点击下方
关注我们
团队解读:电化学领域的研究者,都在用多孔电极阻抗谱模型。但是,外文文献上的表述,其实很不好懂,因为其表述可能不太专业和严谨。于是,我们写了一篇服务于国内电化学领域读者的科普论文,希望对大家有所帮助。
提示:本文篇幅较长,建议先收藏,再阅读~
宏观均相多孔电极电化学阻抗谱基础
李响1,黄秋安2,*,李伟恒2,白玉轩1,2,王佳1,2,刘杨2,赵玉峰2,王娟1,*,张久俊2,*
(1. 陕西省纳米材料与技术重点实验室,西安建筑科技大学;2. 可持续能源研究院,上海大学)
1 全文速览
电化学阻抗谱可用于诊断多孔电极内电荷转移反应,即界面电荷集聚和电荷传导,以及反应物的输运。本文采用复相量方法,在同态均相假设下,重新推演多孔电极电化学阻抗谱模型,并厘清先前模型推导中若干模糊性表述。(1)定义多孔电极的典型参数;(2)辨析阻抗谱特征输出参数;(3)分析阻抗谱特征参数的演变规律;(4)揭示电荷转移反应中耦合竞争效应。本文研究结果可为阻抗谱的数值仿真和系统辨识提供技术支撑,可为多孔电极内电荷转移反应的竞争分析提供理论基础,还可为电化学储能系统的优化设计提供诊断工具。
2 背景介绍
多孔电极是电化学技术中被广泛使用的电极类型,用于提高电极反应面积、增加活性点密度及加快反应动力学。为达上述目的,创新制造工艺、优化电极活性物组分、设计电极微观结构、匹配电池部件等过程必须协同推进。这种协同推进又依赖于对多孔电极内电荷传导反应过程的深入理解,尤其是多孔电极中电子和离子传导过程的定量表征和分析。上述关键过程都绕不开三个基本问题,即电荷传导、质量输运及界面电荷集聚与电化学反应。本文统称上述三个基本问题为“离子电子转移反应”或“电荷转移反应”。在研究电荷转移反应中,电化学阻抗谱(Electrochemical Impedance Spectroscopy, EIS)已被视为最有力的诊断工具,尤其在多孔电极电荷转移反应中发挥着独特作用。在EIS诊断中,基于阻抗模型的数据分析扮演着桥梁的作用,它可以把观测到的输出EIS数据与电化学物理过程有效地衔接起来,然后借助于系统仿真和系统辨识技术,最终实现EIS诊断。
多孔电极EIS模型大体可以分为三个发展方向:
(1) 微观尺度的机理研究,比如纳米尺度多孔电极电路模型。朝微观尺度方向发展,一方面可使其物理化学含义更加明晰,有利于研究电化学储能系统的机理,另一方面却愈发聚焦于局部,不利于分析电化学储能系统的工程应用。
(2) 宏观尺度的工程实践,比如系统工程角度的多孔电极建模与仿真。朝宏观尺度方向发展,一方面可使其更加简单易用,有利于分析电化学储能系统的工程应用,另一方面却使其物理化学含义愈发模糊,不利于研究电化学储能系统的机理。
(3) 多尺度的系统分析,比如超级电容器多孔电极的多尺度EIS模型。朝多尺度方向发展,理论上可使多尺度模型较好地解决宏观尺度模型和微观尺度模型固有的局限性,然而,多尺度模型在实践中尚处于理论探索阶段,尤其在不同尺度的衔接上,目前成功的诊断案例并不多见。
多孔电极中电荷转移反应的EIS诊断,它依赖于多孔电极EIS模型的系统仿真和辨识。具体而言,这不仅要求多孔电极EIS模型可以准确地仿真电化学储能系统,而且还要求测试所得EIS数据能成功地进行系统辨识。前者要求多孔电极EIS模型中包含电化学储能器件的核心参数,后者要求能从EIS响应中辨识出电化学储能器件的核心参数。一般而言,EIS对储能器件内部属性和外部参数的敏感性,这使EIS服务于电荷转移反应诊断成为可能,但同时导致了EIS服务于电荷转移反应诊断的复杂性。因此,为了成功实现电化学储能器件中电荷转移反应的EIS诊断,首先需要全面把握电极材料本体属性、材料界面参数和材料微观结构如何影响EIS响应输出,同时借助EIS响应的输出特征揭示其电荷转移反应机理。
3 本文亮点
在电化学能源存储与转换领域,通常借助EIS来理解多孔电极中电荷传导反应。为了发挥EIS诊断能力,需要建立多孔电极EIS模型。多孔电极EIS模型涉及如下几个关键问题和假设。
