昨日
2022年喜庆二十大“闪亮龙华”
美术、书法、摄影作品展
正式开幕
吸引了不少线上线下网友围观
今天就来和文联君一起
欣赏一下金银铜奖获奖作品吧
孔德喜 《窗外》 国画
136x167cm
马国峰 《林泉高致选抄》 书法
180x59cm
仇智龙《北瞰龙华》摄影
56x100cm
石刚《天下飞梁-港珠澳大桥》版画
58x100cm
郭晶 《狼湖印相》 篆刻
138×35cm
陈伟耿 《梦》 国画
90x90cm
杨勃 《齐心协力》 油画
166x118cm
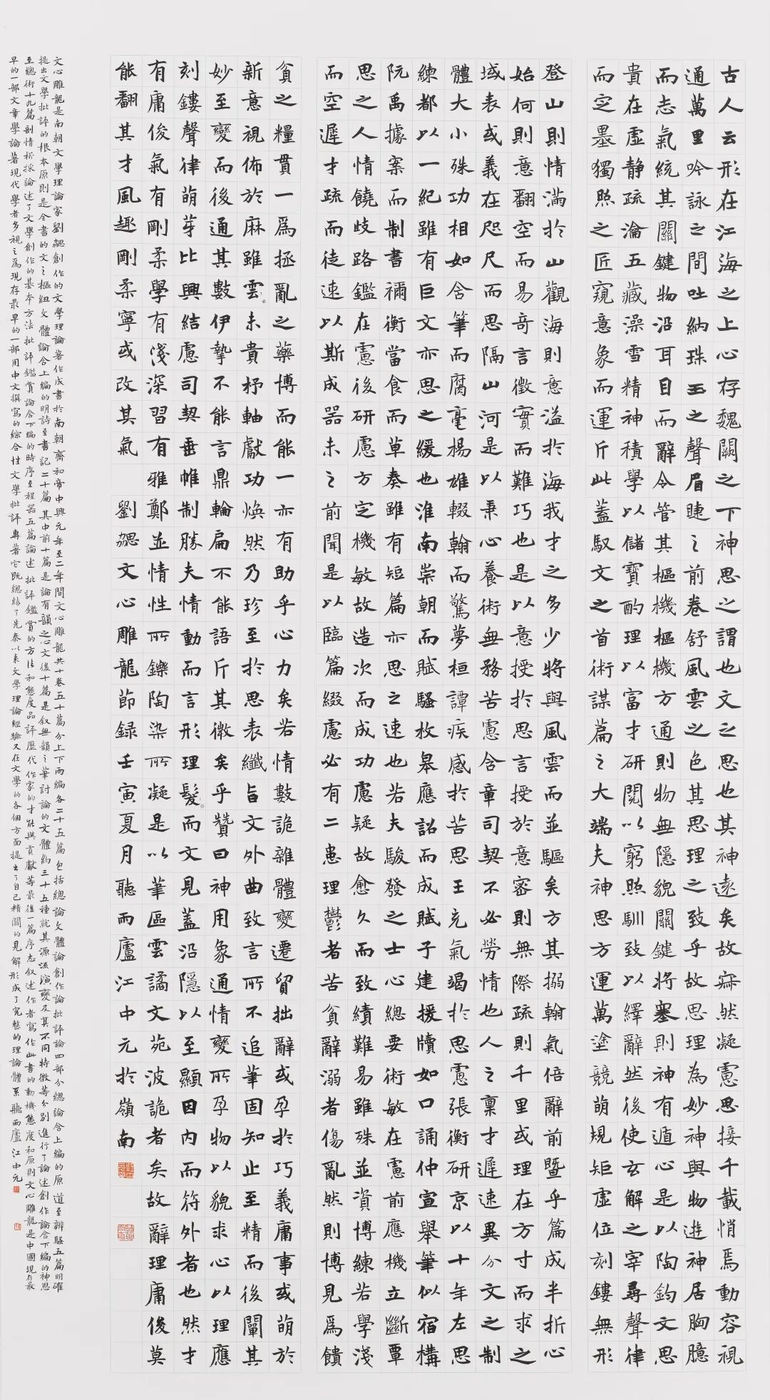
江中元 《文心雕龙节录》 书法
180x96cm
祁路军 《东坡豪放词集选录》 书法
170.5x89cm
廖俊鸿 《特色公园》 摄影
70x100cm
徐田华 《同心抗疫》 摄影
70x103cm
刘占磊 《人类起源》 版画
70x103cm
许浩宇 《无题》 版画
120x80cm
陆永东 《陆永东治印》 篆刻
138×35cm
周志群 《周志群印选》 篆刻
138×35cm
谭变调 《红魅》 国画
69x35cm 3张
易新萍 《生命的呼唤》 国画
174x92cm
资晖丽 《没有一个冬天不能逾越》 国画
152x93cm
黄明杰 《广艺舟双辑节选》 书法
180x96cm
李维华 《楊维桢诗鈔》 书法
180x45cm
谢汉仁 《蕉衣竹粉联 》书法
180x50cm
陈建华 《奋斗者,正青春》 摄影
70x100cm
覃郁 《雨后见彩虹》 摄影
47.7x100cm
张海良 《黄昏的时候》 摄影
70x100cm
胡晓庆 《马》 版画
80x120cm
刘红亮 《联与系-联系》 版画
70×120cm
唐华兰 《岭南戏曲之绘-Ⅱ》 版画
60x60cm
陈丽玲 《陈丽玲制古玺印痕》 篆刻
138×35cm
傅志伟 《安宁精舍傅志伟制印》 篆刻
138×35cm
欧阳明钰 《龙华风光十二品》 篆刻
138×35cm
往
期
推
荐
制作
龙华文联
转载时请注明以上信息