1922 年 9 月 22 日,杨振宁出生于安徽合肥。按照中国传统,这位物理学大师在 2021 年 9 月迎来了自己的农历百岁诞辰。杨振宁 22 岁赴美留学,32 岁与罗伯特·米尔斯合作发表了“杨-米尔斯规范场”论,35 岁与李政道一起因宇称不守恒理论获得诺贝尔物理学奖,81 岁正式回国成为清华大学全职教授。他与麦克斯韦、爱因斯坦、费米、陈省身等大师一起,谱写了当代数学与物理学在纠缠、分合中不断发展的传奇。
这篇杨振宁 2008 年发表的演讲稿,将百年间数学与物理的分与合呈现在了我们面前。
2021 年 9 月 22 日,杨振宁在清华大学举行的“杨振宁先生学术思想研讨会——贺杨先生百岁华诞”上讲话。图片来源:清华校友总会
撰文 杨振宁
在中国的传统里大家讲“书画同源”,就是说书法跟绘画是从一个源头来的;那么我们也可以说,数学跟物理历史上也是同源的。比如说微积分,当然大家知道是数学里头一个关键性的基本发展,它是从牛顿在万有引力的研究里头发展出来的。事实上,牛顿在研究万有引力定律的时候,中间发生了一个数学问题,他为解决这个数学问题,花了不止十年的功夫。而解决的方法,就是后来的微积分。
数学分析(mathematical analysis),跟动力学(dynamics),也是一起发展的:在牛顿的工作以后,数学家跟物理学家要研究行星、研究卫星(比如说月亮)、研究潮汐的规律的时候,把牛顿所发展的微积分跟万有引力定律再发展出来。一些大数学家,像拉普拉斯(Pierre-Simon Laplace)和拉格朗日(Joseph-Louis Lagrange),发展了数学分析和动力学,所以这两个学科也是一起成长的。
可是19世纪末以来,数学变得越来越抽象。1961年有一个有名的美国数学家,叫做马歇尔·斯通(Marshall Stone)。我在芝加哥大学做研究生的时候,他是芝加哥大学数学系的主任,他把芝加哥大学数学系的地位给大大地提高了。所以现在芝加哥大学的人说,那个时候,上世纪50年代、60年代初在芝加哥是马歇尔·斯通时代。他在1961年发表了一篇半通俗的文章,其中讲了这么几句话:“自1900年起数学跟我们对于数学的一些观念,出现了非常重要的变化(他所谓出现了非常重要的变化,就是越来越抽象),其中最富革命性的发展是原来数学完全不涉及物理世界。”再清楚一点说(这还是他的话),“数学与物理世界完全没有关联。”他讲的这个话确实是当时数学发展的整个趋势。当时数学发展就是要研究一些数学结构之间互相的、非常美的、非常妙的关系,这是当时数学思想的主流。所以在20世纪的中叶,数学跟物理是完全分家了。
这个半世纪以前的情形,与今天已经大大地不一样了。我要跟大家谈的,就是这个分开的关系怎么又合了起来。要谈这件事情我们要回到麦克斯韦(James Clerk Maxwell)。麦克斯韦是19世纪最伟大的理论物理学家。他在19世纪的中叶写下了有名的麦克斯韦方程式。
他把以前关于电与磁的四个实验定律写成了四个数学方程式(下图)。这些方程式是今天电的时代,无线电时代与网络通讯时代的基础。没有这些方程式,人类今天的生活不可能是今天的样子。
△ 麦克斯韦方程式
1915年到1916年,爱因斯坦发表了广义相对论,把引力理论变成一个几何化的理论。文章发表了以后,他又写出文章,说另外还有一种力量,即电磁力(electromagnetism),也必须要几何化。
一两年以后,有一个数学家叫做赫尔曼·魏尔(Hermann Weyl),响应了爱因斯坦这个号召。魏尔大家公认,是20世纪最伟大的几个数学家之一,他的工作领域是纯粹数学,是非常抽象的。可是他大胆提出来一个关于电磁学的理论。
我于1949年到普林斯顿高等研究院做博士后,那个时候他是高等研究院的一个教授,所以我见过他多次。可是那个时候我所发生兴趣的、我同辈的物理学家们所发生兴趣的领域,都跟当时赫尔曼·魏尔发生兴趣的数学没有关系,所以我们跟他只是在鸡尾酒会上有一些交谈。在我的记忆之中,我从来没有和他谈过一些学术上的问题。
在1918年、1919年的时候,魏尔发表了几篇文章,他认为他想出来了一个办法能够把电磁学几何化。他先讨论平行移动。这是爱因斯坦的几何中一个重要观念。平行移动是什么意思呢?