(1) 欧姆电阻。除电解质离子电阻R2,是否需要考虑电极基体的电子电阻R1?这取决于多孔电极中电极基体电子电导率σ1和孔隙电解质离子电导率σ2的相对大小。
(2) 界面行为。除电容行为特性,是否需要考虑电极基体和孔隙电解质界面电荷传递电导gct?这取决于电极基体和孔隙电解质界面是否存在法拉第过程。
(3) 阻碍因子。除界面的电容和电导行为,电极基体和孔隙电解质界面反应的先导过程是否需要考虑?这取决于在电极基体先导过程存在的极化阻力是否大到不可忽略(相对于界面极化阻力)。
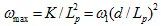
(4) 同态平均。除平板电极面积A、多孔电极厚度d和单位体积界面面积Sc,是否需要考虑其中特征孔深Lp?这取决于对应于最小特征孔尺寸的特征频率ωmax与有限场扩散特征频率的相对大小。
(5) EIS响应特征。除考虑从电荷传导区到质量输运区的转折频率fk1和从质量输运区到电荷饱和区的转折频率fk2,还需考率对应于最小特征孔尺寸的特征频率ωmax、电极基体/孔隙电解质界面特征频率ω0、有限场扩散特征频率ω1、电极基体固相扩散特征频率ω2和孔内有限扩散特征频率ω3等。
下文不仅详细定义并具体解释同态均相多孔电极的九个表征参数,而且还引出多孔电极EIS的七个特征参数,同时我们还将厘清EIS推导过程中不规范的数学表述,以便读者理解多孔电极EIS的物理化学本质,从而更好地发挥EIS在多孔电极诊断中的功效。
3.1 多孔电极的结构示意图
如图1所示,面积为A的平板多孔电极。电极基体孔隙中充满电解质,电极厚度为d,x和t分别为多孔电极内位置和时间变量,ϕ1(x,t)和ϕ2(x,t)分别为电极基体和孔隙电解质的电势。在图1体积微元Adx内,和
分别表示电极基体和孔隙电解质的欧姆电阻,r1=ρ1/A和r2=ρ2/A分别表示电极基体和孔隙电解质单位长度的欧姆电阻;
和
表示电极基体/孔隙电解质界面电荷传递电导和界面电容,gct为界面单位长度电导,C1为界面单位长度电容。
图1 (A)多孔电极结构示意图;(B)多孔电极传输线模型。其中,d为电极厚度,x和t分别为位置和时间变量,ϕ1(x,t)和ϕ2(x,t)分别为电极基体和孔隙电解质的电势。
3.2 多孔电极的主控方程
基于图1,下面列出多孔电极主控方程。首先假设En为平衡极化,则电极基体/孔隙电解质界面过电势E(x, t)可定义为:
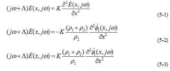
电极基体和孔隙电解质电荷守恒方程分别为:
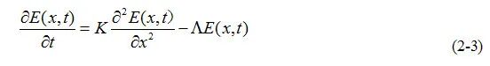
由式(1)、式(2-1)和式(2-2)可得:
上式中,K≡1/CSc(ρ1+ρ2)为多孔电极场扩散常数(field diffusion constant),为双电荷层特征频率
,C1=AScC为单位长度电容,C为单位面积电容,Sc为单位体积界面面积,ρ1(σ1)和ρ2(σ2)分别为电极基体和孔隙电解质电阻率(电导率)。r1=ρ1/A为单位长度电极基体电阻,r2=ρ2/A为孔隙电解质单位长度电阻。
3.3 多孔电极的阻抗模型
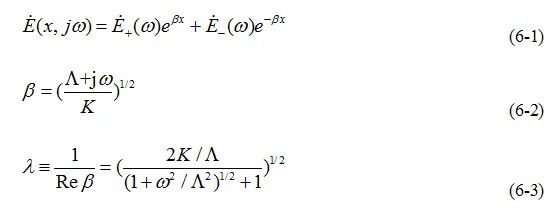
在上文主控方程基础上,下面推导多孔电极EIS模型。为了让推导过程更简洁更可读,下面采用相量法来推导多孔电极EIS模型。首先定义作用于多孔电极的复正弦交流信号:
假设多孔电极系统是线性和均匀的,在复正弦信号式(3-1)的激励下,主控方程组式(2)中E(x,t)、ϕ1(x,t)和ϕ2(x,t)的响应可分别表示为:
联立式(2)与式(4)可得:
由于复相量的引入,偏微分方程组式(2)被简化为微分方程式(5)。式(5-1)的通解为:
在式(6-3)中,λ为衰变长度。当λ<<d时,电极被称为厚电极;反之λ>>d时,电极被称为薄电极。可见从电池动力学性能和EIS响应来看,电极厚或者薄不是由电极的绝对厚度唯一确定的,而是取决于电极厚度与衰变厚度的相对大小。上述特点,导致EIS响应输出更富于变化,这加剧EIS解析的复杂性。
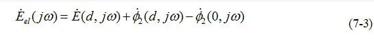
为了得到多孔电极的复阻抗表达式,需要计算出整个电极复电势降:
假设平衡极化En=0,在式(1)中令x=d可得:
联合式(7-1)和式(7-2)可得:
根据复阻抗的定义,多孔电极复阻抗Z(jω)可表示为:
为了得到Z(jω)最终表达式,需要计算出解析表达式。
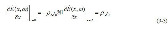
如图1所示,多孔电极在信号i(t)激励下,电极基体在x=0侧与孔隙电解质在x=d侧电流密度均为零;根据欧姆定律,电极基体在x=d侧与孔隙电解质在x=0侧电流密度均为j0。由此可得和
边界条件为:
联立式(7-2)和式(9)可得的边界条件:
结合边界条件式(9-3),可得微分方程式(5-1)通解:
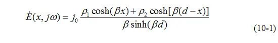
在式(10-1)中,令x=d可得:
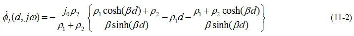
将式(10-1)代入式(5-2),结合边界条件(9-2)可解得:
在式(11-1)中,令x=d可得:
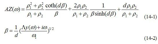
通常设置,将式(7-3)、(10-2)、(11-2)代入式(8),可得多孔电极阻抗表达式Z(jω):
上文根据衰变长度λ与电极厚度d定义了电极厚薄属性,下面进一步讨论电极厚薄。
(1) 当时,λ<<d成立,即为厚电极。更进一步,厚电极这一条件可重写为:当运行频率ω<<Λ时,只需ω1<<Λ;当ω>>Λ时,只需ω1<<ω/2。
(2) 当时,λ>>d成立,即为薄电极。更进一步,薄电极这一条件可重写为:当运行频率ω<<Λ时,只需ω1>>Λ;当ω>>Λ时,只需ω1>>ω/2。
上述规则,定量描述了厚电极和薄电极的参数条件,这为EIS的有效诊断与精细分析提供了有价值的参照系。需要说明一点,上述规则有适用范围,即要求频率不得高于最高频率,ωmax对应于最小特征孔尺寸,依赖于有限场扩散特征频率ω1。
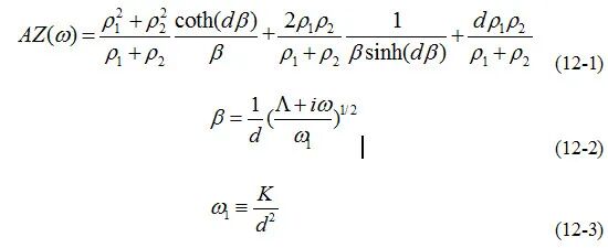
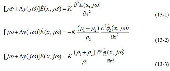
至此,在忽略界面电荷传递反应之前的阻碍因素条件下,同态多孔电极EIS模型已经建立。在电化学储能应用中,阻碍因素的影响有时候是不可忽略的,例如锂离子电池中锂的固相扩散行为以及嵌入/脱嵌,这些阻碍因素对界面电荷传递反应造成时间延迟效应。当y(jω)用来表示所假设的阻碍因素时,由于时域卷积作用与频域相乘等价,因此,在复频域,如图1(B)所示传递线性等效电路模型,Gct更改为y(jω)gctdx;在相应的频域方程中,Λ更改为кy(jω),式(5-1)~(5-3)被更新为:
此时,同样也可解得多孔电极EIS表达式为:
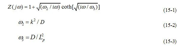
在透射性边界条件下,阻碍因素导纳模型y(jω)=1/Z(jω)可假定为:
式(15)中,ω2对应于电极基体内氧化还原反应特征频率,ω3对应于表面孔扩散的特征频率,k是氧化还原反应常数,D是活性材料扩散系数,Lp是特征孔深。
上文已经推导多孔电极EIS模型,定义了多孔电极EIS输入参数,并引入多孔电极EIS输出特征。下文将基于上文所得阻抗谱模型,进行数值计算分析,研究同态均相多孔电极内电荷转移反应。
4 图文解析
围绕多孔电极EIS模型的9个核心参数,定量地分析动力学参数及结构参数对电荷转移反应的影响,在不同电导率σ1:σ2之比条件下,借助于EIS的特征频率和分叉频率,深入讨论了多孔电极内电荷转移反应的耦合竞争效应。如果没有特别说明,本文所用参数的默认值如表1所示。下面,详细讨论扩散系数、电极厚度和单位体积表面积三个参数对对电荷转移反应的影响,其他参数的讨论参见原文。
