点击“蓝字”
关注我们
纳米结构金电极上对氨基苯硫酚的电化学反应过程研究
彭辉远,王家正,刘 佳,于欢欢,林建德,吴德印*,田中群
(厦门大学化学化工学院,固体表面物理化学国家重点实验室,福建 厦门 361005)
摘要:本文研究了金电极上吸附对氨基苯硫酚(PATP)的电化学行为。在0.05 M的硫酸溶液(pH=1)中,从循环伏安图中可观察到PATP的不可逆电氧化峰。基于吸附PATP电化学氧化为4'-巯基-N-苯基醌二亚胺(NPQD)的反应机理,计算了电极表面PATP的覆盖度,并在低激光功率下通过电化学表面增强拉曼光谱进行了氧化产物表征。通过电化学线性扫描伏安法及理论模拟计算,确定了PATP电化学氧化的动力学参数,即表观反应速率常数k及传递系数α,确定了生成阳离子自由基的步骤为速率控制步骤。
关键词:对氨基苯硫酚;覆盖度;电化学表面增强拉曼光谱;线性扫描伏安法;理论模拟
1 引 言
有机芳香硫醇类化合物在金(Au)表面上发生化学吸附,可形成有序自组装单层。对氨基苯硫酚,也称为对巯基苯胺(PATP),它是常用的表面增强拉曼(SERS)的模型探针分子,在大多数金属电极上具有很强的吸附能力,可达到吸附满单层的状态,并能产生强的SERS信号。同时,该分子在电化学电位极化和光作用下可发生不同的表面反应。前人已报道PATP有三种偶联方式:头头偶联转化为4, 4’-二巯基偶氮苯(DMAB);尾尾偶联转化为4, 4'-二氨基苯二硫醚;头尾偶联转化为4'-巯基-4-氨基二苯胺。然而,电极电位、溶液pH、激光功率等会对上述转化产生影响,从而影响电化学界面的电极过程。在纳米结构电化学界面,弄清电极界面电化学反应机理,并研究反应选择性和转化效率仍然是一个极具挑战性的问题。
鉴于该体系具有很强的电化学表面增强拉曼光谱(EC-SERS)信号和电化学电位调控反应特征,该分子吸附在金纳米结构电极表面可研究电化学反应过程。EC-SERS通过CHI的恒电位电解方法(i-t)控制电位,待电流稳定后获取指定电位下的SERS谱图,利用EC-SERS可以提供电极表面发生反应的分子的指纹信息,从而辅助常规电化学的手段分析PATP电氧化行为。本文结合电化学循环伏安和电化学线性扫描伏安法研究了电极电位和电位扫描速率对PATP分子氧化的影响,并通过EC-SERS实验研究了PATP分子氧化产物的EC-SERS信号。最后,通过电化学线性扫描伏安法及理论模拟计算,确定了PATP电化学氧化的表观反应速率常数k及传递系数α。
2 实 验
2.1 试剂与仪器
实验中使用的试剂有浓硫酸(H2SO4,98%,国药试剂)、氢氧化钠(NaOH,分析纯≥96%,国药试剂)、磷酸二氢钠(NaH2PO4,分析纯≥99%,国药试剂)、磷酸氢二钠(Na2HPO4,分析纯≥99%,国药试剂)用于配制电解液,四水合氯金酸(HAuCl4·4H2O,分析纯≥99%,国药试剂)和二水合柠檬酸三钠(Na3C6H5O7·2H2O,分析纯≥99%,国药试剂)用于合成金纳米粒子以及探针分子对氨基苯硫酚(C6H7SN,≥98%,Aladdin)。
2.2 实验方法
合成金纳米粒子的方法采用柠檬酸钠一步还原法(Frens方法):用移液枪量取2 mL已配制的1%氯金酸溶液于二口圆底烧瓶中,接着加入198 mL超纯水。使用磁力搅拌器搅拌溶液,同时用电热套加热溶液,至沸腾回流后再将事先配好的1.4 mL 1%的柠檬酸钠水溶液迅速加入,大约1 min左右,烧瓶内溶液会从原先的淡黄色转变为黑色,2~3 min后又变为亮红棕色。继续对烧瓶进行加热以保持微沸回流状态,磁力搅拌约40 min后即可停止加热。使用水浴法冷却并继续搅拌至室温,最后封口膜密封并用铝箔包覆烧瓶避光保存。
本论文中所使用的自研拉曼电解池基于传统电化学三电极电解池开发而成。其中分别以金电极作为工作电极(WE),饱和甘汞电极(SCE)作为参比电极(RE),以铂丝(Pt)作为对电极(CE)。
在实验开始前对电极表面进行了仔细的清理。将Au电极裸金表面用超纯水洗净,分别以3#、1#金相砂纸打磨电极,再用丙酮、无水乙醇、超纯水依次超声清洗3次,每次时间为5 min,先后用1 mm、0.05 mm Al2O3抛光粉抛光至电极表面光亮,再超声电极并清洗多次。对于此前合成的Au纳米粒子,取样并置于1.5 mL离心管中,经过两次离心(转速4500 rpm)清洗并浓缩,再取10 mL浓缩的纳米粒子溶胶滴加到Au电极上,且在真空下干燥,最后可获得具有SERS活性的Au纳米粒子修饰的金电极。
