撰文|倪忆
2021年3月30日,小米科技发布了据称耗时三年、耗资二百万元设计而成的新logo,见下图:
雷军揭示小米新logo
小米掌门雷军用汉味普通话表示,这绝对不是把形状从方的变成圆的,而是整个品牌的内在精神和气质发生了巨大的变化。
新logo的设计者,日本平面设计大师原研哉
然而许多网友并不买账,大呼雷军上当了。网上随之出现了各种梗图,来,考验一下你的眼力:
图片来自微信朋友圈
连老罗都因为神似设计大师而蹭了一波热度:
图片来自微博
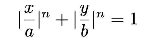
在小米同时发布的视频里,原研哉大师解释了新logo的外框曲线并不是他随手画的,而是有数学基础的,是在方程
里令n=3得到的曲线。
原研哉大师解释新logo的外框曲线
这条曲线最早可以追溯到17世纪的法国数学家费马(Pierre de Fermat,1607—1665)。费马是一位生活在法国图卢兹市的律师,他对数学的许多领域都有着奠基性的贡献。他是解析几何和概率论的创始人之一,是微积分的重要先驱,并且是第一个系统研究数论的近代学者。通常把费马称为“业余数学家之王”。但那个年代其实许多数学家都有非数学的正式工作,像牛顿就当过皇家造币厂的厂长。职业数学家这一群体要到19世纪才会随着研究型大学一起出现。从这个意义上说,费马就是一位数学家,没有必要加上“业余”二字。
图卢兹市政厅内的费马像
费马最著名的事迹是提出费马大定理,即方程
当n是一个大于2的整数时没有正整数解。费马声称得到了一个绝妙的证明,但页面空白太小写不下。这个“绝妙证明”存在的可能性当然微乎其微。费马大定理直到1994年才由普林斯顿大学的怀尔斯(Andrew Wiles)所证明,而怀尔斯的证明使用了现代数学很多领域的新成果,是费马完全无法想象的。
左起:怀尔斯、霍金、彭罗斯。彭罗斯获诺贝尔物理学奖后,牛津大学官方发布此照片,但把怀尔斯截掉了。(图源:牛津大学)
研究费马大定理的一个途径,就是作变量替换
这样原方程变形为
费马大定理就是说这个新方程没有正有理数解。
由于这一缘故,方程
所定义的曲线被称为费马曲线,其中n是一个大于2的整数。
费马曲线的方程跟前面说的
略有差异。当x和y都是非负实数时,两个方程是一样的。除了绝对值符号的差别以外,如果仔细看原研哉大师的视频,会发现其中的指数n不一定是整数,可以是2.5这样的小数。
由方程
所定义的曲线被称为超椭圆或者拉梅曲线,其中n是正实数。(更一般的超椭圆是由方程
定义的曲线。)这种曲线是19世纪法国数学家拉梅(Gabriel Lamé,1795—1870)引进的。(拉梅在1847年给出了费马大定理的一个证明。然而,德国数学家库默尔(Ernst Kummer,1810—1893)指出拉梅的证明错误地假设了唯一分解定理在分圆域中仍成立。为了得到分圆域中唯一分解定理的正确形式,库默尔引入了“理想数”这一概念,深刻地影响了代数和数论的发展。)
我们知道,根据勾股定理,欧氏平面上一点(x,y)到原点的距离公式是
如果把这里的指数2改成一个大于或等于1的实数n,就得到一个新的距离公式
这样定义的到原点的距离被称为n-范数或者Ln-范数。而超椭圆
就是n-范数为1的点的集合。
当n=1的时候,超椭圆是一个对角线跟坐标轴重合的正方形。当n=2的时候,超椭圆就是单位圆。随着n的增加,超椭圆会变得越来越“胖”,越来越趋向于一个各边跟坐标轴平行的正方形。
n从1增加到20时,超椭圆的变化
超椭圆是各类设计的常客,原研哉绝非第一个使用它的设计师。例如瑞典斯德哥尔摩Sergels Torg广场上的转盘和墨西哥阿兹特克体育场的外观都采用了超椭圆的形状。
Sergels Torg广场上的转盘(图源:维基百科)
墨西哥阿兹特克体育场曾举办过1970年和1986年世界杯足球赛决赛,见证了贝利和马拉多纳的登基,以及马拉多纳的世纪进球。(图源:golazomexicano.wordpress.com)
在IT领域,被誉为有史以来最伟大的计算机程序员的高德纳(Donald Knuth)用椭圆和超椭圆设计了Computer Modern字体。苹果iOS操作系统从iOS 6起的图标采用了超椭圆形状。所以小米的logo改变,算是程序员出身的雷布斯向计算机前辈们的致敬吧!
Computer Modern字体(图源:维基百科)
iOS 6 桌面(图源:维基百科)
相关推荐
近期热文
点个
在看
你最好看
点击下方“阅读原文”/"Read more"参与留言