表1 多孔电极EIS仿真时参数默认值
4.1 扩散系数D
扩散系数直接影响质量输运速度,下面定量分析电子电导率和固相扩散系数改变时,多孔电极内电荷转移反应的竞争效应。固定电导率σ2=σ0,改变σ1 =1σ0,10σ0,100σ0,再改变D=1D0,10D0,100D0,其他参数默认值如表1所示,由式(14-1)和式(14-2),计算多孔电极阻抗谱Nyquist图和Bode图,分别如图2和图3所示,其对应的EIS特征频率及参数如表2所示。
表2 电子电导率σ1和扩散系数D变化时多孔电极的EIS特征
图2 σ1给定,多孔电极阻抗随D的演变规律。σ1 = 1σ1时,(A)Z′-Z″图和(B)局部放大图;σ1 = 10σ1时,(C)Z′-Z″图和(D)局部放大图;σ1 = 100σ1时,(E)Z′-Z″图和(F)局部放大图;σ1 = 1σ1,10σ0,100σ0时,(G)|Z|-f图和(H)θ-f图。
图3 D给定,多孔电极阻抗随σ1演变规律。D = 1D0 时,(A)Z′-Z″图和(B)局部放大图;D = 10D0 时,(C)Z′-Z″图和(D)局部放大图;D = 100D0 时,(E)Z′-Z″图和(F)局部放大图;D = 1D0,10D0,100D0 时,(G)|Z|-f图和(H)θ-f图。
由图2、图3和表2可知,在σ1和D变化时,电荷转移反应所对应EIS具有如下规律:
(1) D相对固定而σ1变化。当D=1D0而σ1变化时,多孔电极电荷转移反应所对应的EIS演变规律及其对应EIS特征,详细阐述参见原文。
(2) σ1相对固定而D变化。当D从1D0增至100D0时:
① 场扩散常数K、特征频率ω0、ω1和ωmax,这些特征参数均不变,表示与上述特征参数相关的过程不受固相扩散系数D变化的影响。
② 特征频率ω2和ω3以及fk1和 fk2,这些特征参数均受影响,ω2减小1000倍,ω3增加1000倍,fk1从0.195Hz减至0.054Hz,fk2逐渐增大直至消失。
③ 高频半圆弧几乎不受影响,主要影响介于电荷传导区与输运饱和区之间的扩散区,当D增加到100D0时,质量输运足够快,扩散区完全消失,动力学过程直接从电荷传导区进入电荷饱和区。
(3) σ1和D同时变化。当多孔电极σ1和D同时变化,由此引起电荷转移反应的竞争效应比较复杂,其EIS响应特征为:
①D取不同值时σ1变化对电荷转移反应的影响。当D=1D0,10D0,100D0时,fDσ几乎不变,近似保持在1.4Hz,即σ1从1σ0增加到100σ0,主要影响EIS频率区(f > fDσ =1.4Hz),几乎不影响EIS频率区(f < fDσ =1.4Hz),分叉频率 fDσ近似与D无关。
② σ1取不同值D变化对电荷转移反应的影响时。当σ1=1σ0,10σ0,100σ0时,D从1D0增加到100D0,fσD几乎不受σ1影响,即σ1=1σ0,10σ0,100σ0条件下,D变化影响EIS低频区(f < fDσ=6.5Hz)。
4.2 电极厚度d
电极厚度影响电荷粒子移动距离,下面定量分析σ1和d变化时,多孔电极内电荷转移反应的竞争效应。固定电导率σ2 =σ0,改变σ1=1σ0,10σ0,100σ0,再改变d=1d0,3d0,9d0,其他参数默认值如表1所示,由式(14-1)和式(14-2),计算多孔电极阻抗谱Nyquist图和Bode图,分别如图4和图5所示,其对应的EIS特征频率及参数如表3所示,其变化规律如下:
(1) d相对固定而σ1变化。当d=3d0而σ1变化时,多孔电极电荷转移反应所对应的EIS演变规律及其对应EIS特征,参见原文的阐述。
(2) σ1相对固定而d变化。当d从1d0增至9d0时:
① 不影响K特征频率ω0、ω2、ω3、ωmax、fk1和fk2。这些特征参数均不变,表明与上述特征参数相关的过程不受电极厚度d的影响。在上述八个输入参数中,d对特征频率参数的影响最小。
② 仅仅影响场特征频率ω1。在σ1=1σ0,10σ0,100σ0条件下,当电极厚度增至9倍时,对应的特征频率ω1降至1/81。
③ 尽管高频半圆弧随厚度的增加而逐渐减小,即EIS的形状大小改变,但是其形状特征基本保持不变,换言之,电极厚度的变化,没有影响电荷转移反应过程的相对快慢。
(3) σ1和d同时变化。当σ1和d同时变化,由此引起电荷转移反应的竞争效应比较复杂,其EIS响应特征为:①d取不同值时σ1变化对电荷转移反应的影响。当d=1d0,3d0,9d0时,分叉频率分别为fdσ=6.5Hz,1.41Hz,不存在,可见多孔电极愈厚,σ1变化时影响其EIS频率范围愈广,程度愈深,即对电荷转移反应的影响愈大。②σ1取不同值d变化对电荷转移反应的影响。当σ1=1σ0,10σ0,100σ0时,d从1d0增至9d0,fσd不存在,即在不同σ1=1σ0,10σ0,100σ0条件下,d影响EIS整个频率区间。
图4 σ1给定,多孔电极阻抗随d演变规律。σ1 = 1σ0时,(A)Z′-Z″图和(B)局部放大图;σ1 = 10σ0时,(C)Z′-Z″图和(D)局部放大图;σ1 = 100σ0时,(E)Z′-Z″图和(F)局部放大图;σ1 = 1σ0,10σ0,100σ0时,(G)|Z|-f图和(H)θ-f图。
图5 d给定,多孔电极阻抗随σ1演变规律。d = 1d0时,(A)Z′-Z″图和(B)局部放大图;d = 3d0时,(C)Z′-Z″'图和(D)局部放大图;d = 9d0时,(E)Z′-Z″图和(F)局部放大图; d = 1d0,3d0,9d0时,(G) |Z|-f图和(H)θ-f图。
表3 σ1和d变化时多孔电极的EIS特征
4.3 单位体积表面积Sc
单位体积表面积Sc对多孔电极电荷转移反应的影响是全方位的,下面定量分析σ1和Sc的变化对多孔电极电荷转移反应的影响。固定σ2=σ0,改变σ1=1σ0,10σ0,100σ0,再改变Sc=1S0,3S0,9S0,其他参数默认值如表1所示,由式(14-1)和式(14-2),计算多孔电极阻抗谱Nyquist图和Bode图,分别如图6和图7所示,其对应的EIS特征频率及参数如表4所示,其变化规律如下:
(1) Sc相对固定而σ1变化。当Sc=1S0而σ1变化时,多孔电极电荷转移反应所对应的EIS演变规律及其对应EIS特征,详细阐述见原文。
(2) σ1相对固定而Sc变化。当Sc变化时,①不受影响的特征参数:ω0、ω2、ω3和fk1和fk2均不变,表明与上述特征参数相关的过程不受Sc的影响;
② 受影响的特征参数有K、ω1和ωmax。当Sc从1S0增加到9S0时,K降至初始值的1/9,而ω1和ωmax增加至初始值9倍,这表明增加Sc,不仅有利于多孔电极系统的场扩散,而且还提高了EIS测试的上限频率。
③ 严重影响高频半圆弧的大小,Sc变化影响场扩散系数K,也影响界面电荷传导反应,Sc是影响多孔电极的重要变量。
(3) σ1和Sc同时变化。当多孔电极σ1和Sc同时变化,由此引起电荷转移反应的竞争效应比较复杂,其EIS响应特征为:
① Sc取不同值时σ1变化对电荷转移反应的影响。当Sc=1S0,3S0时,分叉频率近似保持不变fSσ=1.4Hz,此时,σ1从1σ0增加到100σ0,主要影响高频区(f>fSσ=1.4Hz),几乎不影响低频区(f<fSσ=1.4Hz),当Sc=9S0时,分叉频率fSσ不存在。
② σ1取不同值Sc变化对电荷转移反应的影响。当σ1=1σ0,10σ0,100σ0时,Sc从1S0增加到9S0时,分叉频率fSσ不存在,即Sc对全频率范围EIS有影响。
图6 σ1给定,多孔电极阻抗随Sc的演变规律。σ1 = 1σ0时,(A)Z′-Z″图和(B)局部放大图;σ1 = 10σ0时,(C)Z′-Z″图和(D)局部放大图;σ1 = 100σ0时,(E)Z′-Z″图和(F)局部放大图;σ1 = 1σ0,10σ0,100σ0时,(G)|Z|-f图和(H)θ-f图。
