椰子炖竹丝鸡
汉舍招牌果木烤鸭
博多浓厚豚骨拉面
椒鸣凤仪椒麻鸡
抹茶千层蛋糕
招牌马来咖喱牛腩
手切精品鲜羊肉
特选酥香嫩烤鸭
邂逅丽江活斑鱼
德国烤猪肘
低脂芝士金凤茶王
至尊食神咖喱牛腩
脆皮叉烧拼秘制黑叉烧
鹅肝某寿司
捞派虾滑
招牌乒乓鲜虾大云吞
西葫芦鸡蛋馅素包子
特色炸虾饼配甜酸酱
鹭江美味虾饺皇
拼炭烧肉脆皮叉烧
精品西湖醋鱼
笃笃笃糖粥
罗勒牛排海鲜饭
黑松露虾饺皇
只吃左原只椰子炖鹌鹑
辣子鸡配芒果蛋黄
八宝粥还有点象样
蛋黄鸡翅和蛋黄
捞派澳洲肥牛
誉八仙蜜汁叉烧
等叫娜娜的奶酪罐子
西京味烤银鳕鱼
越式麻油捞鸡
越煮越嫩羊肉
澳洲和牛上脑
浓香牛肉灌汤包
烟花妓女意大利面
特色班尼迪克蛋
招牌手切鲜羔羊上脑
招牌龙虾冬阴功锅
金网脆皮虾肠粉
功夫面有点真功夫
煮鸭血粉丝煲
雪花极上流星肉
辛豚骨拉面定食
海底捞秘制羊肉
生鸡蛋蘸料
招牌鲜卤凤爪
像上面这样起个复杂菜名来获得更多推荐的想法在南京未必行得通:在南京只有1个词组的推荐菜更多,菜品被推荐次数的中位数也更高。这些菜名由单一的食材名或者最常见的菜名构成,比如“土豆泥”“麻婆豆腐”“阳春面”,它们看起来简单直白,对食客来说也不会产生多余的想象。
广州、北京、天津几种不同词组长度的菜名推荐的中位数差距不大。不过广州5个词组的长菜名“箱子”顶部的数值更高,相对而言复杂词组的菜名被推荐的次数更高;而在苏州,由3个词组构成的菜名获得的推荐次数更高。
但说到底菜名只是个包装,只能起到助推作用,真正能让人记住的仍然是体验和品尝一道菜的过程。这也是那些具有持续生命力的网红餐厅的秘诀所在。
接下来,新一酱将会推出更多关于网红餐厅的数据分析。欢迎留言提出你对网红餐厅的疑问!
文/项维肖 视觉/王方宏
点击关键词 看我们做过什么
城市榜单
商业分析
对手品牌1.0 对手品牌2.0·H&M 对手品牌3.0·国民小吃
城市空间
个别城市
城市交通
城市人
All about 城市