——习近平总书记
在北京大学师生座谈会上的讲话
编者按
北大红
源于红色基因和精神族谱
铸就、延续和传承
北京大学
早已将使命与精神融入骨血
始终与国家和民族命运紧密相连
北大师生
始终与中国共产党
同心 同向 同行
2021年
是中国共产党建党100周年
一起来回顾
北大于中国共产党建立之贡献
重温那段红色岁月
1915年9月15日
陈独秀在上海创办《青年杂志》
并在创刊号上发表《敬告青年》一文
揭开了新文化运动的序幕
次年,《青年杂志》更名《新青年》
陈独秀(1879-1942)字仲甫,号实庵,安徽怀宁人。中国共产党的主要创始人之一和早期领导者。1915年起主编《新青年》(初名《青年杂志》),1917年任北京大学文科学长,1918年和李大钊创办《每周评论》,是五四新文化运动主要倡导者。
1916年12月
蔡元培出任北京大学校长
倡导“思想自由,兼容并包”的办学方针蔡元培(1868-1940)字鹤卿,号孑民,浙江绍兴人。著名教育家、思想家、民主主义革命家。光绪十八年进士,曾任翰林院编修、京师大学堂译学馆教习、中华民国临时政府教育总长。1916—1927年任北京大学校长。
1917年,陈独秀受聘北大
《新青年》随迁北京
至此,实现了《新青年》与北大的结合
随后,北大教师胡适、钱玄同、刘半农、
李大钊、高一涵等相继参加编辑工作
形成以《新青年》编者为核心的
革新营垒
钱玄同(1887-1939)浙江吴兴(今湖州)人。语言学家。曾任北京大学等校教授。1918年任《新青年》编辑,积极从事新文化运动,提倡文字改革,创议并参加拟制国语罗马字拼音方案。
胡适(1891—1962)安徽绩溪人。思想家、教育家。1910-1917年留学美国。1917年7月回国,聘为北大文科教授,曾任研究所哲学门主任、英文系主任、教务长、文学院院长、校长等职。1917年发表《文学改良刍议》,是新文化运动的重要代表人物。
刘半农(1891-1934)江苏江阴人。文学家、语言学家。长期任北京大学教授。1918年参与编辑《新青年》,是文学革命的健将。
校长蔡元培,携手北大师生
王星拱、杨昌济、周作人、傅斯年等加入撰稿
《新青年》编辑部成了
新文化运动的主要阵地
北京大学成为新文化运动的中心
蔡元培《自写年谱》手迹。“循思想自由原则,兼容并包”是他坚持的办学方针。
1916年,李大钊发表在《新青年》第二卷第一号上的《青春》一文,号召青年要“冲决过去历史之网罗、破坏陈腐学说”。
1917年1月,胡适在《新青年》第二卷第五号上发表《文学改良刍议》,提出“提倡白话文,反对文言文,提倡新文学,反对旧文学”的口号,是新文学运动的第一篇文章。
以“民主”与“科学”
作为鲜明口号的新文化运动
以思想解放为使命
动摇儒家正统思想和
专制主义理论的统治地位
打开了遏制新思想传播的闸门
以探索挽救民族危亡为新的行动途径
在思想上启迪一代青年
成为中国发展马克思主义的思想土壤
1919年,巴黎和会
中国政府外交失败
消息传入国内,一片哗然
学生中久已郁积的愤怒爆发
北大学生起草的五四运动宣言
1919年5月4日
在北大学生发起并积极活动下
北京各大专学校学生三千余人
集齐于天安门举行学界大示威
轰轰烈烈的五四运动由此开始
北京大学学生游行队伍
北京大学学生分组在街头演讲,张贴标语
学生散发的《青年救国雪耻团特刊》
毛泽东曾指出:
“五四运动是反帝国主义的运动,
又是反封建的运动。
五四运动的杰出的历史意义,
在于它带着为辛亥革命还不曾有的姿态,
这就是彻底地不妥协地反对帝国主义
和彻底地不妥协地反对封建主义。”
五四爱国运动全国形势示意图,据《五四图史》99年版
北京大学之于五四运动的顽强抗争
五四运动之于中国社会主义思潮的蓬勃兴起
起到了极大的推动作用
6月3日,北大学生讲演队在东安市场附近演讲
五四运动为马克思主义
在中国的传播并与工人运动的结合
为中国共产党的成立
在思想上、干部上开辟了新的诗篇
6月5日起,上海的工人阶级举行大罢工,坚决支持五四学生运动。这是上海六万余工人上街示威游行的情景。
1918年11月底
北京大学图书馆主任李大钊
在中央公园发表著名演讲
——《庶民的胜利》
并率先在《新青年》上发表了
《庶民的胜利》《布尔什维主义的胜利》两篇文章
向中国人民介绍布尔什维主义
为中国革命指明方向
《庶民的胜利》
《布尔什维主义的胜利》
1919年9月、11月
李大钊在《新青年》发表长文
《我的马克思主义观》
系统地介绍了马克思主义
即唯物史观、政治经济学和科学社会主义
1919年,李大钊在《新青年》第六卷第五、六号上发表的《我的马克思主义观》,系统地阐述了马克思主义理论的三个部分。这是马克思主义在中国广泛传播过程中极为重要的一篇文章。
自1920年10月起
在李大钊先生的带领下
“唯物史观”“史学思想史”
“现代政治”“社会主义与社会运动”等课程
在北大史学系、政治学系等系先后开设
李大钊先生亲自编写
《唯物史观》和《史学思想史》等专著和讲义
北京大学开中国大学讲授
马克思主义理论课程之先河
成为最早把马克思主义理论
正式列入课程的学校
1920年3月
在李大钊指导下
北京大学进步学生
邓中夏、高君宇、罗章龙
何孟雄、黄日葵、王复生等19人
秘密发起成立“马克斯学说研究会”
成为中国最早学习、研究和宣传
马克思主义的团体
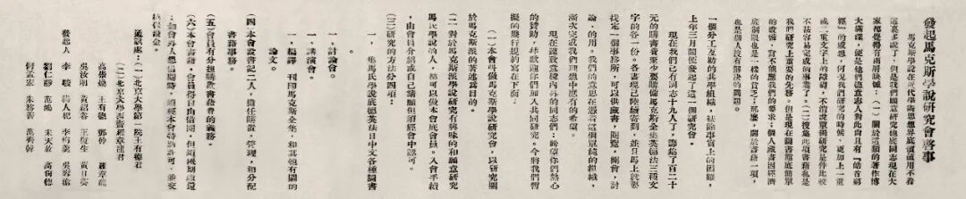
1921年北京大学发起马克斯学说研究会启事
“研究会”得到了北京大学校方支持
校长蔡元培批准由学校
拨给两间房屋供其使用
据此,研究会建立了“亢慕义斋”图书室
“亢慕义斋”图书室旧址
此后,“研究会”会员迅速发展
1923年发展到250人左右
成员中以北大师生最多
一批骨干陆续加入中国共产党
研究会为北方地区的建党
做了思想上、干部上的准备
封面盖有“亢慕义斋图书”印章的8本德文文献,这是20世纪初期马克思主义在北大乃至全国传播的见证。
1920年12月
李大钊和北大学生
徐六几、郭梦良、费觉天等9人
又公开发起了“北京大学社会主义研究会”
立志集合信仰和有能力研究
社会主义的同志
互助地来研究并传播社会主义思想
1920年春
共产国际向中国派来了使者维经斯基一行
加快了中国共产党创建的步伐
维经斯基经由天津北洋大学俄籍教授柏烈伟引荐
到北京大学拜访了李大钊
李大钊又介绍他到上海会见陈独秀
其后,陈、李二人通信不断
商讨创建中国共产党之事
北大青年教师张申府和学生张国焘
来往京沪,传递信息和意见
在“社会党”还是“共产党”的命名问题上
李大钊明确地给出了“共产党”的回答
