![]()
图1 为单表双打
![]()
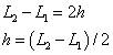
图2
图中:S—两转子轴头之间的距离;D—联轴节的外径。
前提条件:S≥D/2
轴端距离越大,联轴节的直径越小,计算就越准确,当S≥D/2时,单表双打对中法对张口的敏感性强,对中的精度可以达到更高的水平。
- 联轴节直径比较大,端面跳动显著,建议用三表法(或双表法);
- 联轴节直径比较小,端面跳动较小,建议用单表法,单表法适用于长联轴节(指中间接筒较长)设备对中。
当把表架固定在A转子的轴头上,表杆头触到B转子的联轴节的外圆上时,如(E)所示,叫A打B,记A →B 。当把表架固定在B转子的轴头上,表杆头触到A转子的联轴节的外园上时,如(F)所示,叫B打A,记B →A 。
在两次打表的过程中,盘车时的旋转方向必须相同,在记录时,四个方向的数据要一一对应,便于下一步进行计算和张口方向的判断。当我们取在0°时表的读数为零,盘表一周回到0°位置时,表的读数要回零。否则,我们称数据不“园”,为无效数据,要查找原因。
- 联轴节的外圆不园,盘车时两联轴节没有转动相同的角度。(确保转动相同的角度)。
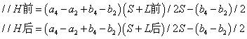
为什么两转子径向的实际偏差值等于表值的一半?(即为什么实际偏差值是表值的一半?)
如图所示:以垂直方向为例,假设A、B两转子的高低差为h,联轴节的外圆半径为R。当我们以A转子的轴心为基准,可测得B转子联轴节的最高点的实际高度为:当我们以A转子的轴心为基准,可测得B转子联轴节的最低点与A转子轴心的高度差为:
当在顶点位置时把表调为零,即L1=0,得:h=L2/2。所以:两转子径向的实际偏差值等于表值的一半?(说明:该判则在水平方向也适用)式中:⊥A—垂直方向(上下)的张口值;∥A—水平方向(左右)的张口值;S—两联轴节端面之间的距离;d—联轴节的外圆直径(打表处)。
张口值计算公式的推导
由于张口值计算公式的推导较为复杂,涉及到相似三角形等数学方面的知识,加之不影响我们的实际找正工作,在此不再叙述。
张口值计算公式的简化
关于张口值计算公式的简化我们在实际找正过程中,尤其是对小机泵的找正,都习惯于口算 ,很少笔算。所以为了便于运用,进行如下简化。
由于张口值相对与联轴节的外径和两联轴节的距离来说很小,我们可以近似的认为S=d,则张口值的计算公式变为:
式中:⊥A—垂直方向(上下)的张口值;∥A—水平方向(左右)的张口值。- 以上张口值的计算公式为单表找正的实际运用公式(大机组除外);
当:⊥A>0时,上张口;⊥A<0时,下张口;⊥A=0时,无张口。当:∥A>0时,右张口,向a2方向张口;当∥A<0时,左张口,向a4方向张口;当∥A=0时,无张口。
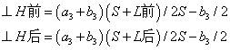
当⊥H>0,表示加垫子;当⊥H<0,表示减垫子;当⊥H=0,表示合适。其中:S—两联轴节之间的距离;L前—前支腿到联轴节端面的距离:L后—后支腿到联轴节端面的距离。当∥H>0,表示向a2、b2方向移动;当∥H<0,表示向a4、b4方向移动;当∥H=0,表示合适。垂直方向(上下)张口值计算公式的推导(水平方向不讲)如图所示: