Layered manganese phosphorus trisulfides for high-performance lithium-ion batteries and the storage mechanism
Hailin Shen, Yueling Cai, Zhongtao Ma, Peng Wang, Bingkun Guo, Jipeng Cheng, Qianqian Li*, Hongtao Wang, Zhongyuan Liu, Anmin Nie, Jinsong Wu
Carbon Energy
DOI: 10.1001/cey2.290
研究背景
开发高性能的电极材料或先进的储能系统,以满足社会日益增长的能源需求,是当前具有挑战性的研究课题。MPX3(M=Mn、Fe或Ni,X=Se或S)因其独特的电化学、机械性能以及潜在的离子导电性在储存锂/钠离子方面具有良好的性能,成为具有发展前景的负极材料。研究表明锰磷三硫(MnPS3)具有不寻常的插层替代性和离子导电性,适合用于锂离子电池。此外,MnPS3具有开阔的空间构造,其层间距(0.35 nm)远大于锂离子直径(0.152 nm)。由于P和S的合金化反应,MnPS3的理论比容量可达1323 mA h g-1,这为未来大规模的储能应用提供了希望。然而,它的整体电化学性能受到许多因素如片状材料的厚度及初始尺寸的极大影响。此外,MnPS3的电极反应动力学和锂离子输送能力尚不清楚。
研究成果
上海大学李倩倩副研究员等人系统研究了少层MnPS3负极在半电池和全电池锂离子电池中的储锂行为。经优化得到的MnPS3独特分层结构可以有效促进锂离子的传输、扩散和储存。优化后的MnPS3负极表现出了理想的容量和优异的循环性能,以0.1 A g-1的电流密度在半电池中循环400次后,其可逆容量为490 mA h g-1;以0.2 A g-1的电流密度在全电池中循环200次后,其可逆容量为450 mA h g-1。此外,MnPS3展现出优异的快速充电能力,在电流密度为4 A g-1、3000次循环后仍能产生较高的比容量。原位TEM结果显示,少层MnPS3纳米片的机械强度足够坚固,可以抵抗循环过程中各向异性的体积膨胀/收缩的阻力,这有利于在高电流密度下的快速充电能力和稳定的长期循环性。该工作以“Layered manganese phosphorus trisulfides for high-performance lithium-ion batteries and the storage mechanism”为题发表在Carbon Energy上。上海大学17级博士研究生沈海林和20级硕士研究生蔡岳玲为本文共同一作。
图文分析
一、 MnPS3纳米片的成分结构与表征
粉末X射线衍射(XRD)的结果表明,分层的MnPS3具有单斜晶系。如图1A所示,其结构由垂直于[001]方向交替的层组成。每一层都是由S原子的双层子层组成。金属原子在硫的子层中占据了稍微扭曲的八面体孔。不同的层被范德华间隙分开,而且独特的通道有利于离子扩散和储存,并在电化学反应期间作为体积变化的缓冲器。图1C显示较亮的原子代表Mn,而较暗的原子被认为是对应S或P。这是由于相邻的t2g轨道之间有很强的直接重叠、面间晶格参数c的减小以及层间作用力的三倍对称性。图1C中的插图显示了相应的原子模型,其中Mn原子用粉红色的球体表示,而S和P分别用黄色和绿色表示。每个元素的电子和化学状态通过X射线光电子能谱(XPS)测量得到。在640.9 eV(2p3/2)和652.6 eV(2p1/2),高分辨率的Mn 2p轮廓可以在适当的原则范围内被拟合,这被归结为Mn2+的结合能。位于645.3 eV(2p3/2)和658.1 eV(2p1/2)的峰表明Mn4+的存在。P 2p的XPS谱被拟合为双峰,分别与P 2p3/2和P 2p1/2一致。图1F中的S 2p只有一对峰在162.3 eV(2p3/2)和163.5 eV(2p1/2),说明MnPS3中只存在一种形式的S。同时,图1G-J中扫描透射电子显微镜和能量色散X射线光谱验证了Mn、P和S元素在样品中的均匀分布。
图1. MnPS3纳米片的成分结构与表征 (A) 层状MnPS3的晶体结构示意图。(B)沿 [100]方向上MnPS3的SAED图案。(C) 沿 [100]方向上MnPS3的原子尺度HAADF图像。插图是在[100]方向的相应原子堆积示意图。(D-F)高分辨率XPS光谱。(G-J) MnPS3的STEM图像及主要元素分布。
二、 MnPS3片层中的离子扩散与存储能力
如图2A所示,在电流密度为0.2、0.4、1、2和4 A g-1的情况下,对MnPS3电极在半电池锂离子电池中的充电能力进行了比较评估,得出的相应值分别为830、750、623、500和374 mA h g-1。当扫速从0.2变化到1 mV s-1时,CV曲线的氧化还原峰的形状和位置相互匹配,这表明该电极具有优异的可充电性和低极化。MnPS3电极的容量根据电流对电压变化的反应进行研究,根据以下公式:i = avb.图2C中,0.8V时的b值为0.606,归因于还原峰,而1.9V和1.2V时的b值分别为0.597和0.637,归因于氧化峰。电容性贡献值等于在各种特定电压下的拟合曲线与CV曲线的面积之比。如图2D所示,3 mV s-1的扫描速率产生了61%的高赝电容率,这有助于保持电极的高倍率能力。
图2. MnPS3电极的充电能力。(A) 电流密度为0.2至4 A g-1时的倍率能力。(B) MnPS3电极在扫描速率为0.2至1 mV s-1时的CVs。(C) log(扫描速率)与log(峰值电流)的关系图。(D) 扫描速率为3 mV s-1时的相应电容贡献。
三、 MnPS3作为半电池LIBs负极的电化学性能
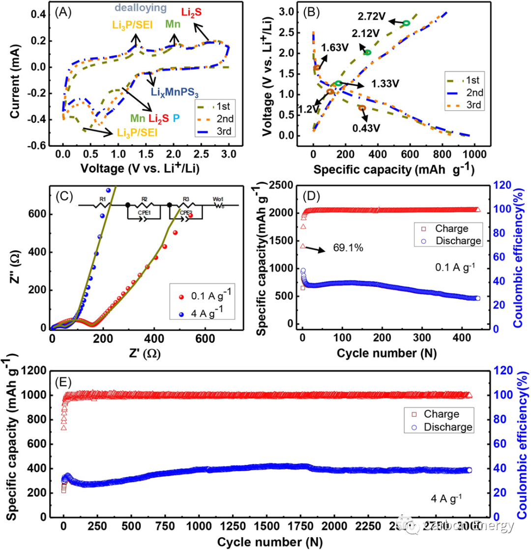
图3A中MnPS3纳米片在0.005-3.0 V(与Li+/Li)的电位范围内,以0.05 mV s-1的扫描速率,在电化学循环中出现了三个阳极和阴极峰,这意味着氧化还原反应至少经历了三个步骤来完成锂的储存和消耗。第一个突出的峰在1.63 V,可以归因于锂离子的嵌入,而更宽的峰在1.2 V,与Li2S、P和Mn的形成有关。在第一次阴极扫描中,以0.43V为中心的弱而宽的峰是由Li3P的生成和一个副反应(电解质的分解;SEI膜的形成)引起的。在接下来的阳极扫描中,在1.34、2.1和2.7 V的三个峰值与Li3P和Li2S的去合金化和MnS的形成相吻合。在第一个循环中,充/放电容量为~650/941 mA h g-1,初始库伦效率为69.1%。图3C表明MnPS3电极在4 A g-1时具有较低的转移电阻,在0.1 A g-1时放电容量保持率为~52%,在400次循环后几乎剩下490 mA h g-1。尽管如此,在图3E中,在3000次循环后,在4 A g-1的电流密度下,容量保持率接近甚至高于100%,这反映了MnPS3在快速充电存储系统中的应用潜力。
图3. MnPS3作为半电池LIBs负极的电化学性能。(A) 在0.05 mV s-1的扫描速率下,前三个循环的CVs。(B) 在0.1 A g-1下前三个循环的充放电曲线。(C) MnPS3电极在0.1和4 A g-1下进行400次充/放电循环后的阻抗。(D,E) 在0.005-3 V的电位窗口内MnPS3负极在0.1和4 A g-1下对Li+/Li的循环性能。
四、 MnPS3在第一次锂化后沿[001]轴的相变及结构稳定性
