撰文|倪忆
又到了一年一度的诺贝尔奖颁奖季。众所周知,诺贝尔奖根据瑞典化学家和企业家阿尔弗雷德·诺贝尔(Alfred Nobel,1833—1896)的遗嘱设立,颁发给物理、化学、生理学或医学、文学、和平五个领域。然而,诺贝尔奖中没有数学奖,这与数学在科学中的地位严重不符。
诺贝尔奖章
关于诺贝尔为什么不设立数学奖,坊间有许多猜测,大部分都将矛头指向瑞典数学大师米塔格-列夫勒(Gösta Mittag-Leffler,1846—1927)。颇为流行的一个说法是,米塔格-列夫勒年轻时曾经横刀夺爱,抢走了诺贝尔的妻子,让诺贝尔怀恨在心。诺贝尔知道,以米塔格-列夫勒在瑞典数学界的地位,一旦设立诺贝尔数学奖,米塔格-列夫勒必然会获奖。所以他就不设立诺贝尔数学奖。
老年的米塔格-列夫勒
这个说法很容易证伪,因为诺贝尔终身未婚。于是又衍生出了一些新的传言,比如说把诺贝尔的妻子改成诺贝尔的恋人,或者就干脆不涉及男女关系,直接说两人在瑞典皇家科学院共事期间产生了矛盾。这些传言都没有什么确切证据。诺贝尔在1884年当选为瑞典皇家科学院院士,在1893年被瑞典乌普萨拉大学授予荣誉博士学位。但除此之外,诺贝尔跟瑞典科学界来往并不多。诺贝尔少年时在俄国度过很多年,成年后大部分时间定居在法国巴黎,后来又搬到意大利圣雷莫,在瑞典往往只是短暂停留。诺贝尔晚年倒是经常居住在瑞典,但他住在其军工厂所在地卡尔斯库加,离斯德哥尔摩有二百多公里。可以说,诺贝尔与米塔格-列夫勒的交集非常小,很难有发生矛盾的空间。
诺贝尔不设立数学奖的原因,很可能就是他对数学不感兴趣。诺贝尔是一个实验化学家,数学在他的科研中没有起到关键作用。而且诺贝尔对应用科学更关注,数学在他看来可能仅仅是工具。把不设立数学奖的原因归结到私人矛盾,是把诺贝尔和米塔格-列夫勒这两位伟大科学家庸俗化了。
一个俄国女孩的数学路
空穴来风,非是无因。米塔格-列夫勒跟诺贝尔之间的交往,还真的和一个女人有关。这个女人,就是俄罗斯数学家索菲亚·柯瓦列夫斯卡娅(Sofia Kovalevskaya,1850—1891)。
柯瓦列夫斯卡娅原姓柯文-克鲁科夫斯卡娅(Korvin-Krukovskaya),出生于俄罗斯的一个贵族家庭。童年时,她房间的墙纸是父亲读书时用过的奥斯特罗格拉茨基(Mikhail Ostrogradsky,1801—1862)的微积分讲义,索菲亚被上面奇怪的公式与符号迷住了,经常花几个小时观看,苦苦思索其中的含义。她的数学天赋很快显露出来,14岁时便自行发现了三角函数,被家庭教师比作帕斯卡(Blaise Pascal,1623—1662)。
索菲亚·柯瓦列夫斯卡娅
在当时的俄罗斯,女孩子是不可能上大学的,她只能到国外接受高等教育。要想出国,她必须有父亲或者丈夫的书面同意,而且社会习俗也不允许未婚女性独自出国。当时许多女孩用假结婚的办法来出国,索菲亚也采取了这一方式,跟一位名为柯瓦列夫斯基(Vladimir Kovalevsky,1842—1883)的激进青年假结婚,两人于1869年到德国游学。
索菲亚先是在海德堡大学旁听,随后前往柏林师从维尔斯特拉斯(Karl Weierstrass,1815—1897)。柏林大学不允许女生听课,索菲亚只能接受维尔斯特拉斯的私人指导。她完成了三篇论文,在1874年取得哥廷根大学博士学位,成为现代历史上第一位女数学博士。在其中一篇论文里,索菲亚证明了偏微分方程的一个基本结果,把柯西(Augustin-Louis Cauchy,1789—1857)在1842年的工作推广到了最广泛的情形。这一结果后来被称为柯西-柯瓦列夫斯卡娅定理。
维尔斯特拉斯
获得学位后,索菲亚和丈夫回到俄国。他们的婚姻弄假成真,两人生了一个女儿。那个年代的女性几乎不可能在大学找到教职,所以索菲亚一度离开数学研究,到1880年左右才重新开始数学工作。1883年,柯瓦列夫斯基因财务危机而自杀。索菲亚决心换一个环境,于是她接受了米塔格-列夫勒的邀请,前往斯德哥尔摩访问。
米塔格-列夫勒的数学漂流
米塔格-列夫勒同柯瓦列夫斯卡娅的渊源颇深,他们两人都是维尔斯特拉斯的学生。米塔格-列夫勒出生于斯德哥尔摩的一个教师家庭。他本来姓列夫勒,成年之后,自行把母亲家族的姓氏“米塔格”加入到自己的姓中。包括他父母在内,家族中许多人都曾在乌普萨拉大学受教育。米塔格-列夫勒于1865年进入乌普萨拉大学,1872年获得博士学位。
毕业后,米塔格-列夫勒留校担任无薪讲师,随后获得一笔资助,前往法国和德国游学三年。在此期间,他结识了两国许多数学家,但对他影响最大的是法国的埃尔米特(Charles Hermite,1822—1901)和德国的维尔斯特拉斯。
那时普法战争刚结束不久,德法两国民间仇深似海,连数学界也不例外。然而,米塔格-列夫勒发现,其中最伟大的两位数学家,埃尔米特和维尔斯特拉斯,他们并没有这样的狭隘思想。当米塔格-列夫勒第一次见到埃尔米特,准备要跟他学习分析时,埃尔米特告诉他:“你错了,先生。你应该去柏林找维尔斯特拉斯,他是我们大家的老师。”这是米塔格-列夫勒第一次听说维尔斯特拉斯的名字!
埃尔米特
在柏林听了维尔斯特拉斯的课后,米塔格-列夫勒受到启发,证明了具有给定极点的半纯函数的存在性。这一结果被称为米塔格-列夫勒定理,是维尔斯特拉斯分解定理的一个类比。米塔格-列夫勒对复变函数论有突出的贡献,这一领域中有众多术语冠以他的名字。
1876年,米塔格-列夫勒前往芬兰赫尔辛基大学任教。在那里,他结识了西哥妮(Signe Lindfors, 1861—1921)并与之结婚。1881年,米塔格-列夫勒回到瑞典,出任新成立的斯德哥尔摩大学的第一位数学教授。(斯德哥尔摩大学最初名为斯德哥尔摩学院,1960年才升格为大学。本文中称之为斯德哥尔摩大学。)
西哥妮在1882年
旋转的陀螺
米塔格-列夫勒跟柯瓦列夫斯卡娅在维尔斯特拉斯门下没有交集。1876年,米塔格-列夫勒访问圣彼得堡期间才结识了柯瓦列夫斯卡娅。他欣赏后者的才华,同时得知她想要到大学任教,但这在俄罗斯无法实现。1880年,米塔格-列夫勒提议赫尔辛基大学聘任柯瓦列夫斯卡娅为无薪讲师,但未获批准。这倒不完全是出于性别歧视。柯瓦列夫斯卡娅思想激进,曾经到巴黎公社参加革命斗争。当时芬兰在沙皇俄国的统治之下,她可能会给大学带来许多麻烦。
到了新成立的斯德哥尔摩大学后,米塔格-列夫勒有了更多的权力,终于成功邀请柯瓦列夫斯卡娅。索菲亚抵达斯德哥尔摩后,住在米塔格-列夫勒的家中,并与米塔格-列夫勒的妹妹安妮(Anne Charlotte Edgren-Leffler,1849—1892)结为密友。安妮是一位作家,她同索菲亚合写了一个剧本。在米塔格-列夫勒的安排下,柯瓦列夫斯卡娅成为斯德哥尔摩大学的无薪讲师,讲授了一学期的偏微分方程。
安妮与索菲亚
米塔格-列夫勒想要为柯瓦列夫斯卡娅谋求一个教授职位,年薪4,000瑞典克朗。斯德哥尔摩市议会同意出一半钱,米塔格-列夫勒需要自行筹集另外一半。米塔格-列夫勒希望成立一个基金,能够长期提供薪水,这需要40,000克朗。他在各个社交场合为柯瓦列夫斯卡娅作宣传,得到了积极的回应。路德維希·诺贝尔(Ludvig Nobel,1831—1888,他是阿尔弗雷德·诺贝尔的二哥)捐献了7,500克朗,而银行家大卫·卡内基(David Carnegie Jr.,1813—1890)捐赠了10,000克朗。米塔格-列夫勒很快便筹集到了足够的资金。1884年,柯瓦列夫斯卡娅被斯德哥尔摩大学聘为助理教授(Extraordinary Professor),为期五年。
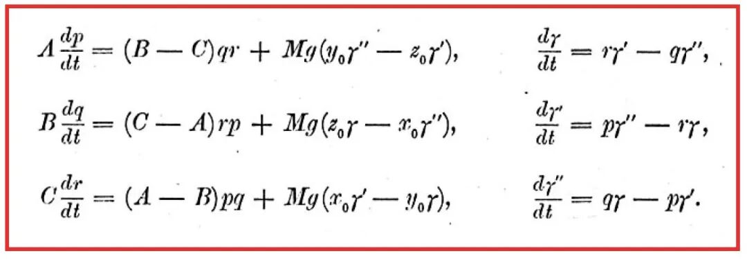
在瑞典,柯瓦列夫斯卡娅完成了她关于刚体旋转的重要工作。假设一个有质量的刚体在恒定的引力场中围绕一个固定点旋转,那么它满足一个常微分方程组
这个方程组在一般情况下不可积,没有精确解析解,只是三种特殊情况下才可积。前两种情况分别由欧拉(Leonhard Euler,1707—1783)和拉格朗日(Joseph-Louis Lagrange,1736—1813)发现。拉格朗日之后,刚体旋转问题一百多年没有实质性进展,直到1888年,才由柯瓦列夫斯卡娅发现了第三种情况。满足这第三种情况的刚体被称为柯瓦列夫斯卡娅陀螺。
柯瓦列夫斯卡娅陀螺