假如我在平面上画一个圈,从A这一点走回来。在A这一点上我画一个向量(一个箭头),然后当我走的时候,尽量使得那个向量平行于自己,这样走回来,当然它还是在原来的方向。可是这只是因为我是在平面上。假如我是在一个曲面上,比如说在一个球面上画一个圈,从一个原点A出发,在那个地方放一个向量,然后尽量使得这个向量在移动的时候跟自己平行,那么你可以想象,转了一圈回来以后,向量就不一定跟原来的方向一样了。所以在一个曲面上,经过平行移动的向量未必回到它原来的方向。
于是魏尔问,“Warum nicht auch seine Lnge?”(德语:为什么长度不能也这样?)假如是这样,“一个向量的长短为什么不也可以改变?”也就是说,如果让向量的长短也在移动中继续不断地改,那么回到原来的A点,既然向量的方向可以不一样了,为什么它的长短不可以也不一样了?这是他的关键想法。为了贯彻此想法他,说在下图中,自A到B,一路上尺的长短都在继续改,改的因子如图上面所示,他给此因子起了一个很长的名字,翻译出来应是“比例因子”。他说此因子中的φμ应为电磁势eAμ。然后他说虽然移动一圈回来有些量改了,但是仍有一些不改的量,这些不改的量才是真正电磁现象,这样他就给了电磁现象一个几何意义。
魏尔把他的理论叫做Masstab Invarianz(尺度不变)理论。这个名词后来被翻译成Gauge Invariance(规范不变)。
他把他的文章投到德国普鲁士科学院(Prussian Academy)去发表。普鲁士科学院请爱因斯坦审稿。爱因斯坦一针见血地指出一个大问题。他说我在A放一样长的两个尺,一个尺从一个路径走到B,另外一个尺从另外一个路径走到B,根据魏尔的讲法,到了B的地方,这两个尺就不一定一样长了。那么本来是标准尺,后来哪个算是标准尺呢?没法做标准尺,就不能做任何物理实验,整个物理学就要垮台。这真是一针见血的批评。
非常幸运的是,编者们依然把魏尔的文章发表了,后面加了爱因斯坦的后记,提出他的批评。然后又请魏尔写了一个后后记放在最后面。在这后后记里头魏尔怎么讲法呢?后后记很短,只是一段,说爱因斯坦所讲的意思跟他讲的不一样。可是他没讲清到底是怎么不一样法。他以后又写了好多文章,都是哲学讨论,没有公式。显然,他对于他的想法仍然热衷,可是他始终不能够响应爱因斯坦的反对。
6年以后,量子力学的发展把这个问题解决了。量子力学跟刚才讲的发展,本来是没有关系的。量子力学是人类历史上一个大革命,发展以后,发现基本物理里头要用到。在座念过高中数学,恐怕还记得有这个i。它在量子力学以前,在物理里头也出现过,可是不是基本的,只是一个工具。到了量子力学发展以后,它就不只是个工具,而是一个基本观念。为什么基础物理学必须用这个抽象的数学观念:虚数i,现在没有人能解释。底下我还要回到这一点上。
量子力学发展于1925年~1926年。一两年以后,弗拉基米拉·福克(Vladimir Fock)在前苏联,弗里茨·伦敦(Fritz London)在德国,分别指出魏尔当初那个很长名字的因子中,得加一个i上去。
加了一个i以后,本来是一支尺的长短变化,现在不是长短变化,而是相位变化,所以魏尔的因子就变成了phase因子(相位因子)。加了i以后,魏尔的想法与电磁学完全符合,就变成1929年以来大家完全同意的理论。当然有了i,Gauge Theory(规范理论)其实应该改为新名:Phase Theory(相位理论),规范不变理论也应改为新名:相位不变理论,可是因为历史关系,大家今天都仍然沿用旧名。
长短变化改为相位因子变化以后,爱因斯坦的反对理由也就不存在了。
1929年以后,大家同意以规范理论的观点来看电磁现象是很漂亮的数学观点,可是并没有引出任何新物理结果。
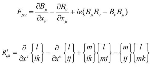
1946年~1948年我是美国芝加哥大学的研究生,对魏尔的规范不变理论之美妙十分欣赏。我尝试把它推广,把电磁势Aμ推广为2x2的方阵Bμ。这个想法引出头几步的计算,很成功,可是推广到电磁场Fμν时却导出了冗长的丑陋的公式,使得我不得不把此想法搁置下来。
以后几年许多新的基本粒子被发现,它们之间的相互作用成了热门题目。我想规范不变性也许是一个普遍的相互作用原则,所以又回到上面提到的推广魏尔的规范不变理论来。这次遇到了同样的困难,同样于尝试以后只得再放弃。如此每一两年重复一次,却都没有进展。
1953年~1954年我在美国布鲁克黑文国家实验室(Brookhaven National Laboratory)访问一年,和一位年轻的物理学家罗伯特·米尔斯(Robert Mills)共享一个办公室。我们一块讨论此问题。当然又遇到了同样的困难。不过这次我们没有放弃,而尝试将推广电磁场Fμν时的公式稍微修改一下。这个想法果然灵,数天以后,用了下面的公式,所有冗长的计算都自然化简了,得到了一个极美的、极简单的理论!这就是现在被称为“非阿贝尔规范理论”的雏形。
