word完整打印版
请拉到文章末尾,按照提示下载
第一单元 位置与方向
1、① (东与西)相对,(南与北)相对,
(东南—西北)相对,(西南—东北)相对。
② 清楚以谁为标准来判断位置。
③ 理解位置是相对的,不是绝对的。
2、 地图通常是按(上北、下南、左西、右东)来绘制的。
( 做题时先标出北南西东。)
3、 会看简单的路线图,会描述行走路线。
一定写清楚从哪儿向哪个方向走,走了多少米,到哪儿再向哪个方向走。同一个地点可以有不同的描述位置的方式。(例如:学校在剧场的西面,在图书馆的东面,在书店的南面,在邮局的北面。)同一个地点有不同的行走路线。一般找比较近的路线走。
4.、指南针是用来指示方向的,它的一个指针永远指向(南方),另一端永远指向(北方)。
5.、生活中的方位知识:
① 北斗星永远在北方。
② 影子与太阳的方向相对。
③ 早上太阳在东方,中午在南方,傍晚在西方。
④ 风向与物体倾斜的方向相反。
( 刮风时的树朝风向相对的方向弯,烟朝风向相对的方向飘…… )
第二单元 除数是一位数的除法
1、口算时要注意:
(1)0除以任何数(0除外)都等于0;
(2)0乘以任何数都得0;
(3)0加任何数都得任何数本身;
(4)任何数减0都得任何数本身 。
2、没有余数的除法:
被除数÷除数=商
商×除数=被除数
被除数÷商=除数
有余数的除法:
被除数÷除数=商……余数
商×除数+余数=被除数
(被除数—余数)÷商=除数
3、笔算除法顺序:确定商的位数,试商,检查,验算。
(1)一位数除两位数(商是两位数)的笔算方法:先用一位数除十位上的数,如果有余数,要把余数和个位上的数合起来,再用除数去除。除到被除数的哪一位,就把商写在那一位上面。
(2)一位数除三位数的笔算方法:先从被除数的最高位除起,如果最高位不够商1,就看前两位,而除到被除数的哪一位,就要把商写在那一位上,假如不够商1,就在这一位商0;每次除得的余数都要比除数小,再把被除数上的数落下来和余数合起来,再继续除。
(3)除法的验算方法:
没有余数的除法的验算方法:商×除数:被除数;
有余数的除法的验算方法:商×除数+余数=被除数。
4、基本规律:
(1)从高位除起,除到哪一位,就把商写在那一位;
(2)三位数除以一位数时百位上够除,商就是三位数;百位上不够除,商就是两位数;(最高位不够除,就看两位上商。)
(3)哪一位有余数,就和后面一位上的数合起来再除;
(4)哪一位上不够商1,就添0占位;每一次除得的余数一定要比除数小。
增:第二单元 课外知识拓展
5、2、3、5倍数的特点
2的倍数:个位上是2、4、6、8、0的数是2的倍数。
5的倍数:个位上是0或5的数是5的倍数。
3的倍数:各个数位上的数字加起来的和是3的倍数,这个数就是3的倍数。比如:462,4+6+2=12,12是3的倍数,所以462是3的倍数。
6、关于倍数问题:
两数和÷倍数和=1倍的数
两数差÷倍数差=1倍的数
例:已知甲数是乙数的5倍,甲乙两数的和是24,求甲乙两数?
这里把乙数看成1倍的数,那甲数就是5倍的数。它们加起来就相当于乙数的6倍了,而它们加起来的和是24。这也就相当于说乙数的6倍是24。所以乙数为:24÷6=4,甲数为:4×5=20
同样:若已知甲数是乙数的5倍,甲乙两数之差是24,求甲乙两数?
这里把乙数看成1倍的数,那甲数就是5倍的数。它们的差就相当于乙数的4倍了,而它们的差是24。这也就相当于说乙数的4倍是24。所以乙数为:24÷4=6,甲数为:6×5=30
7、和差问题
(两数和 — 两数差)÷2=较小的数
(两数和 + 两数差)÷2=较大的数
例:已知甲乙两数之和是37,两数之差是19,求甲乙两数各是多少?
