演讲者:王鹏飞
题目:资产泡沫与新结构经济学
2018年7月12日,在用过晚餐之后,来自香港科技大学的王鹏飞教授为新结构经济学夏令营营员们带来了一场关于房地产泡沫与汇率的生动演讲。
王鹏飞教授首先回顾了历史上出现的资产泡沫问题。王教授认为历史上第一个资产泡沫是荷兰的郁金香泡沫,发生于1634年到1638年。由于一些罕见的郁金香花色契合了显贵展现自己社会地位的需求,所以市场上产生了相应的投机。最疯狂的时候,一个郁金香花球价格相当于20个技术工人一生的劳动所得。随后在英国和法国也发生了泡沫。其中在南海泡沫事件中,著名的物理学家牛顿也深受其害,发出了”可以计算出天体运行轨道却无法计算出人心的疯狂”之感慨。王教授指出,在一个新产业新技术刚出现的时候会有投机资本大量进入,从而形成泡沫。近期发生的P2P平台接连倒闭,就是对应的生动例子。
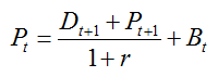
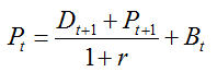
王鹏飞教授接着提出了资产价格公式:
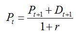
其中Pt是当期价格,Pt+1是t+1期价格,Dt+1是t+1期股息。由于人类存在的对当期的偏好,所以会有一个贴现因子r来补偿。在理想的情况下,任何一个股票都应该满足这个公式,只是因为价和股息不同才会产生股票价格不同。在有限期的模型当中,任何超过T期的股票价格PT+1和股息DT+1都应当是0,所以股票价格就变成了
在有限期的情况下,由于资产价格是唯一的,所以不可能产生泡沫。在无限期的情况下,比如存在房子、公司股票这些无限期资产,才有可能出现泡沫。在无限期的情况下,未来的现金流需要折现,那么资产的价格就变为
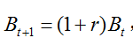
即当前价格变成未来现金流之和。不幸的是,由于未来资产价格可能会存在一个“尾巴”,所以资产价格会变为:
,其中
,这个“尾巴”就是泡沫。资产价格才会偏离真实价值。这就使得资产价格爆炸性增长。
王教授指出如果人是理性的,由于套利的空间很大,那么泡沫不应该存在。假定现在泡沫存在,那么一个理性人完全可以在t期购买一个资产,在t+1期卖掉这个资产,获得高于真实资产价格的贴现。那么市场上对于这个资产的供给就会增加,从而迫使资产回归真实价值。
那么泡沫为何存在?王教授指出,有几个理论解释泡沫存在。首先是世代交叠模型。其缺点在于无法解释泡沫和实体经济的连通性。在这个模型中,泡沫是因为投资产生的,泡沫越大就越挤压对实体经济的投资,反之亦然。这与我们观察到的泡沫伴随着实体经济的增长相违背。第二个模型叫做无限期模型,显著特点是增加了信贷约束。即资产的增值可以增加抵押品的价格,促进放贷,进而刺激实体经济。
王教授认为泡沫存在的最大问题是动态无效率。王教授举例,一个经济体人口以10%增长,每一代人可以划分为年轻人和老年人两期。在这个市场中,年轻人不会借钱给老年人,因为老年人马上就过世了,不会还钱。老年人也不会借贷给年轻人,因为老年人死掉之后钱还没花完。如果社会规划者要求将现在年轻人的收入供老年人消费,等年轻人变老则被下一代年轻人供养,那么社会总消费会以10%的速率增长,从而实现帕累托改进。所以泡沫在一定情况下对经济也是有促进作用的。泡沫存在的另一个条件就是资源存在短缺,所以才会有人愿意投资。在无限期情况下,资产价格为,其中
。
王教授回到中国实际情况,指出我们需要从理论高度来指导我们的实际工作。在现实中确实存在泡沫的苗头。2003-2013十年间北上广深的房价增长率已经达到13%,远超经济增长速度。同时这些城市房价租金比率已经超过1000。另一方面是房屋的高空置率。这些都确实可能是泡沫的迹象。
王教授批驳了由于收入增长快、高收入人均收入增长更快从而导致高房价等几个错误解释。通过构建模型,王教授得出两个结论。即,个人房子效用权数越大(β越大),人口增长越快(n越大),土地供给增长越慢(m越小),总房价和总消费之比越大;房价租金比跟人均收入增长、收入分配、观察到的利率没有关系;房价增长率=人均消费增长率+人口增长率-土地供给增长率,跟收入分配和观察到的利率没有关系。
王教授介绍了学界对资产价格和泡沫之间的关系。同时指出资产价格上涨对于持有资产的人更有利,但是对总的经济增长没有影响。如何在减少不平等方面继续努力,是有关学者的发展方向。
王教授认为一些行业非常容易出现资产泡沫,如美国的互联网和中国的房地产。这扭曲了人们对于不同行业的投资激励,这对于我们发展实体经济不利。结合新结构经济学,王教授认为资产泡沫不利于市场配置资源,对于没有比较优势的产业出现资产泡沫,并不利于发展中国家赶超发达国家。
最后,王老师勉励夏令营营员投入资产泡沫化的研究,努力将其融入新结构经济学的研究当中。
撰稿:张万卿