EC-SERS检测前组装好拉曼电解池,置于XploRa仪器的平台上,物镜使用50倍电化学镜头。通过电化学工作站(CHI660E)控制和监测工作电极电位,这里主要采用CHI的恒电位电解方法(i-t)进行实验。根据在电化学CV曲线确定EC-SERS控制电位的范围,设置初始电位,时刻观察电流随时间的变化,待电流稳定后,获取SERS谱图。SERS谱图采集完成,则改变电位,再次采集SERS谱图。这样获得随电位变化的SERS谱图,即稳态原位EC-SERS光谱。
3 结果与讨论
3.1 PATP的循环伏安曲线
首先,我们对于金纳米粒子修饰的金电极活性面积进行了评估。这里我们采用了氧脱附法,确定金电极表面活性面积。当浸没于电解液中的金电极氧化会产生AuO氧化物单层,再经过负向扫描其可逆电化学还原生成Au。通过计算氧化物单层AuO的还原电量Q,结合单位面积氧化物还原的理论电量Qtheo,最终可算得金电极表面活性面积A。
选用0.05 M H2SO4作为电解液进行循环伏安扫描,扫速为100 mV·s-1,电位区间为-0.1~1.5 V。在正扫过程中,Au从1.0 V开始氧化,出现三个氧化峰对应为金的氧化。在回扫的过程中,在0.8 V出现非常尖锐的还原峰,对还原峰积分可得到氧化物单层的还原电量Q,单位面积Au氧化物的还原电量QAu=390±10 μC·cm-2,取QAu=390 μC·cm-2。积分可得还原过程中的电荷转移量Q为66.34 μC,从而算出电极活性面积为0.17 cm2。因电极的直径为0.2 cm,实际横截面积为0.03 cm2。在同样电极横截面积下,和光滑电极表面的面积相比,金纳米粒子修饰金电极比光滑表面面积增加了5.7倍。
图1 在0.05 M H2SO4电解液中(pH=1)电极表面电化学CV曲线
图1是在酸性电解液条件(0.05 M H2SO4)下,电位区间为-0.1~0.9 V(相对于SCE),扫描速率为100 mV·s-1的电化学循环伏安(CV)曲线。黑色虚线表示未吸附PATP分子时,金电极在0.05 M H2SO4电解液中的空白循环伏安实验。
图1中蓝色实线为吸附PATP在金纳米粒子修饰的金电极上的首圈电化学CV曲线。从中可以发现,在电位正扫过程中,PATP会发生电化学氧化反应,氧化起始电位在0.5 V左右,并且在0.72 V电流达到峰值,峰电流值约为8.2×10-5 A。随后电流值会不断地降低。与空白CV对照,在回扫过程中未观测到相应的还原峰。由此可以判断,PATP发生了不可逆的氧化。此外,在首圈回扫的过程中,容易观察到在0.45 V出现了还原峰Y及0.26 V还原峰Z。图1红色实线表示吸附于金纳米粒子修饰的金电极上PATP分子的第二圈CV曲线。从中可以看到在第二圈正扫过程中,原本首圈出现的氧化峰X明显已经减小,说明主要的PATP在首圈就被氧化了。此外在第二圈的正扫过程中,形成了另一个氧化峰0.46 V,其峰电位与0.45 V处的还原峰Y相近,应为相对应的氧化还原峰。在第二圈CV的回扫过程中,还原峰Y再次出现,该还原峰的峰值与首圈相比,峰电流数值基本没有发生变化。在回扫过程中出现的Z峰在第二圈很快地衰减了,最终趋向于消失,其对应为氧化副产物。
为了探究在金纳米粒子修饰的金电极上PATP分子的吸附情况以及氧化反应动力学,需要进行评估电极表面的PATP分子的覆盖度,
其中Γ为覆盖度,Q为电荷转移量,n为电子转移数,A为电极面积。根据公式(1)计算电极表面PATP的覆盖度。我们对PATP分子的电化学氧化机理进行了建议。如图2所示,PATP分子在较高电位区间首先被氧化,失去一个电子,形成吸附于电极表面的阳离子自由基[PATP(NH2+·],该步为总反应的速率控制步骤。接着生成的阳离子自由基能够与电极表面的底物PATP分子发生偶联反应,生成4'-巯基-N-苯基-1,4-苯二胺(NPQDH2),该物种在正电位区间,易于发生两电子氧化,最终PATP在电极表面氧化到4'-巯基-N-苯基醌二亚胺(NPQD)。基于上述机理,由两个PATP分子转化成一个NPQD分子,整个氧化过程的电子转移数为3。