根据图4A,D和图S11及视频S1中显示的其形态的实时演变,沿这两个方向的相应各向异性应变为7%和20%。图4B,E中的SAED图案显示,MnPS3单晶标本的规则衍射转化为Li2S和Li3P的模糊衍射环,对应为Li2S(020)、Li2S(102)和Li3P(101)。最终的相结构与上述CV分析的观察结果一致。此外,图4C,F中的HRTEM图像进一步验证了多晶结构和最终相,晶格条纹可以被确定为Li2S和Li3P。图4G中纳米电池的设置是基于浙江大学交叉力学中心开发的电化学支架,并已成功应用于挖掘可充电电池的基本反应机制。图4H中MnPS3电极的容量曲线在1.6、1.2和0.6 V处出现了三个还原峰,分别代表了在第一次锂化过程中形成的LiXMnPS3、Li2S/P/Mn和SEI/Li3P。
图4. 第一次锂化后MnPS3沿[001]轴的相变和结构稳定性。(A,D) MnPS3纳米片在第一次锂化前后的典型TEM图像。(B,E) (A)和(B)的对应的SAED图案。(C,F) MnPS3纳米片在第一次嵌锂/脱锂后的对比HRTEM。(G) 纳米电池系统的示意图。(H) MnPS3电极在前三个循环中的差异容量曲线。
五、 MnPS3在充放电循环中沿[010]轴的体积变化
沿着图5A-D中的[010]观察到各向异性扩展的区域。如图5C,D所示,在完全锂化后,白虚线区域所包围的区域膨胀率为~256%,而在随后的脱锂过程中只发生了轻微的收缩。MnPS3纳米片保持了结构的稳定性,当体积发生变化时,几乎没有裂缝或断裂被发现。循环中相变的可逆性是通过它们的SAED图案进一步研究的。随着锂离子的逐渐插入,最初的MnPS3单晶完全转化为结晶度较差的Li2S和Li3P单晶。在脱锂过程中,所有的Mn、Li2S和Li2P都不可逆地转化为MnS。MnS作为可逆相,在随后的循环中参与了电化学反应,如第二个充放电循环(图5H)所示。
图5. MnPS3沿[010]轴的体积在循环中的实时变化。(A-D)单个MnPS3纳米片在循环中的TEM图像。(E-H) (A-D)中白色虚线标记的区域的相应SAED图案。(I-L) 与(E-H)一致的相变示意图。
六、 LiCoO2 || MnPS3全电池的电化学性能
如图6A,B所示,商用钴酸锂作为正极,层状MnPS3作为负极,两者结合起来组装成全电池。图6C中多个循环中的充放电曲线在随后的循环中几乎重叠,这表明电化学反应具有良好的可逆性。全电池测试的结果验证了MnPS3可以保持良好的循环稳定性,在电流密度为0.2 A g-1的情况下,经过200次循环后,容量为450 mA h g-1。
图6. 由MnPS3负极和LiCoO2正极组装的全电池应用。(A) 锂离子全电池的示意图。(B) LED由LiCoO2-MnPS3电池发射。(C) 全电池在前三个循环中的充放电曲线。(D) 全电池在0.2 A g-1时的循环性能。
相关论文信息
论文原文在线发表于Carbon Energy,点击“阅读原文”查看论文
论文标题:
Layered manganese phosphorus trisulfides for high-performance lithium-ion batteries and the storage mechanism
论文网址:
https://onlinelibrary.wiley.com/doi/full/10.1002/cey2.290
DOI:10.1002/cey2.29
往期推荐
1.西安理工大学孙学良院士&李喜飞教授Carbon Energy: 功能包覆层调控富锂锰基正极表面电流实现去极化
2.清华大学张强Carbon Energy:克服硝酸锂低溶解度难题,高溶解度有机硝酸酯助力实用化金属锂电池
3.上海大学张久俊&左银泽&福州大学颜蔚Carbon Energy: 表面工程用于制备锂硫电池电催化剂用于选择性硫转化的通用策略