图7 Sc给定,多孔电极阻抗随σ1演变规律。Sc = 1S0时,(A)Z′-Z″图和(B)局部放大图;Sc = 3S0时,(C)Z′-Z″图和(D)局部放大图;Sc = 9S0时,(E)Z′-Z″图和(F)局部放大图;Sc = 1S0,3S0,9S0时,(G)|Z|-f图和(H)θ-f图。
表4 σ1和Sc变化时多孔电极的EIS特征
5 总结与展望
本文不仅讨论了多孔电极核心输入参数对EIS响应过程的影响,而且还研究了EIS输出特征频率所反映的电荷转移反应的耦合竞争,全文研究结论如下:
(1) 厘清了传统多孔电极EIS模型推导中的模糊性表述。在传统多孔电极EIS模型推导中,激励信号与响应信号表述不规范,EIS模型推理过程不清晰,由此导致了多孔电极EIS模型理解的困难。本文采用电路理论中复相量方法,重新推导同态多孔电极EIS模型,厘清了先前模型推理中表述的模糊性。
(2) 基于所推导的同态多孔电极EIS模型,定量分析了动力学参数和微观结构参数对EIS的影响,由此揭示了多孔电极内电荷转移反应的耦合竞争。具体而言,在参数X和Z同时改变条件下,先从EIS特征参数的变化来判断电荷转移反应的影响程度,再从分叉频率fXZ和fZX的位置分析其影响深度和广度,最后从两者的依赖性和存在性来判断参数X和Z在电荷转移反应中的耦合竞争。
(3) 建立了一个相对完整的EIS诊断范例。从物理电化学原理到EIS模型,从模型输入参数到输出参数,从输出参数到电荷转移反应耦合竞争,从诊断结果到工程实践的设计,本文展示了一个完整的诊断范例,微观上考虑了动力学参数和微观结构参数对多孔电极电荷转移反应的影响,宏观上分析了谱图形状的变化以及背后的特征频率演化。
上述研究成果可为EIS的系统仿真和辨识提供理论基础,为分析多孔电极内电荷转移反应的竞争效应提供技术支撑,为优化设计电化学储能系统提供诊断工具。
课题组介绍
◆ 电化学阻抗谱@人工智能团队(EIS@AI Group),团队负责人黄秋安博士,现为上海大学理学院/可持续能源研究院副教授,博士生导师。
◆ 在张久俊院士的统筹规划下,EIS@AI Group主要从事EIS理论建模、快速测试与智能诊断,服务于电化学能源存储与转换技术。
◆ 热忱欢迎有志于EIS@AI研究的青年学子加入本课题组,开展硕士生、博士生以及博士后阶段的研究工作。英雄不问出处,工作地点可选(上海大学或者福州大学)。
◆ 课题组网站:
https://www.x-mol.com/groups/HuangQiu-An
引用格式:
李响, 黄秋安, 李伟恒, 白玉轩, 王佳, 刘杨, 赵玉峰, 王娟, 张久俊. 宏观均相多孔电极电化学阻抗谱基础[J]. 电化学, 2021, 27(5): 467-497.
Xiang Li, Qiu-An Huang, Wei-Heng Li, Yu-Xuan Bai, Jia Wang, Yang Liu, Yu-Feng Zhao, Juan Wang, Jiu-Jun Zhang. Fundamentals of Electrochemical Impedance Spectroscopy for Macrohomogeneous Porous Electrodes[J]. Journal of Electrochemistry, 2021, 27(5): 467-497.
DOI:
10.13208/j.electrochem.201126
http://electrochem.xmu.edu.cn/CN/10.13208/j.electrochem.201126
点击文末“阅读原文”免费下载、浏览PDF全文。
相关推荐
初学者必看——厦门大学詹东平教授团队《扬帆启航:电化学实验初步》
讲座分享 | 武汉大学陈胜利教授:电化学阻抗谱基础、应用及测试
关于我们
微信公众号
电化学期刊