1920年8月
在共产国际代表的帮助下
陈独秀在上海创建了
中国共产党第一个党组织
——上海共产党小组
成员包括沈雁冰(茅盾)、袁振英和李季
三位杰出的北大校友
1920年10月
李大钊在北大红楼建立
北京中国共产党早期组织
——北京共产党小组
1920年11月
小组改为共产党北京支部
15名支部成员中有14位北大师生或校友
北京大学既成为马克思主义传播的中心
又为中国共产党的创立
做出了重要而独特的贡献
北京共产党小组在北大红楼图书馆李大钊主任室成立
李大钊指导北方各省建立党团组织
在共产党北京支部成立以后
李大钊作为北京地区的负责人
以其高瞻远瞩之目光
不仅领导北京一地的革命活动
而且派出不少党员或
“马克斯学说研究会”会员
到各地宣传马克思主义
开展建党建团活动
在山东
王尽美数次来到北大拜访李大钊
1920年冬,中共“一大”之前
山东党组织成立
在山西
1921年至1922年之间
李大钊派高君宇多次回到太原
推动成立了社会主义青年团和山西党组织
在陕西
李大钊与毕业生李子洲、魏野畴等谈话
指导他们在家乡如何开展建党建团工作
在东北
罗章龙、陈为人、楚图南等早期党员
宣传革命主张,逐渐开展当地的建党活动
在江西
北大学子袁玉冰在寒暑假宣传马克思主义
并带动江西成立了马克思主义研究会
著名的革命烈士方志敏加入
成为江西党团组织的负责人或骨干
北大学生会附设的平民夜校学生听课的情形
在陈独秀于上海、李大钊于北京的建党活动之外
北大师生、校友还参与了其他地方的建党活动
1918年冬至1919年春
毛泽东在北京大学图书馆任书记
毛泽东在北大
1920年冬
毛泽东与何叔衡等筹备创建湖南共产党小组
1921年1月
陈独秀在广州指导重建广州共产党小组
成员谭平山、谭植棠、陈公博等均为北大校友
1921年春
旅法共产党小组在巴黎建立
负责人张申府原为北大哲学系讲师
在各地党组织成立之后
创建一个团结、坚强、统一的
全国性共产党组织
必然提上了日程
1921年3月
李大钊在《曙光》杂志发表
《团体的训练与革新的事业》
呼吁中国的C派朋友组织起来
建立一个大团体
以进行中国的大改革
1921年7月
中国共产党一大在上海召开
一个新型的工人阶级的政党诞生了
中国革命由此掀开了新的一页
中国共产党全国第一次代表大会会址
北大在建党时期的重要地位和突出贡献
通过数字清晰可见:
据统计,在中共“一大”前
共有8个地方建立了党组织
共有党员58人
其中北大师生校友23人
约占党员总数的40%左右
其中6个地方党组织的负责人是北大的师生或校友
出席中共“一大”代表的13人中
有北大的学生和校友5人
占代表总数的38.5%
北京大学于中国共产党创建之贡献
不仅是数字上的比重
更是共产党人在峥嵘岁月中的为新求实
1950年毛主席“五四”三十一周年给《北大周刊》的题词
回溯“燎原之火”的初心和使命
未名湖畔
一代又一代北大人
不负青春,勇担重任
用实际行动
擦亮耀眼北大红
新时代赋予新使命
新征程召唤新作为
团结起来,振兴中华
答好新答卷
贡献北大智慧
来源:北京大学校史馆
文字:杨琥(北京大学校史馆副研究员)《北京大学于中国共产党创建之贡献》
编辑:林东来、郑新然、杨婉婷、黄熙
图片:北京大学校史馆、五四图史、视觉中国
排版:文婧
责编:以栖、昭花花