△规范理论中的一个公式
我们的理论于1954年发表,可是它不能被当时关于新粒子的实验结果证实。要等到十多年以后,通过好多人的工作,引进来了另一个新的观念,叫做“对称破缺”。把对称破缺跟非阿贝尔规范理论合在一起,才跟实验对上口。以后几十年,上千个实验,证实这个理论跟实验完全符合。它今天被称为标准模型,是基础物理学里头一个重要基石。今年在瑞士日内瓦即将建成的大加速器LHC就是最新的研究标准模型的大设备。
在70年代我总结了这一切发展的精神,说这是“对称支配相互作用”(Symmetry Dictates Interaction):因为规范不变其实是一种对称,一种与圆的对称、晶体的对称、左右对称等观念类似,但是是更深入、更抽象的对称。
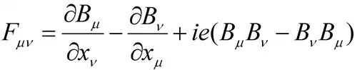
1969年我在美国纽约州立大学石溪分校教书的时候,教了一个学期广义相对论。有一天我在黑板上写下了广义相对论中有名的黎曼张量公式。当时我就想它有点像我所熟悉的上面那个公式。下课后把二者仔细对比,最后发现原来二者不只是像,而是完全相同,假如把一些数学符号正确地对应起来的话。
△上面是规范理论公式,下面是广义相对论中的黎曼张量公式,两者完全相同
这个发现使我震惊:原来规范理论与广义相对论的数学结构如此相似!我立刻到楼下数学系去找系主任吉姆·赛蒙斯(Jim Simons)。他是我的好朋友,可是那以前我们从来没有讨论过数学。那天他告诉我,不稀奇,二者都是不同的“纤维丛”,那是20世纪40年代以来数学界的热门新发展!
后来赛蒙斯花了两个多星期的功夫,给我们几个物理学家讲解纤维丛理论。学到了纤维丛的数学意义以后,我们知道它是很广很美的学问,而电磁学中的许多物理观念原来都有纤维丛的对应观念。于是1975年吴大峻和我合写了一篇文章,用物理学的语言,解释电磁学与数学家们的纤维丛理论的关系。文章中我们列出了一个表,是一个“字典”。表中左边是电磁学(即规范理论)名词,右边是对应的纤维丛名词。
字典中左边有一项“源”,右边没有对应,因为赛蒙斯说纤维丛理论中没有这个观念。后来美国麻省理工学院的数学家伊萨多·辛格(Isadore Singer)来纽约州立大学石溪分校访问,我和他谈了此事。他随后去英国牛津大学,带了吴大峻和我的文章,与迈克尔·阿提亚(Michael Atiyah)和奈杰尔·希钦(Nigel Hitchin)写了一篇关于无“源”的文章。因为他们在数学界的名望,规范场与纤维丛的密切关系很快即传遍数学界,从而引起了以后这些年物理与数学重新合作的高潮。
20世纪80年代开始,赛蒙斯辞了石溪分校的位置,转而进入华尔街,成了最成功的对冲基金主持人。2001年聂华桐和我请他夫妇到北京清华大学访问,那是他们第一次访问中国。回去后他们夫妇慨捐一百多万美元给清华建了一座“陈赛蒙斯楼”。陈是陈省身教授(1911~2004),是数学大师,曾和赛蒙斯合写一篇关于陈-赛蒙斯不变式(Chern-Simons Form)的文章,现在在物理中极有重要性。
陈省身先生在20世纪30年代曾是我父亲的学生,抗战时期在昆明西南联大我又曾是他的学生。他在纤维丛理论里面曾做过重要的奠基性的工作。我在1980年发表的一篇文章里说(译自英文):
1975年,规范场就是纤维丛上的联络的事实使我非常激动。我驾车去陈省身在伯克利附近埃塞利托(El Cerrito)的家〔1940年初,当我是国立西南联大的学生,陈省身是年轻教授的时候,我听过他的课。那是在陈省身推广高斯-包乃特定理(Gauss-Bonnet Theorem)和“陈氏级”的历史性贡献之前,纤维丛在微分几何中还不重要〕。我们谈到朋友们、亲戚、中国。当我们谈到纤维丛时,我告诉他我从赛蒙斯那里学到了漂亮的纤维丛理论以及深奥的陈省身-韦尔定理。我说,令我惊诧不止的是,规范场正是纤维丛上的联络,而数学家是在不涉及物理世界的情况下搞出来的。我又说:“这既使我震惊,也令我迷惑不解,因为,你们数学家居然能凭空想出这些概念。”他立即反对说:“不,不,这些概念不是凭空想出来的。它们是自然而真实的。”
今天没有人会再说“数学与物理世界完全没有关联”了。可是为什么“自然而真实”的、与物理世界本来无关的数学观念,是这样的“对称”,而且从而“支配”了宇宙间一切基本“力量”,恐怕将是永远不解之谜。
本文原载于《环球科学》2008 年第 10 期,来自微信公众号“科研圈”。如需转载,请在“科研圈”后台回复“转载”,或通过公众号菜单与我们取得联系。相关内容禁止用于营销宣传。