知识点:时间序列相关知识点。
思政点:排除干扰认识自己,和真正的自己对话。
(建议阅读本期前,先简单回顾一下上期内容,上期内容见文后“往期链接”)
一、思政导入:
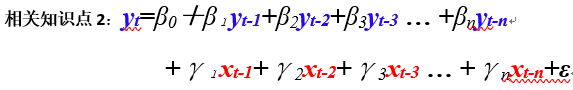
话不多说,先看两条公式:
公式1大家应该眼熟,就是我们上周栏目里提到的多元回归;而公式2就是我们今天要提到的“时间序列”。而且大家可以注意一个细节,我特意把X标成了不同颜色,而Y则是统一的蓝色。什么意思呢?解释如下:
1.在公式1里(上期的多元回归),能够解释Y的,都不是Y自己,而是Y以外的因素;
2.在公式2里(本期的时间序列),解释Y的是Y自己,只不过是Y以前的自己,即Yt-1,Yt-2等。
这就让我们有了这样一种想法,我们经常把Y作为一个我们要解释的问题,而究竟是谁来解释Y呢,有两种因素:外围不是Y的,和属于Y自己的。这也就是我们今天所要探讨的——从审视周边,到审视自己。
二、思政融入、解读
“时间序列”知识点的思政融入与解读会相对零散,我们一点一点的零散着说吧,但基本保证是从上期的“审视周边”到本期的“审视自己”这样的视角去说。
思政融入1:过去的自己能解释今天的自己么?或者说过去哪个阶段的自己最能解释今天的自己?什么事显著的、持续的影响自己到现在?这种影响是正是负?
思政解读1:其实上面的公式一列出来,学到时间序列的同学应该知道,下面要进行的工作是考查哪一期最显著。换通俗一点的解释就是,现在的“我(Y)”可以由过去若干时期的“我(Y)”来共同解释,但并不是过去每一个时期都对今天我的样子做了最大贡献,可能是最近时期发生的事情塑造了现在的我,也可能是很久远的某一个时期造就了现在的我,当然,也同样有可能过去某几个重要的时间点共同早就了“我(Y)”。这是抛开周边和自己无关的因素分析自己的一个视角。把这些显著的、影响自己到现在的时间段或因素找到,就是对自己的一种认识过程。此外,βn也是自我分析的一个入手点,即过去某段时间对现在自己的影响是正是负?就像我小的时候超级想当歌唱家,而现在呢……
思政融入2:过去的自己能解释今天的自己么?或者说过去那个阶段的自己最能解释今天的自己?什么事影响自己到现在?这些影响是正是负?
思政解读2:这里的公式比上面又多了过去各个时期的X,也就是“我(Y)”之外的另一个因素。这样的公式告诉我们,在分析现在自己的同时,除了过去的自己能够解释,但也有过去的环境,不要脱离过去的环境看过去的自己。因此,过去的什么样的外部环境下的自己造就了现在的自己,以及认识过去不同情况下的自己,也是分析自己的一个视角。要不要把过去发生的最能解释现在的自己的事情排个序呢?自己决定的事和外界影响的事。
思政融入3:你能控制已发生的事对自己的影响么?
思政解读3:这个公式其实可以大致理解为过去某一件事(yt)对现在自己(yt+k)的影响。课这样说也并不严谨,真的是那件事影响到自己了么?这中间还有{yt+1……yt+k-1}这么长时间呢。如果时间坏事,这么长的时间还不够忘掉它么?而如果是件好事,这么长的时间有没有持续保证它的好?还是比如突然发奋图强要背单词,结果却三天打鱼两天晒网呢?
思政融入4:做好眼前事的道理。“眼前事”与“鸿鹄志”并不矛盾。
相关知识点4:脉冲响应图,预测时间越长,其精度越低(如下图,具体见教材)
图片摘选自:陈强《高级计量经济学及Stata应用》第二版P389
思政解读4:前面提到的几项都是向后看、向过去的自己看,而这一项呢?向前看、向未来的自己看。而时间序列的预测理论似乎告诉我们,这种行为的精度也并不高。这让我想起“口红一哥”李佳琦在一个采访中表达过的观点:“我没有梦想,我就是不断做好眼前的事,等梦想来的时候拥抱它就是了。”听上去似乎和我们常说的“鸿鹄之志”的远大理想很矛盾,说的再严重一点眼前事不就是“鼠目寸光”了么?而仔细想想却又是两个概念。眼前事是耐心,鸿鹄志是方向。
思政融入5:看似随机,实则趋势,一直没有在意的“随机”小事,却通过不断的积累对今天的结果做了最大的解释。
相关知识点5:当随机项累加产生了趋势(如下图,见教材)
图片截屏自中国大学MOOC陈志鸿、潘宏宇《计量经济学导论》
思政解读5:图中公式的最后一行可以看到,初始点yo和加总的随机项Σεt对现在的yt起到了最主要的解释,起始点yo是我们改变不了的,解释我们现在的只有加总的随机项。所以我们会看到,这些随机项单独哪个都没多大功能,可一旦加总,那就不是随机的影响自己了了。所以可以想想我们今天的自己,有多少是可以由过去的不经意来加总解释的,一次不经意、两次不经意……一直加到现在。
好了,这期的内容就这么多,时间序列,如果把它当做分析自己的方法,还是挺有趣的。感谢阅读,下期见。
往期链接:
《趋近理想:计量经济学的课程思政》第1期:计量经济学与人的渴望
《趋近理想:计量经济学的课程思政》第2期 从样本到总体:“君自故乡来,应知故乡事”
《趋近理想:计量经济学的课程思政》 第3期 经典假设与“乌托邦情结”(上)
《趋近理想:计量经济学的课程思政》 第4期 经典假设与“乌托邦情结”(下)
《趋近理想:计量经济学的课程思政》第5期 大样本中的偶然与必然(上)
《趋近理想:计量经济学的课程思政》 第6期 大样本理论中的偶然与必然(下)
《趋近理想:计量经济学的课程思政》第7期 计量模型的形式与内容
《趋近理想:计量经济学的课程思政》 第8期 多元回归与人生的加减法
图文|崔佳宁
排版|院新闻网络中心 马雅彤
商院各学生组织,请于每晚6点前发送本组织活动文本及打包图片到指定邮箱
【bcbuucamps@126.com】