图2 在金电极表面吸附PATP的电化学氧化机理
我们通过对首圈CV中氧化峰X进行积分,计算出峰面积从而获得电化学氧化过程的电荷转移量Q。如采用法拉第常数F为96485.332 C·mol-1,整个氧化过程涉及两个PATP分子的3个电子转移数,即对于单个PATP分子而言,平均电子转移数为1.5,电极表面活性面积A为0.17 cm2。根据氧化过程的电荷转移量和电子迁移数,由覆盖度计算公式(1)得到金纳米粒子修饰的电极表面上PATP覆盖度,如表1所示。
表1 PATP分子在Au NPs@Au电极表面覆盖度
表1中的计算结果表明,实际测得的电极表面PATP覆盖度略大于文献中的表面覆盖度(2.0±0.3)×10-9 mol·cm-2 ,这是因为经过金纳米粒子修饰的金电极形貌发生了变化,具有更大的表面面积,从而电极表面吸附分子的覆盖度增大。
3.2酸性条件下PATP电化学氧化过程的SERS光谱
图3 (a)实验测得PATP分子常规拉曼光谱(绿色实线)、SERS光谱(红色实线,0.1 V电位下的SERS;橙色实线,0.7 V电位下的SERS);(b)在0.05 M H2SO4电解液中吸附于Au NPs修饰的金电极上PATP分子的638 nm激光EC-SERS谱图
图3a为PATP实验测得的常规拉曼光谱(绿色实线)。在900 cm-1至1800 cm-1波数范围内,从图中可以看出PATP的特征峰主要出现在1009、1088、1178、1288、1496和1596 cm-1,其中1088和1596 cm-1峰较强。图3a中红色和橙色实线分别对应为0.1 V和0.7 V电位下的SERS谱,谱图变化较为明显,表明电极表面吸附物种发生了变化,详细变化如图3b所示。
根据图1的CV曲线,选定初始电位为0.1 V,终止电位为0.8 V。电位从0.1 V逐步增加到0.8 V,获得EC-SERS谱图3b。图3b是在0.05 M H2SO4中,PATP吸附于Au NPs修饰的金电极上的EC-SERS谱图(激光功率:0.0428 mW,采谱时间:5 s)。在电位低于0.5 V时,从谱图中可观察到PATP的特征峰1078、1180和1587 cm-1。然而,在低电位区间SERS谱随电位变化不明显。当电位达到0.5 V或高于0.5 V,SERS谱图才发生了显著的变化。如在大约1500 cm-1波数处观察到新峰的生成,同时也产生了新峰1223 cm-1和1635 cm-1。出现的新峰对应电化学氧化产物4'-巯基-N-苯基醌二亚胺(NPQD)的特征峰,且随着电位正移,新峰的强度也逐渐增强。这与电化学CV中观察到的电流随氧化电位不断增加相一致。实验也表明,在电位升高时,SERS峰1078 cm-1、1180 cm-1和1587 cm-1向着低波数方向移动,分别红移至1076 cm-1、1177 cm-1和1578 cm-1,这主要是由于电极表面吸附物种与电极之间化学键导致振动频率变化。
3.3 电化学线性扫描伏安法及理论模拟反应动力学
图4 (a)在0.05 M H2SO4中不同扫速下的PATP分子氧化的正向线性扫描伏安曲线;(b)电位扫描速率的对数log(v)与峰电位Ep,平衡电极电位E0差值的关系及拟合结果
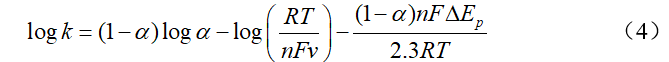
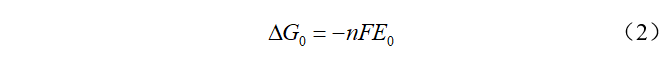
图4(a)是在0.05 M H2SO4中的PATP吸附在金电极上不同扫描速率(10 mV·s-1、50 mV·s-1、100 mV·s-1、200 mV·s-1和500 mV·s-1)下的正向线性扫描伏安曲线。结果表明,随着扫描速率的增大,不可逆氧化的峰电流非线性地增加,并且峰电位向正电位方向移动。根据公式(2),
其中为PATP氧化总反应的吉布斯自由能变,E0为平衡电极电位。由PATP的电化学氧化机理可知总反应为,
根据理论计算可以得到总反应的吉布斯自由能变,继而可计算出PATP电化学氧化的平衡电极电位E0=0.73 V(vs. SHE)。同时,从图4(a)中能够提取扫描速率(v)和氧化峰的峰值电位(Ep)的数值,并可以绘制出扫描速率(v)与Ep–E0之间的对应关系,如图4(b)所示。由文献可知,Ep-E0与扫速的对数满足线性关系,
简化后,可得
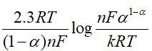
其中斜率为,截距为
,通过与线性拟合的结果进行比较,可计算出传递系数α为0.548、表观反应速率常数k为6.06×10-3 s-1。
我们更进一步结合反应机理进行了动力学模拟,确定反应动力学参数。基于有限元分析方法,采用反应动力学模拟,对表面电化学过程建模,并用最小二乘法对理论值和实验值进行比较,使用COMSOL Multiphysics软件的表面反应模块优化动力学参数,获得最好的拟合结果。描述PATP的不可逆电化学氧化可考虑为电化学典型的三步机理,即电化学-化学-电化学(ECE)氧化机理,其对应的反应方程和反应速率方程依次为,
其中A0是PATP(NH2),A1是,A2是NPQDH2,A3是NPQD;k是电化学步骤的电子转移速率常数或化学步骤的反应速率常数,α是电荷转移系数。结合三个反应边界条件来调用瞬态求解器,在电位E从初始电位到终止电位的线性变化过程中,对以上公式进行优化求解。图5为实验所得分别以50 mV·s-1、200 mV·s-1和500 mV·s-1扫速为例的线性扫描伏安法曲线(红色实线)与理论模拟(虚心方形)图像吻合较好。由此,理论模拟确定阳离子自由基形成的标准速率常数和α1分别为7.76×10-3 s-1和0.492。理论模拟所得反应速率常数与实验所得反应速率常数相近,证实生成阳离子自由基的步骤为电化学氧化反应的速率控制步骤。
图5 在0.05 M H2SO4中PATP吸附在Au NPs@Au电极上的正向线性扫描伏安曲线。实验,红色实线;理论模拟,黑色方形。电位扫描速率 (a) 50 mV·s-1, (b) 200 mV·s-1, (c) 500 mV·s-1
4 结 论
我们针对PATP的电化学氧化过程及其机理进行了实验和理论模拟研究。在酸性电解液中研究PATP在低电位的吸附和较高电位的氧化反应。在金纳米粒子修饰的金电极表面上,吸附PATP发生不可逆的氧化,而电化学氧化产物能够发生可逆的氧化还原反应。基于此,认为PATP会先转变为阳离子自由基,且该步为速率控制步骤。接着该阳离子自由基与电极表面吸附的底物PATP发生偶联反应,再进一步经过电化学氧化反应,即氧化失去两个电子和两个质子,最终转变为吸附电极表面的NPQD。根据这一机理,首先评价了PATP的覆盖度,其值比文献值略大,建议主要是由于本实验中采用了金纳米粒子修饰的金电极。在EC-SERS谱图中能够观测到电化学氧化产物峰的形成,通过EC-SERS进行了电化学氧化过程的表征。
我们进一步研究了PATP的氧化反应动力学。根据多个扫速速率的线性扫描伏安法和理论模拟,计算了电化学步骤的传递系数及表观反应速率常数。计算得到PATP发生电化学氧化的传递系数为0.5477,反应速率常数为6.061×10-3 s-1。理论模拟计算确定了阳离子自由基形成的标准速率常数和传递系数α1分别为7.76×10-3 s-1和0.492。最后,我们强调PATP的阳离子自由基形成步骤为PATP电化学氧化反应的速率控制步骤。
引用格式:
彭辉远, 王家正, 刘佳, 于欢欢, 林建德, 吴德印, 田中群. 纳米结构金电极上对氨基苯硫酚的电化学反应过程研究[J]. 电化学, doi: 10.13208/j.electrochem.210628.
Hui-Yuan Peng, Jia-Zheng Wang, Jia Liu, Huan-Huan Yu, Jian-De Lin, De-Yin Wu, Zhong-Qun Tian. Investigation on Electrochemical Processes of p-Aminothiophenol on Gold Electrode of Nanostructures[J]. Journal of Electrochemistry, doi: 10.13208/j.electrochem.210628.
DOI:
10.13208/j.electrochem.210628
http://electrochem.xmu.edu.cn/CN/10.13208/j.electrochem.210628
点击文末“阅读原文”免费下载、浏览PDF全文
关于我们
相关推荐
电化学期刊
长按识别二维码关注