如图:
解析:如果给甲数加上“乙数比甲数多的部分(两数差)”(虚线部分),则由图知,甲数+两数差=乙数。如是:甲数+两数差+乙数=甲数+乙数+两数差=两数和+两数差
又有:甲数+两数差+乙数=乙数+乙数=乙数×2
知道:两数和+两数差=乙数×2
(两数和 + 两数差)÷2=乙数
解:假设乙数是较大的数。乙:(37+19)÷2=28 甲:28-19=9
8、锯木头问题。
王叔叔把一根木条锯成4段用12分钟,锯成5段需要多长时间?
如图,锯成4段只用锯3次,也就是锯3次要12分钟,那么可以知道锯一次要:12÷3=4(分钟)
而锯成5段只用锯4次,所需时间为:4×4=16(分钟)
9、巧用余数解决问题。
①( )÷8=6……( ),求被除数最大是 ,最小是 。
根据除法中“余数一定要比除数小”规则,余数最大应是7,最小应是1。
再由公式:商×除数+余数=被除数,知道被除数最大应是6×8+7=55,最小应是6×8+1=49。
②少年宫有一串彩灯,按1红,2黄,3绿排列着,请你猜一猜第89个是什么颜色?
……
由图可知,彩灯一组为:1+2+3=6(个),照这样下去,89÷6=14(组)……5(个)第89个已经有像上面的这样6个一组14组,还多余5个;这5个再照1红,2黄,3绿排列下去,第5个就是绿色的了。
③加一份和减一份的余数问题。
例1:38个去划船,每条船限坐4个,一共要几条船?
38÷4=9(条)……2(人)
余下的2人也要1条船,9+1=10条。
答:一共要10条船。
例2:做一件成人衣服要3米布,现在有17米布,能做几件成人衣服?
17÷3=5(件)……2(米)
余下的2米布不能做一件成人衣服
答:能做5件成人衣服。
第三单元 复式统计表
1、把两个或两个以上有联系的单式统计表合编成一个统计表,这个统计表就是复式统计表。
2、观察、分析复式统计表要先看表头,弄清每一项的内容,再根据数据进行分析,回答问题。
第四单元 两位数乘以两位数
口算乘法
1、两位数乘一位数的口算方法:
(1)把两位数分成整十数和一位数,用整十数和一位数分别与一位数相乘,最后把两次乘得的积相加
(2)在脑中列竖式计算。
2、整百整十数乘一位数的口算方法:
(1)先用整百数乘一位数,再用整十数乘一位数,最后把两次乘得的积相加。
(2)先用整百整十数的前两位与一位数相乘,再在乘积的末尾添上一个0。
(3)在脑中列竖式计算。
3、一个数与10相乘的口算方法:
一位数与10相乘,就是把这个数的末尾添上一个0。
4、两位数乘整十数的口算方法:
先用这个两位数与整十数十位上的数相乘,然后在积的末尾添上一个O。
小技巧:口算乘法:整十、整百的数相乘,只需把0前面的数字相乘,再看两个因数一共有几个0,就在结果后面添上几个0。
如:30×500=15000 可以这样想,3×5=15,两个因数一共有3个0,在所得结果15后面添上3个0就得到30×500=15000
笔算乘法
先把第一个因数同第二个因数个位上的数相乘,再与第二个因数十位上的数相乘(积与十位对齐),最后把两个积加起来。
注意事项
1.估算:18×22,可以先把因数看成整十、整百的数,再去计算。
→(可以把一个因数看成近似数,也可以把两个因数都同时看成近似数。)
2、有大约字样的一般要估算。
3、凡是问 够不够,能不能 等的题,都要三大步:
①计算、②比较、③答题。→ 别忘了比较这一步。
几个特殊数:
25×4=100 ,125×8=1000
4、相关公式:
因数×因数 = 积
积÷因数 = 另一个因数
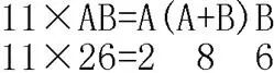