在后世的一些传记作品中,柯瓦列夫斯卡娅用她的女性魅力迷住了独身的维尔斯特拉斯。甚至还有人说柯瓦列夫斯卡娅不是数学家,因为她的博士论文是维尔斯特拉斯替她写的。这些说法没有什么根据。诚然,博士论文通常受导师的影响非常大,但柯瓦列夫斯卡娅的专长是微分方程,而维尔斯特拉斯在此领域并没有柯西-柯瓦列夫斯卡娅定理这种级别的建树。更关键的是,柯瓦列夫斯卡娅本人在博士毕业后又研究了刚体旋转,在这个停滞百年的问题上取得突破。她的研究经历有案可查,早在1881年,她就在信里跟米塔格-列夫勒提到她正在研究刚体旋转。这足以证明她的独立研究能力。
1888年,柯瓦列夫斯卡娅因为刚体旋转问题上的工作而获得法兰西科学院的“鲍廷奖”。这一奖项原本公布的奖金是3,000法郎,但因为她的工作特别出色,奖金被增加到5,000法郎。1889年,柯瓦列夫斯卡娅获得瑞典皇家科学院奖,并当选圣彼得堡科学院(俄罗斯科学院的前身)通讯院士。圣彼得堡科学院特意为她修改了规则,允许女人当选院士。尽管如此,柯瓦列夫斯卡娅也不可能在法国和俄国找到教职。她能够在瑞典当上教授,并不表示瑞典人更开明,主要还应归功于米塔格-列夫勒个人的影响力。但米塔格-列夫勒并非无往不利,他在1886年提名柯瓦列夫斯卡娅为瑞典皇家科学院院士,却遭受了保守势力的强烈反对,未能成功。
谣言与真相
1889年,柯瓦列夫斯卡娅成为斯德哥尔摩大学的终身教授(Ordinary Professor)。许多介绍柯瓦列夫斯卡娅的文章说她是世界上第一位女性正教授,或者世界上第一位女性科学院院士,——这都不准确。她是近代欧洲历史上第三位女性正教授,前两位是意大利物理学家巴斯(Laura Bassi,1711—1778)和数学家阿涅西(Maria Agnesi,1718—1799)。意大利博洛尼亚科学院在18世纪中叶至少有5名女院士,其中包括巴斯、阿涅西和法国的夏特莱侯爵夫人(Gabrielle Émilie Le Tonnelier de Breteuil,Marquise Du Châtelet,1706—1749)。
虽然当上了终身教授,但柯瓦列夫斯卡娅的年薪还是4,000克朗,而一般教授年薪是7,000克朗。这时米塔格-列夫勒听到一个传言:阿尔弗雷德·诺贝尔将要捐献出一大笔钱。于是米塔格-列夫勒在1890年写信给诺贝尔,介绍了柯瓦列夫斯卡娅的情况。她有可能当选圣彼得堡科学院(正式)院士,届时她将获得一笔足以让她在那里生活的津贴。他说,如果柯瓦列夫斯卡娅回到圣彼得堡,那将是瑞典科学的损失。所以希望诺贝尔能慷慨解囊,补足柯瓦列夫斯卡娅的薪水。
一周后,诺贝尔回信说他大概会把钱捐给医院或是别的慈善组织,同时他认为,柯瓦列夫斯卡娅应该回圣彼得堡,而不是留在斯德哥尔摩,因为女人在俄罗斯有着更为广阔的天地。
诺贝尔的回信没有达到米塔格-列夫勒的期望,但这也只是一个普通的募捐失败的故事,不至于为此反目成仇。日后两人之间交往还算正常,没有明显矛盾。1892年,米塔格-列夫勒在巴黎与诺贝尔会谈了几个小时。1895年,米塔格-列夫勒写信给诺贝尔,向他咨询投资事宜。
诺贝尔生前曾经立下多份遗嘱。在1893年的遗嘱中,他将5%的遗产留给斯德哥尔摩大学。然而,在广为人知的最后一份遗嘱里,没有提到斯德哥尔摩大学,也没有设立诺贝尔数学奖。这不禁让人猜测,是不是他跟斯德哥尔摩大学的某一位数学家有矛盾。这位数学家,当然只能是最具影响力的米塔格-列夫勒。于是谣言就这样产生,并演化出了多个版本,包括为感情而反目成仇这样的为人民群众所喜闻乐见的故事。
(未完待续)
相关推荐
近期热文
点个
在看
你最好看