你会喜欢
发热诊室(第一批)
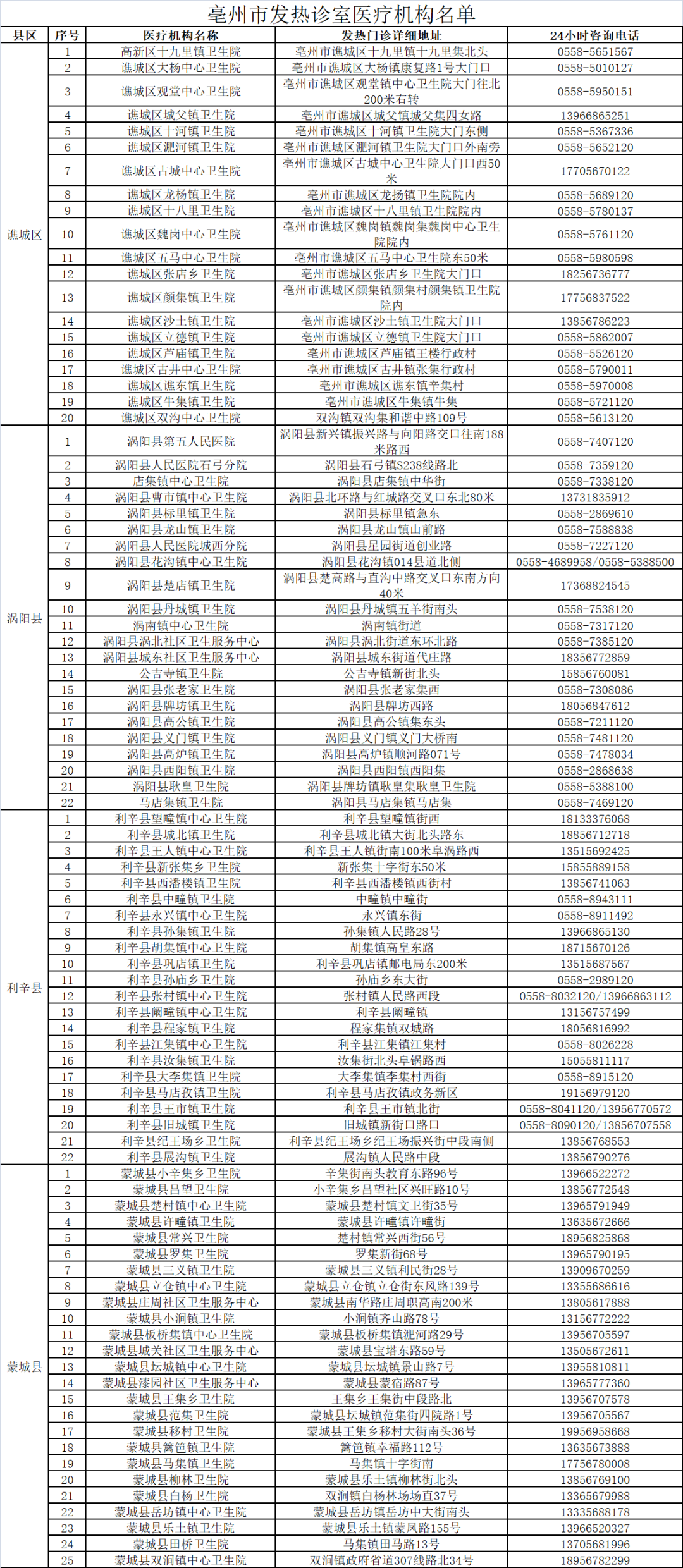
发热诊室
发热诊室
发热诊室
12月12日开诊
芜湖市
(滑动查看更多↓)
第一批22家发热门诊
第二批54家发热门诊(诊室)
12月12日开诊
宣城市
(滑动查看更多↓)
发热门诊
发热哨点诊室
发热患者就诊指引
当出现发热、呼吸道等症状需要就诊时:
1.应就近前往附近发热门诊(诊室)就诊。
2.发热门诊(诊室)进行抗原检测,抗原检测阴性,按照普通患者进行正常诊疗。
3.抗原检测阳性,无需住院治疗情况下,在该机构完成诊疗或取药后,请居家治疗;需要住院治疗情况下,在该医疗机构住院治疗或转上级医院治疗。
特别提醒
1.往返发热门诊或发热哨点诊室时,建议尽量不乘坐公共交通工具,点对点直达医疗机构。并规范佩戴医用口罩,做好个人防护,最大限度降低交叉感染风险。
2.居家治疗期间不外出,尽可能在家庭相对独立的房间居住,使用单独卫生间。家庭应当配备体温计(感染者专用)、纸巾、口罩、一次性手套、消毒剂等个人防护用品和消毒产品及带盖的垃圾桶。
3.注意加强个人防护和卫生,勤锻炼,多通风,从外面回家后及时洗手。
来源:人民网安徽综合
你会喜欢