5、两位数乘两位数积可能是( 三 )位数,也可能是( 四 )位数。
6、一个两位数与11的速算技巧:
第五单元 面积
面积和面积单位:
1.常用的面积单位有:(平方厘米)、(平方分米)、(平方米)。
2.理解面积的意义和面积单位的意义。
面积:物体表面或封闭图形的大小,叫做它们的面积。
1平方米:边长是1米的正方形,它的面积是1平方米。
1平方分米:边长是1分米的正方形,它的面积是1平方分米。
1平方厘米:边长是1厘米的正方形,它的面积是1平方厘米。
3.在生活中找出接近于1平方厘米、1平方分米、1平方米的例子。例如1平方厘米(指甲盖)、1平方分米(电脑光盘或电线插座)、1平方米(教室侧面的小展板)。
4.区分长度单位和面积单位的不同。长度单位测量线段的长短,面积单位测量面的大小。
5.比较两个图形面积的大小,要用(统一)的面积单位来测量。
背 熟 :
(1)边长(1厘米)的正方形,面积是(1平方厘米)。
(反过来也要会说。面积是1平方厘米的正方形,它的边长是1厘米。)
(2)边长 (1分米)的正方形,面积是(1平方分米)。
(3)边长 (1米 )的正方形,面积是(1平方米)。
(4)边长是(100米)的正方形面积是(1公顷),也就是(10000平方米)。
(5)边长是(1千米)的正方形面积是1平方千米。
面积单位进率和土地面积单位:
1.常用的土地面积单位有( 公顷 )和( 平方千米 )。
★“ 公顷 ”→ 测量菜地面积、果园面积、建筑面积
★“ 平方千米 ”→ 测量城市土地面积、国家面积
1公顷:边长是100米的正方形,它的面积是1公顷。
1平方千米:边长是1千米的正方形,它的面积是1平方千米。
1公顷=10000平方米
1平方千米=100公顷
1平方千米=1000000平方米
2.正确理解并熟记相邻的面积单位之间的进率。
① 进率100:
1平方米 = 100平方分米
1平方分米 = 100平方厘米
1平方千米 = 100 公顷
② 进率10000:
1公顷 = 10000平方米
1平方米 = 10000平方厘米
③ 进率1000000:
1平方千米 = 1000000平方米
④ 相邻两个常用的长度单位之间的进率是( 10 )。
相邻两个常用的面积单位之间的进率是( 100 )。
背熟公式
1、周长公式:
长方形的周长 = (长+宽)× 2
长 = 周长÷2-宽
或者:(周长-长×2)÷2= 宽
宽 = 周长÷2-长
或者:(周长-宽×2)÷2=长
正方形的周长 = 边长×4
正方形的边长 = 周长÷4
2、面积公式:
长方形的面积=长×宽 正方形的面积=边长×边长 长方形的周长=(长+宽)×2 正方形的周长=边长×4 已知面积求长:长=面积÷宽 已知面积求边长:边长=面积开平方 已知周长求长:长=周长÷2 - 宽 已知面积求边长:边长=面积÷4 |
A、正确区分长方形和正方形的周长和面积的意义,并能正确运用上面的4个计算公式求周长和面积。
归类:什么样的问题是求周长?(缝花边、围栅栏、围栏杆、池塘或花坛周围小路长度、围操场跑步的长度等等)什么样的问题是求面积?或与面积有关?(课本等封面大小、刷墙、花坛周围小路面积、给餐桌配玻璃、给课桌配桌布、洒水车洒到的地面、某物品占地面积、买玻璃、买镜子、买布、买地毯、铺地、裁手帕的等等)
B、长方形或正方形纸的剪或拼。有两个或两个以上长方形或正方形拼成新的图形后的面积与周长。从一个图形中(通常是长方形)剪掉一个图形(最大的正方形等)求剪掉部分的面积或周长、求剩下部分的面积或周长。要求先画图,再标上所用数据,最后列式计算。
C、刷墙的(有的中间有黑板、窗户等):用大面积-小面积。
