《趋近理想:计量经济学的课程思政》第5期
大样本中的偶然与必然(上)
思政导入、融入与解读:
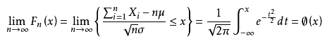
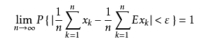
先看两个公式,如下:
大家可以注意到一个细节,两个公式里都有“n→∞”。另外,第二条公式概率为1。这就是这期要讲的内容——当样本量很大的时候,有些事情发生的概率是可以确定的,或者说当一件事重复无数次的时候,这件事情的概率就会稳定的呈现出来。这就是本期思政融入所涉及的知识点“大样本理论(其中包含:大数定律、依概率收敛、中心极限定理、大样本估计的性质)”
为了更加便于理解,我在网上摘到这样一则有关大数定律的故事(下文简称《克里奇的故事》),大致如下:
1939年,南非数学家克里奇冒失地跑到欧洲,结果被关进集中营。百无聊赖的时候,他给自己找到了一个乐子:他把一枚硬币抛了1万次,记录了正面朝上的数量。而统计结果用下图来表示:
(故事与图片摘自:重生第276天 1939年,南非数学家克里奇... 来自阳光man-1 - 微博https://weibo.com/1443700387/I7Zvf306Mtype=comment#_rnd1585798755648)
我们知道,抛硬币正面朝上的概率应该是50%,每一次是否正面向上却都是不确定的,但如果抛了一万次,就会像上图那样趋近于50%。正如《克里奇的故事》一文中提出的一个疑问:“是不是有一种神秘力量,让结果不断逼近50%呢?”
这个问题的答案是肯定的。的确有这样的力量存在,即大数对小数的稀释作用。大数定律不会对已经发生的情况进行平衡,而是利用新的数据去削弱以前发生情况的影响力,直到前面发生的数据从结果上看,影响力非常小,可以忽略不计。所以“抛硬币正面朝上的概率”最终稳定为50%。
如果上面这个例子大家觉得难理解,我再举一个我最近听的一个古典音乐节目中提到的故事,这个故事大致如下:
有个钢琴学生问一位钢琴家:“怎么才能找到贝多芬的速度呢?”
而这位钢琴家回答:“弹1首,反复弹;不行就弹2首,反复弹;再不行就弹所有,反复弹……直到你觉得找到了。”
这里需要稍微做一个解释,这个学生问的“贝多芬的速度”并不是贝多芬某一段钢琴曲的速度,而是整个贝多芬钢琴作品中应该呈现出来的一种属于贝多芬的气质,快是什么样子的快,慢又是什么样子的慢。其实是很抽象的一种概念或者感觉。但钢琴家几乎就用了大样本的理论回答了这位学生——贝多芬的速度可以说是种概率,是各种速度中的某一种,那么得到这种速度就必须像上面仍硬币一样重复、重复、重复……最后让这种速度稳定的出现。参照上面提到的《克里奇的故事》同样会有类似的图:
从图中可以看出,前面很多次练琴所呈现出的“贝多芬速度”的概率并不稳定,可以说每次都是随机的、偶然的,但经过长期的练习,最终是稳定的、依概率收敛的、必然的。
那图中的“看山不是山”与“看山还是山”是怎么意思呢?意思就是说我们都想找到确定的规律,但这需要重复、需要打磨、需要时间,不要在事物发生的最初就试图找到必然,没有人弹了几次贝多芬就可以找到“贝多芬速度”的,这类事情需要“火候”,“火候”到了就“看山还是山”了。
“说道这里,还记得我们大一马克思主义哲学学过的内容么?关于偶然性与必然性的——“偶然中有必然、必然中有偶然。”我们来简单回顾一下吧:
1.必然性总是通过大量的偶然现象表现出来,由此为自己开辟道路,没有脱离偶然性的纯粹必然性。
2.偶然性是必然性的表现形式和必要补充,偶然性背后隐藏着必然性并受到其制约,没有脱离必然性的纯粹偶然性。
3.必然性和偶然性在一定条件下可以相互转化。
这期说道这里好像给大家一个错觉:“不就是重复嘛,不断重复得到一个好的结果嘛”,其实并不是这么简单,更详细的内容我们下期说,这期的最后附上一句毛主席语录,这句语录节选自毛泽东主席1954年9月在中华人民共和国第一届全国人民代表大会第一次会议开幕式上的讲话:“我们的事业是正义的。正义的事业是任何敌人也攻不破的。”
图片截屏自B站“红色英语”栏目
留一个思考题,为何把这句语录放在这一期,它和大样本理论有什么联系?
往期链接:
《趋近理想:计量经济学的课程思政》第1期:计量经济学与人的渴望
《趋近理想:计量经济学的课程思政》第2期 从样本到总体:“君自故乡来,应知故乡事”
图文 | 崔佳宁
排版 | 院新闻网络中心 崔雅慧