熟练运用进率进行面积单位之间的换算。掌握换算的方法。
1、低级单位——高级单位:数量÷它们间的进率
如:零钱换大钱,张数减少;300平方分米=3平方米
1、高级单位——低级单位:数量×们间的进率
如:大钱换零钱,张数增多;5平方千米=500公顷
注 意:
(1) 面积相等的两个图形,周长不一定相等。
周长相等的两个图形,面积不一定相等。
(2) 大单位换算小单位(乘它们之间的进率)
小单位换算大单位(除以它们之间的进率)
(3) 长度单位和面积单位的单位不同,无法比较。
(4)周长相等的两个长方形,面积不一定相等。面积相等的两个长方形,周长也不一定相等。
第六单元 年、月、日
(一)年、月、日
1、常用的时间单位有:(年、月、日)和(时、分、秒)。
2、重要的日子:1949年10月1日,中华人民共和国成立。
1月1日元旦节、3月12日植树节,5月1日劳动节,6月1日儿童节,7月1日建党节,8月1日建军节,9月10日教师节,10月1日国庆节
3、熟记每个月的天数:知道大月一个月有31天,小月一个月有30天。平年二月28天,闰年二月29天,二月既不是大月也不是小月。一年有12个月(7大4小1特殊)
可借助歌谣记忆:
一、三、五、七、八、十、腊(即十二月),
三十一天永不差。
四六九冬三十天,只有二月二十八。
每逢四年闰一日,一定要在二月加。
4、熟记全年天数:平年2月28天,闰年2月29天。平年365天,闰年366天。上半年多少天(平年181天,闰年182天),下半年多少天(所有年份都是184天)。
(1)季度:(一年分四季度,每3个月为一个季度)
一、二、三月是 第一季度(平年有90天,闰年有91天),
四、五、六月是 第二季度(有91天),
七、八、九月是 第三季度(92天),
十、十一、十二月是 第四季度(有92天)。
(2)会计算每个季度有多少天,连续几个月共有多少天。连续两个月共62天的是:7月和8月,12月和第二年的1月;一年中连续两个月共62天的是:7月和8月。
(3)给出一个天数会计算有几个星期零几天。
如:第三季度有(92)天,有(13 )个星期零( 1)天。平年全年有(365)天,是(52 )个星期零(1)天。
(4)公历年份是4的倍数的一般都是闰年:一般情况下可以用年份除以4的方法判断平年闰年。年份除以4有余数是平年,没有余数是闰年。
如:1978÷4=494……2,1978年是平年。
1988÷4=497,1988年是闰年。
(5)公历年份是整百数的必须是400的倍数才是闰年。
如1900年是平年,2000年是闰年。
5、经过的天数的计算:
公式:结束时间—开始时间 + 1
例如:6月12到8月17日是多少天?
6月12日~~6月30日 30-12+1=9(天)
7月有:31(天) 8月1日~~8月17日 有:17(天)
9+31+17=57(天)
6、给出一个人出生的年份,会计算这个人多少周岁;给出一个人的年龄会计算他是哪一年出生的。
如:小华1994年6月出生,到今年6月(15岁)。小华今年12岁,他是(1997年)出生的。
7、通常每4年里有( 1 )个闰年, ( 3 )个平年。
(如果说某个人不是每年都能过到生日,8岁过两次生日,12岁过3次生日,那么他的生日就是2月29日。)
8、推算星期几的方法:
例如:已知今天星期三,再过50天星期几?
解析:因为一个星期是七天,那么由50÷7=7(星期)……1(天),知道50天里有7个星期多一天,所以第50天是星期三往后数一天,即星期四。
9、会计算到今年经过的年份:就用2013 - 给的年份例如:中华人民共和国成立于1949年10月1日,到今年建国多少周年?
熟记中华人民共和国建国的时间是1949年10月1日;
算式:2013-1949=64(年)
(二) 24计时法
1、普通计时法又叫12时计时法,就是把一天分成两个12时表示,普通计时法一定要加上“上午”、“下午”等前缀。(如凌晨3时、早上8时、上午10时、下午2时、晚上8时)
2、24时计时法:就是把一天分成24时表示,在表示的时间前可以加或可以不加表示的大概时间段得词语。
3、普通计时法转换成24时计时法时,超过下午1时的时刻用24时计时法表示就是把原来的时刻加上12。
如:
普通计时法 24时计时法
上午9时 === 9时或9:00
晚上9时 === 21时或21:00
4、反过来要把24时计时法表示的时刻表示成普通计时法的时刻,超过13时的时刻就减12,并加上下午,晚上等字在时刻前面。
比如:16时等于16 - 12 = 下午4时。(必须加前缀)
5、计算经过时间,就是用结束时刻减开始时刻。
结束时刻-开始时刻=时间段(经过时间)
比如:10:00开始营业,22:00结束营业,
营业时间为:22:00—10:00=12(小时)
★(计算经过时间时,一定把不同的计时法变成相同的计时法再计算)
比如:某商品早上8:00开始营业,下午6:00停止营业,一天营业多少时间?
下午6:00=18:00 18:00 - 8:00 = 10(小时)
6、认识时间与时刻的区别:(时间是一段,时刻是一个点)
如:火车11:00出发,21时30分到达,火车运行时间是(10时30分),注意不要写成(10:30)。
正确的列式格式为:21时30分-11时=10时30分,不能用电子表的形式相减。
再如:火车19时出发,第二天8时到达,火车运行时间是(13小时)。像这种跨越两天的,可以先计算第一天行驶了多长时间:24-19=5(时),再加上第二天行驶的8个小时:5+8=13(时)
又如:一场球赛,从19时30分开始,进行了155分钟,比赛什么时候结束?先换算,155分=2时35分,再计算。
7、会根据给出的信息制作月历和年历。如:某年8月1日是星期二,制作8月份的月历。再如:某年4月30日是星期
四,制作5月份月历。
制作年历步骤:
第一:确定1月1日是星期几;
第二:确定12个月怎样排列,
第三:把休息日用另外的颜色标出来。
8、时间单位进率:
1世纪=100年
1年 =12个月
1天(日)=24小时
1小时=60分钟
1分钟=60秒钟
1周=7天
第七单元 小数的初步认识
1、小数的意义:像3.45,0.85,2.60,36.6,1.2和1.5这样的数叫做小数。小数是分数的另一种表现形式。
2、小数的认、读、写:限于小数部分不超过两位的小数。整数部分按整数的读法(几百几十几)。小数部分每一位都要读,按读电话号码的方法读,有几个0就读几个零。
例如:127.005读作:一百二十七点零零五。
3、小数与分数的关系、互换。小数不同表示的分数就不同。
例如:0.5=5/10 0.50=50/100
4、运用元/角/分、米/分米/厘米的知识写小数;把7角、7分改写成以元作单位的小数。
5、把“单位1”平均分成10份,每份是它的十分之一,也就是0.1
把“单位1”平均分成100份,每份是它的百分之一,也就是0.01
6、分母是10的分数写成一位小数(0.1),
分母是100的分数写成两位小数(0.01)。
7、比较两个小数的大小:先比较小数的整数部分,整数部分大的数就大,如果整数部分相同就比较小数的小数部分,小数部分要从小数点后最高位比起。
8、比大小的两种情况:跑步是数越少越好;跳远、跳高是数越大越好。
9、计算小数加、减法时,小数点对齐,也就是相同数位对齐,再相加、减。
10、小数加减法计算:。
(尤其注意:12-3.9;9+8.3 等题的计算。)
11、小数不一定比整数小。
(如:5.1 >5 ;1.3 > 1等)
第八单元 数学广角-搭配(二)
简单的排列:有序排列才能做到不重复、不遗漏。
简单的组合:组合问题可以用连线的方法来解决。
组合与排列的区别:排列与事物的顺序有关,而组合与事物的顺序无关
近期热点内容
2020部编1-6年级语文知识要点汇总:
2020春部编1-6年级语文课件教案试卷(精品级)
2020春部编语文课时讲解:
2020春人教数学课时讲解: