上海市社会科学界联合会主管主办
摘要:从根本上说,全球化的发生、发展和终结是由技术进步、政府政策、全球化的收益和成本决定的。目前我们正面临的“逆全球化”,其端倪很早就已经出现,正被国家间和国家内部利益的分配问题推向高潮。同时,以人工智能、物联网和机器人为标志的第四次技术革命将使收入分配问题进一步恶化,并最终导致本轮全球化走向终结。为此,国际组织、各国政府和社会团体需要做好充分的准备,而极力推进“一带一路”建设的中国必须重视全球化所带来的利益分配问题,以抗衡“逆全球化”浪潮,或为下一轮全球化的可持续发展奠定基础。
关键词:全球化终结;“逆全球化”;收入差距;第四次技术革命;不均等;
作者:万广华,复旦大学世界经济研究所特聘教授(上海 200433);朱美华,复旦大学经济学院硕士研究生(上海 200433)。
本文载于《学术月刊》2020年第7期。
一、引 言
二、前三轮全球化
三、当今“逆全球化”的表现
四、本轮“逆全球化”的原因
五、全球化的终结?
六、结 论
1
引 言
当今世界正面临着来势凶猛的“逆全球化”浪潮,突出表现为英国脱欧和中美之间的贸易和非贸易摩擦。这股浪潮不仅显著拉低了世界各国的经济增长,也给全球治理带来了严峻挑战。比如,世界贸易组织已经因美国拒绝聘任仲裁法官而名存实亡,其他几个国际机构也因美国的退出而受到严重影响。更为重要的是,迄今为止,这股“逆全球化”浪潮尚未出现减弱的势头。其实,所有这些重大事件并非意外,关于中国与以美国为代表的西方世界的冲突和对立,笔者早在十年前就已经预测到了,并于2009—2011年间提出了应对策略,包括在国际上努力构建并改善与印度的关系,在国内则要大力推进城市化,同时千方百计保持低调、韬光养晦以争取更多年的和平发展的国际环境。笔者还早在2018年3月15日预测到了中美贸易摩擦是不可避免的,接着在2018年4月6日明确指出这次的贸易摩擦将是全球性的。
遗憾的是,直到今天,国内外仍然有不少人对这股“逆全球化”浪潮或中美冲突抱有期望抑或是幻想,更多的人甚至是主流的观点坚信全球化不可阻挡。比如,笔者于2018年10月在世界经济学会的年会上做主旨演讲时提出,不能排除本轮全球化终结的可能性,但遭到了大多数嘉宾包括权威人士的反对。这种判断上的差异无疑来源于对本轮“逆全球化”根本原因的认识上的不同,并将对国家的外交、政治、经济甚至社会发展战略的制定产生截然相反而又不可估量的影响和后果。
基于上述背景,作为一家之言,本文旨在提出一个大胆预测或猜想,即本轮全球化正在走向终结,取而代之的将是区域性或零碎的全球化。这个预测主要基于以下三方面的考虑:(1)全球化所带来的利益分配问题在中短期无法获得妥善解决,这将从根本上进一步扭转以往的亲全球化政策;(2)以人工智能、物联网和机器人为特征的第四次技术革命正在改变全球分工格局,将不断降低跨国贸易和对外投资的必要性;(3)作为全球第一和第二大经济体的美国与中国之间的冲突很难调和。
本文余下的内容安排如下:作为背景,第二部分简要回顾前三轮全球化的发展历程,并归纳总结全球化的利弊;第三部分从政治、经济和社会政策等方面讨论当今的“逆全球化”浪潮,试图说明本轮“逆全球化”早在十多年前就露出了端倪;第四部分探讨当今“逆全球化”的主要原因;第五部分结合第四次技术革命,展望(逆)全球化的未来。最后,第六部分为结论。
2
前三轮全球化
(一)前三轮全球化历程
关于以往全球化阶段的划分,学界存在不同的看法,比如,笔者就认为最早有记录的全球化始于中国的汉朝,以张骞出塞,并最终开辟丝绸之路为起点。但国外主流文献如Williamson把1492年哥伦布发现“新大陆”作为第一轮全球化的开端。新航路的开通促进了世界黄金、香料、农产品贸易和东西方的文化交流。16世纪末,伴随着殖民主义的扩张,西方资本主义生产方式开始向全球蔓延,由此开启了新旧世界之间的国际贸易,世界市场开始形成。
发轫于18世纪60年代的第一次工业或技术革命把全球化推向高潮,并被看作为第二轮全球化的起点。蒸汽机的发明和运用极大地提高了生产力,大工厂生产方式使产量大幅增加,发达资本主义国家迫切需要在全球范围内寻求商品市场和原料产地。同时,跨国公司的海外投资和铁路的出现极大地促进了国际贸易的发展,英国强大的海军力量和英镑金本位制度,成就了其世界霸主的地位。19世纪中后期,以电力、电灯和电话使用为标志的第二次技术革命使世界殖民体系得以形成,西方列强从商品输出步入资本输出阶段,最终确立了资本主义世界体系。1914年第一次世界大战的爆发终结了第二轮全球化。
由美国主导延续至今的第三轮全球化,萌发于20世纪中期、第二次世界大战结束之后。1944年布雷顿森林体系建立,美元与黄金挂钩,形成了以美元为中心的国际货币金融体系。1946年10月,来自25个国家的64名代表在伦敦开会决定成立国际标准化机构——国际标准化组织(ISO),其主要功能是制定和发布国际标准。其中,经过多次修订和完善的集装箱标准极大地降低了物流成本,促进了国际贸易。同时,联合国、世界银行、国际货币基金组织和后来改名为世界贸易组织(WTO)的关贸总协定(GATT)相继成立,各国纷纷减少贸易壁垒。另一方面,跨国公司、对外投资、互联网的出现和发展加速了人口和资本的流动,生产要素开始在全球范围内实现最优配置,并造就了诸如纽约、伦敦和东京等全球金融中心。商品贸易全球化和金融全球化进程分别在20世纪80年代和90年代开始快速推进。在此过程中,发达国家将非核心生产环节转移至发展中国家,发展中国家向发达国家出口低附加值产品,全球价值链逐渐形成。更为重要的是,计算机和互联网技术的发展缩短了人与人之间的距离,整个世界成为一个“地球村”。但2008年全球金融危机后,“逆全球化”浪潮开始涌现。
(二)全球化的利与弊
全球化的益处是多方面的。首先,国际分工的深化、国际贸易的发展、生产要素的跨境流动,不但提高了资源配置和使用效率,而且促进了技术创新、扩散和运用。总体来说,发展中国家主要生产劳动密集型产品,发达国家主要生产资本密集型和技术密集型产品。根据世界银行和联合国的数据,2018年全球商品和服务贸易总量是1970年的10余倍,而FDI流量则增加了96倍;全球商品和服务贸易占GDP的比重由1960年的24%增加到2018年的59%。其次,贸易还极大地丰富了人们的生活,使全球福利增加。特别地,全球化通过贸易和投资把发达国家的先进技术和管理方法转移到发展中国家,有益于发展中国家的经济发展,使国家之间的不均等有所改善。最后,全球化还带来了社会文化的交流甚至融合,促进了妇女解放和世界和平。甚至有人认为,两次世界大战的发生在某种程度上与国际贸易和跨国投资不足有关。
全球化的负面影响也是多方面的。首先,全球化使资本(但不是劳动力)可以在全球而不是仅仅一个国家或地区内部逐利,发达国家由于资本相对丰富成为了全球化的最大赢家。从这个角度看,全球化拉大了国家之间的收入差距。其次,跨国公司为了降低成本,将工厂迁往劳动力资源丰富的发展中国家,在带来发展中国家的就业的同时,减少了发达国家蓝领工人的工作机会,扩大了国家内部的收入差距。另外,部分跨国公司将高污染、高排放的生产活动转移至发展中国家,导致了所谓的“污染天堂”。最后,全球化使部分企业和个人可以通过在境外成立公司而逃税,使富人受益。
3
当今“逆全球化”的表现
“逆全球化”可以定义为全球化的反转,表现为全球贸易、投资和移民流动的减弱,或国家之间经济相互依存和融合程度的不断降低,或对产品和要素的跨境流动设置各种显性或隐性障碍。全球南方焦点(Focus on the Global South)的创始人Walden Bello在2001年提出了“逆全球化”的概念。他认为,“逆全球化”不是全球经济的倒退,而是世界经济和国际政治体系的重建;“逆全球化”意味着全球经济从围绕跨国公司的需求整合变为围绕民族、国家和社区的需求整合。本轮“逆全球化”浪潮早在1999年的世贸会议期间就有所表现,近年来愈演愈烈(图1)。显然,“逆全球化”不是特朗普启动的,也不会因为特朗普的退出而改变其趋势。
(一)政治方面
“逆全球化”在政治上主要表现为民粹主义。1999年11月30日,为了抵制全球化给环境、动物和收入分配带来的负面影响,来自世界各地的反全球化人士在世贸组织西雅图会议期间游行示威,他们的口号就是“反对全球化!”。游行活动导致会议开幕式被迫取消。2016年4月,“意大利修宪公投”失败,将公投结果与政治生涯相捆绑的意大利总理伦齐宣布辞职,极右翼政党联盟党和民粹主义政党五星运动核心成员孔特成为新一任意大利总理。2016年6月英国举行脱欧公投,52%的选民支持脱欧,48%的选民选择留欧,从此开始了波折的英国脱欧之路。
2015年6月24日,特朗普发表竞选宣言,承诺把就业机会拉回美国,并且阻止墨西哥移民进入。2016年11月,声称为中下层民众争取利益的特朗普当选美国总统。2018年11月,为了抗议政府加征燃油税,法国巴黎爆发“黄背心”运动,以表达对贫富差距拉大、生活状况恶化的不满,而贫富差距恶化是“逆全球化”兴起的重要原因。从2019年5月的欧洲议会选举结果来看,英国“脱离欧盟党”、法国“国民联盟”、匈牙利的“青民盟”和意大利的“北方联盟”等极右翼政党和民粹主义政党的影响进一步扩大。
(二)经济方面
“逆全球化”在经济上表现为贸易保护主义和本土主义。1929年美国发生经济大萧条,波及全世界,银行资金短缺,市场恐慌。面对经济危机,英国宣布终结英镑金本位制度,并率先发动了以邻为壑的单方面贬值,英国时任首相张伯伦推出“英联邦自由贸易运动”,在英联邦及殖民地内部推行自由贸易,而对外则加征关税,由此拉开全球货币战和贸易战的序幕。1933年美国宣布放弃与英法两国续签双边汇率协定,让美元大幅贬值并提升进口关税,加入货币和贸易战,这使得德国和日本的出口受到重创。
类似地,2017年1月美国正式宣布退出跨太平洋伙伴贸易协定(TPP)。2018年11月,美国—加拿大—墨西哥三国签署的北美自由贸易协定(NAFTA)被修订为“美墨加协定”(USMCA)。2019年3月,美国总统特朗普、英国首相和法国总统纷纷缺席达沃斯年会。
中美贸易摩擦是当下“逆全球化”的重要表现。2017年8月19日,特朗普签署备忘录,指示美国贸易代表办公室(USTR)对中国开展301调查。2018年3月23日,美国USTR发布《基于1974年贸易法301条款对中国关于技术转移、知识产权和创新的相关法律、政策和实践的调查结果》,宣布拟对中国部分商品加征25%的关税。同日,中国商务部就美国进口钢铁和铝产品的232调查及中方应对措施发布公开征求意见通知,拟中止对美国实施对等的减让和其他义务,即对部分自美进口产品加征关税。
后来,中美贸易摩擦进一步升级,从经济领域蔓延到科技领域,美国对中兴、华为进行制裁,并委托加拿大政府将在加拿大温哥华转机的中国公民、华为公司副董事长、首席财务官孟晚舟拘押。再后来,美国又多次宣布对从中国进口的商品加征关税。由于中美之间关税增加带来的负向影响,国际货币基金组织发布的《世界经济展望》对2019年和2020年全球增长的预测分别下调了两个百分点和一个百分点。
从经济数据上来看,2007/2008年的全球金融危机显然是个分水岭和导火索。危机前,世界平均关税税率不断下降(图2),非关税技术壁垒(TBT)以及卫生和植物检疫措施(SPS)总量也处于较低的水平(图3)。此外,按五年移动平均看,全球贸易增长率年均5%以上(图4);全球FDI流量波动上升,而且每次上升的幅度都很大(图5)。
金融危机之后,关税税率停止了其下降趋势(图2),并出现微弱的上升,可能是因为关税是放在桌面上的,加征关税往往难以逃脱WTO的惩罚。更为重要的是,非关税技术壁垒(TBT)及卫生和植物检疫措施(SPS)的总量大幅度上升(图3)。按五年移动平均来看,全球贸易总量每年增长基本都在5%以下,至今尚未回到危机前的水平(图4)。全球FDI流量尽管仍然有所上升,但上升的幅度开始下降,而且自2015年以来呈现下降趋势(图5)。就全球商品贸易而言,其占GDP的比重虽然在危机后有所增加,但是近年来又呈下降趋势,由2011年的50%下降为2018年的46%。根据荷兰经济政策分析局2019年3月25日公布的非年化数据,在截至2019年1月底的三个月期间,全球国际贸易动量移动平均指数跌至125.2,下跌1.8%,是2009年5月以来的最大跌幅。从年化角度看,全球贸易动量指数出现九年来的首次下跌。
(三)社会政策方面
社会政策上,反移民、民族主义、排外主义盛行。自从2010年“阿拉伯之春”爆发后,由于战乱、贫困等因素,每年都有大量来自中东、北非的难民进入欧盟国家,欧洲遭遇难民危机。难民涌入还伴随着宗教文化冲突,引起欧洲政局动荡。欧洲部分政客和民众对难民采取排斥的态度,德国总理默克尔积极接纳欧洲难民的政策受到下层民众的强烈反对,反移民的右翼选择党在2017年9月的德联邦议会选举中成为第三大党。
美国在金融危机后虽然GDP增长恢复较快,但是失业率一直居高不下,直到2016年5月才下降到4.7%,与2006—2007年的4.6%相近。非法移民给美国下层民众带来了巨大的竞争压力,对于奥巴马的移民改革方案,民众态度迥异。特朗普上台后,于2017年1月推出了“禁穆令”,又于2017年9月废除了有关移民特赦的“童年抵美者暂缓遣返计划”。
4
本轮“逆全球化”的原因
理论上讲,全球化能够优化资源配置,促进增长,带来全球化红利。“逆全球化”问题显然不是出在效率层面,而是出在红利的分配层面。而后者涉及到利益在国家内部和国家之间的分配。不难推测,如果每个人、每个国家和地区都能公平地享受全球化红利,怎么会出现“逆全球化”浪潮?显然,全球化只带来了卡尔多—希克斯(Kaldor-Hicks)改善,没有带来帕累托(Pareto)改善。
特朗普所声称的中国从中美贸易上获益、美国却蒙受损失,尽管不一定准确,其实就是指全球化红利在国家之间分配不公的问题。同样地,英国脱欧在根本上也是因为众多的英国公民认为没有从欧洲整合(区域全球化)中获益,是全球化红利在地区和国家内部分配出了问题,与支持特朗普的美国铁锈地带的部分选民的思路相同。
作为本轮“逆全球化”的根本诱因,全球化红利的分配问题不是一天形成的,是随着全球化的深入而越发严重的。2007/2008年的全球金融危机和接踵而至的欧洲主权债务危机仅仅是起了导火索的作用,所以“逆全球化”成为令人关注的现象始于2008年前后(见图2—5)。
(一)全球化与不均等:相关关系
那么全球化是否与收入分配相关呢?对照图6的三张图可以看出,商品国际贸易于20世纪80年代开始加速,90年代金融全球化开始加速,而全世界、亚洲、中国和印度的不均等也都是在20世纪80年代后开始攀升的。
在西方发达国家,用基尼系数表示的美国的收入不均等也从1980年代开始增加,1990年代进一步攀升(见图7),与全球化指标高度正相关。另一方面,在25个发达国家中,有65%—70%家庭的实际收入在2005—2014年间没有增加,甚至下降了(见图8),而他们大多是中低技能的家庭,这些都显示了收入不均等与全球化的相关性。
从本质上讲,能够从全球化获益的主要是两种人:拥有资本者和精英阶层,只有他们才能利用国际贸易和FDI的机会盈利,而后者往往也拥有相对较多的储蓄或资本。所以,我们可以考察GDP中,有多少是分配给劳动要素,有多少是分配给资本要素的。图9表明,在全球化时代,劳动阶层获得的分配比例越来越低,资本获得的比例越来越高。这进一步佐证了全球化与贫富差距之间的相关关系。
需要说明的是,经济学界会追究全球化和收入差距的相关性是否意味着因果关系,但政界、社会和媒体常常不会这样做。当特朗普把美国铁锈地带的衰败归咎于全球化时,那些丢失工作、收入停滞不前的选民不会关心因果关系。为了迎合选民,欧美部分政党的领导人也是利用了全球化与贫富差距的相关性,推行右翼民粹主义思想,激发反全球化情绪。这是特朗普赢得大选、英国公民投票脱欧的根本原因。
(二)全球化与不均等:理论关系
全球化和收入分配之间是否具有因果关系呢?根据经典赫克歇尔—俄林模型,全球化对收入分配的影响取决于一个国家的资源禀赋。在资本充足的国家如美国,劳动力受损,资本受益;而在劳动力资源充足的国家如中国,情况正好相反(当然,劳动所得还受其他因素影响)。事实上,如果没有全球化,资本家只能在境内逐利,全球化则让其可以在全球范围内逐利,同时还可能逃税或避税。显然,全球化会增加资本的回报。同样,根据斯帕托—萨缪尔森定理,贸易是基于相对比较优势的,它会提高一国丰富要素所有者的收入,降低稀缺要素所有者的收入。
另一方面,根据雁阵模型,劳动密集型产业由发达国家转移至劳动力资源丰富的发展中国家,使就业发生跨国转移,导致西方国家产业空心化,收入阶梯下层的群体尤其是蓝领阶层受到损失,甚至失去工作。与此相关的是,在全球产业分工中,发展中国家丰富的劳动力主要生产低附加值的劳动密集型商品,而发达国家主要生产高附加值的资本密集型和技术密集型产品。这些都意味着,发达国家拥有资本和科技的精英阶层获利。这样一来,前面提到的全球化带来了劳动份额的下降就不足为奇了(见图9)。
最后,Piketty通过深入的研究发现,当资本回报率高于经济增长率时,不均等就会上升。毋庸置疑,资本在全球逐利(尤其是在资本缺乏的发展中国家逐利)不会获得小于在资本相对丰富的发达国家境内所能获得的回报率。基于Penn World Table的数据,我们可以计算资本的平均回报率,发现很多年份在不少国家的估算值大于30%,这远远高于任何一个国家在任何时期的平均增长率。所以,自20世纪80年代全球化加速以来,不均等成为了一个越发严重的经济、社会甚至政治问题,最终可能导致本轮全球化的终结。
遗憾的是,Piketty在其著作和论文里没有严格证明当资本回报率大于增长率时,不均等必然上升。为弥补这个理论上的空缺,本文提供以下的证明。
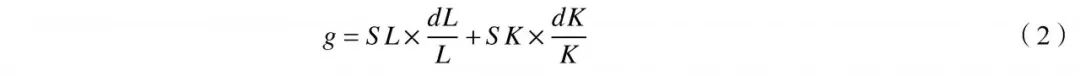
设加总生产函数为GDP = f(L,K),其中L,K为劳动和资本投入。用W,r分别代表工资和资本的边际产出(即要素回报率),对生产函数求全微分,并整理可得:
这里g代表经济增长率。用SL和SK分别代表劳动和资本收入占比(SL+SK=1),上式可以表示为:
将资本回报率表示为r=cg,基于(1)和(2)可以得到:
这时的劳动占比可以表示为:
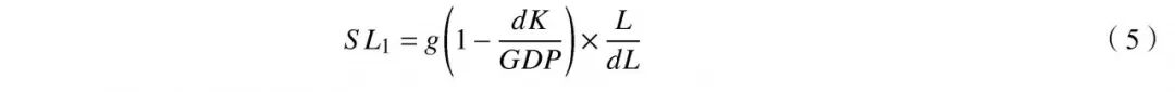
当r=g即c=1时,其对应的劳动占比为
这样一来,劳动占比的变化为
当c=1时,r=g,△SL=0。如果c>1,(即r>g),在通常经济增长的情况下(dL,dK>0),有△SL< 0,即劳动占比下降。这证明了Piketty的理论。
接着,我们来证明,在其他条件不变的情况下,劳动占比下降意味着收入不均等的增加。根据汪晨等观点:
其中CL和CK分别代表劳动收入与资本收入的集中系数。一般来说,资本收入分配高度不均,即CK>CL>0,所以,我们设CK=mxCL,m>1。这时,代表收入不均等的基尼系数可以表示为:
(三)全球化与不均等:实证发现
现有关于全球化与不均等的实证分析主要是关于美国的。Krugman发现了贸易增加对美国的收入分配产生了负面的影响。根据Hakobyan & McLaren的研究,NAFTA给美国带来的整体福利的提升仅为0—0.2%,但是,受影响最大的若干产业的工资增幅则下降了17个百分点。Card指出,1985—1990年间流入美国的移民每增加10%,会使本地人和以前流入的移民的就业率下降1%—2%,工资下降1.5%。还有学者发现,贸易与收入分配之间的关系在统计上不显著。也有文献研究其他国家的情况。Acemoglu et al.发现,离岸外包机会的增加会导致发达国家非技术工人的工资下降。Stiglitz认为,在市场运行不完善的发展中国家,贸易自由化会造成生产率下降和失业增加。
此外,贸易会促进偏向资本的技术变化,同时全球化会降低资本要素的相对价格,促进资本替代劳动。这些都会导致劳动收入份额的下降。有证据表明,自20世纪80年代全球化加速以来,高收入阶层的收入和财富份额不断上升。当然,除了全球化,劳动收入占比的下降还与要素替代弹性、偏向性技术进步、产业结构升级等有关。比如,中国的资本劳动替代弹性大于1,并不断上升,进而导致了中国的劳动占比下降。
(四)中美冲突
世界第一和第二大经济体之间发生贸易战,无疑是“逆全球化”的最严重表现。笔者在讨论中美经贸摩擦时,一直强调贸易失衡只是表面原因。事实上,美国并没有因为全球化而吃亏,商品贸易只是全球化的一个维度,特朗普选择性地忘记了跨境投资和服务贸易,而中国在服务贸易上与美国是逆差。据美方统计,2017年中美货物贸易逆差为3752亿美元,美国对中国出口货物1304亿美元,其中大都是中高附加值产品,美国从中国进口货物5056亿美元。美国在享受中国的价廉物美的商品的同时,也从全球化中获得了巨大福利。
问题的关键仍然要回到收入分配,如前面提到的美国劳动收入份额下降、国内收入差距拉大,部分美国人的利益受到了损失。特别地,美国制造业占总就业人数的比重不断下降,由1948年的24.9%下降为2019年的8%左右(图10)。此外,社会代际流动性也大大下降,1970—2014年间,30岁劳动者收入超过其父母(同为30岁时)的比例从90%跌落到了41%,其中下滑幅度最大的是中产阶层,而高收入阶层的子女收入超过父母的比例则稳定在高位。这就是为什么2011年爆发的“占领华尔街”运动,参与人员大都是26岁以下的中产阶级。
图11勾画了一战以来美国的财富分配状况。在1929年,0.1%的美国富人占有25%的财富,贫富差距达到峰值,但自罗斯福新政和第二次世界大战后不断缩小,于20世纪70年代达到最低值。然而自80年代全球化加速以来,美国的收入分配状况急速恶化,进入21世纪后这0.1%富人的财富占比逼近“20%关口”。根据Saez & Zucman(2016)的估算,美国最富有的1%的人占有40%的财富,是平均家庭财富的40倍。与1989年相比,最富有的1%人口的财富占比增长了9个百分点,如果算上资本收入的话,增长高达11个百分点,这正好是美国90%的人口在过去三十年中财富缩水的比例。实际上,在过去的几十年中,只有上层40%的人感受到了社会的进步(图12),底层60%的人的感觉是处于停滞状态的。
必须指出,另外一个导致中美摩擦的根本原因,在于双方力量对比发生了质变。根据IMF的数据,中国占全球GDP的比重由1992年的4.5%上升为2018年的18.7%,按购买力平价计算,中国GDP总值已经在2013年超过了美国(图13),这显然对美国霸权构成了威胁。中美经贸摩擦以来,美国对华征税的商品主要集中于高端装备制造业、高铁设备、工业用机器人等中国新兴核心竞争力行业,其目的显然在于遏制《中国制造2025》,进而遏制中国产业升级和中国崛起。从这个视角看,中美经贸摩擦预期会持续相当长的时间,与哪个政党或个人执政关系不大。笔者从2018年初就一直呼吁把中美摩擦控制在贸易、经济或金融范围,但现在连科技界都已经被卷入了。现在双方要做的,是努力避免真正滑入“修昔底德陷阱”,尤其是要避免台海和南海的冲突。
5
全球化的终结?
全球化或“逆全球化”的进程从根本上取决于三大因素:政府政策、全球治理和技术变迁。其中,政府政策与全球治理紧密相关,目前的“逆全球化”浪潮显然是由各国的保护主义政策所导致的,国际治理也因美国的退群而面临生死存亡的挑战,两者皆从根本上取决于收入分配问题。从中短期来看,国家政策会继续抵制全球化;从长期来看,以人工智能、物联网和机器人为代表的第四次科技革命很可能会把全球化推向终结,并被区域性、碎片化的全球化所取代。
(一)来势凶猛的第四次技术革命
从根本上讲,技术进步是推动人类发展变革(包括全球化)的最为根本的决定因素。每一次文明的更迭,都是一次生产力的飞跃,而每一次生产力的飞跃,又都缘于一场深刻的科技革命。基于知识创新和技术进步的科技革命,通过“破坏式创造”和“颠覆性创新”,一次又一次塑造新的发展周期。
18世纪60年代兴起的第一次工业革命是世界工业化的起点,是传统农业文明向工业文明过渡的转折点。蒸汽机的发明带来机械化大生产,使工厂取代手工作坊成为最主要的生产组织形式,而分工精细化和生产规模化大大提高了生产效率。人类进入“蒸汽时代”。策二次工业革命发生于19世纪的六七十年代,发电机内燃机的发明运用使得电力取代了蒸汽动力,电灯、电车、电话和电报相继问世,先进的交通与通信技术使信息传递更加快捷,资本主义生产的社会化大大加强,垄断组织应运而生,资本主义世界体系最终确立。人类进入“电气时代”。20世纪四五十年代开始的第三次工业革命是工业文明发展到信息文明的转折点,计算机和互联网的发明运用极大地缩短了人类交往的距离,经济全球化快速推进。同时,跨国企业大量涌现,在一国进行集中调控,在世界各地进行分散生产和销售,人类进入“信息时代”。
目前人类面临的是第四次技术革命,以人工智能(AI)物联网机器人的使用为标志。此次革命一方面将带来对资本的巨量需求,同时导致对劳动的替代,从两头挤压劳动占比,使收入分配进一步恶化。更为重要的是,新的技术革命在将低技能劳动力挤出生产过程的同时,还会使落后国家逐渐失去其相对比较优势。可以预期,当在发达国家使用机器人的成本接近发展中国家的劳动力成本时,发达国家将具有除了自然资源以外的其他绝对优势,大大减少贸易的必要性。届时,资本和商品的跨国流动将会大大减弱。
1. 增加失业。
AI和机器人的使用将会增加失业。以往的技术革命,尽管伴随着资本对劳动的替代,但没有从根本上动摇“劳动占比基本不变”的Kaldor定理。换言之,工资的上升弥补了劳动力投入相对下降的影响。但基于AI和机器人的第四次技术革命似乎已经导致了劳动占比的不断下降,意味着劳动力投入的大幅度减少。同时,这次技术革命正在终结“雁阵模型”和追赶理论,使全球产出的增长主要集中在发达国家,而且越来越多地依靠资本投入。失业问题在发达国家,尤其是发展中国家将变得越发严重,而且短期内无解。这印证了凯恩斯早在1930 年就发出的关于技术进步将造成普遍失业的警告。机器人不但可以7天24小时工作,而且出错率极低,更没有管理上的纠纷。Acemoglu & Restrepo分析了1990—2007年美国劳动力市场上工业机器人增加的影响。他们发现,每千名工人增加一台机器人,将使就业人口比例降低0.18—0.34个百分点,工资降低0.25%—0.5%。麦肯锡报告显示,全球高达50%的工作是可以被机器人取代的;有六成的工作岗位,其中30%的工作量也可以由机器人代劳。到2030年,保守估计全球15%的工人(约4亿人)会因人工智能的发展发生工作变动,激进估计则会影响30%的全球劳动人口,也就是8亿劳动力。
机器人已经在制造业、零售业和餐饮酒店业中得到越发广泛的应用,替代了低技能劳动力。全球最大的电子产品装配企业富士康集团将机器人引入生产线后,雇用的劳动力数量下降了30%;Adidas等众多公司纷纷撤回本国,因为在发达国家可以使用机器人代替人工进行生产;亚马逊用15万员工和无数的机器人打造的仓库每年可以处理价值约1000亿美元的自营订单和1000亿美元的第三方订单;海底捞历时三年斥资1.5亿打造的无人餐厅于2019年4月20日在北京正式营业,这家餐厅不需要洗菜工、配菜员、传菜员、酒水配送员和等位区服务员,其运行总成本大约只有传统餐厅的四分之一;马云筹备两年之久的阿里未来酒店在杭州也已经正式开业,客人从入住到退房完全由智能机器人提供服务。
2. 冲击国际贸易投资格局。
更为重要的是,以往的技术革命没有动摇劳动力作为基本生产要素的事实,高低技能劳动力都是生产过程所不可或缺的,全球化只是使对低技能劳动力的需求从发达国家转移到了欠发达国家,同时带来产业转移,造就了所谓的“雁阵模型”。但正如前文所言,这次技术革命正在终结“雁阵模型”和追赶理论,欠发达经济体不再具有廉价劳动力优势,商品和服务贸易的必要性将大大降低,现有的全球贸易分工格局将会受到严重冲击。
从消费角度看,批量化生产的产品不再受欢迎,消费者越来越偏好个性化新产品,这要求缩短供应产业链和交货时间,促使企业迁往接近消费者的地点,而更具有消费能力的也是发达国家。
当然,不同国家,不同岗位受到的机器人冲击是有显著差别的,这也会影响国际贸易格局的变化。越是发达的国家,人工成本越高,越有动力和资本率先使用机器人。根据麦肯锡发布的报告,到2030年,全球被机器人取代的劳动力占比为15%,但作为发达国家的代表,在美国、德国的这一比率分别高达23%和24%,而作为发展中国家的代表,印度和中国分别为9%和16%。
需要说明的是,我们并不认为世界会倒退到闭关锁国的境地,在世界经济政治格局走向多极化的同时,贸易投资区域化和零碎化将取代全球化。比如,美国主导的基于“零关税、零壁垒、零补贴”原则的自由贸易协定(FTA)会涵盖欧洲、日本等国家。同时由中国参与并推动的亚太自由贸易区(FTAAP)和区域全面伙伴关系协定(RCEP)会涵盖东亚东盟等经济体。
3. 冲击全球产业链。
前面提到的智能制造和个性化产品需求,都需要高技能劳动力,而发达国家在这方面有优势。当劳动密集型产业被智能化或升级为资本密集型产业后,就会回归发达国家,最终使全球价值链发生收缩,发展中国家再也无法通过承接劳动密集型产业转移实现工业化或经济腾飞,“雁阵模式”消亡,发达国家和落后国家的差距将越来越大。剩下的只是资源贸易和夕阳或高污染产业的转移。
(二)难以解决的利益分配问题
增长或效率问题可以交给市场去解决,但分配或不均等问题显然需要政府的介入。遗憾的是,虽然全球化已经进入到一个非常高的阶段,但直到近来,由全球化带来的利益的分配问题基本被忽略了。即便是现在,经济学界仍然在争论全球化对收入分配的影响、影响机制和后果,很少涉及到解决方案。从逻辑上讲,全球化的利益首先要在国家间进行分配,然后才能考虑其在国家内部的分配,但前者即便没有被完全忽略,也没有实际操作的可能,因为有很多很难甚至无法解决的理论和实际问题。比如,各国究竟从全球化收益多少?按照什么原理和框架分配这些收益?相关国家是否接受这些估算和分配方案?这些收益在国家内部又如何估算、征收或分配?由谁(联合国、IMF等现有还是新设机构)来执行监督与管理?
从功能性收入分配的角度看,除非对跨国资本收入大幅度增加税收,并用于国家间的类似于财政支付的利益转移(可行性很低),全球化将会导致资本占比的不断增加,进而拉升收入不均等(见前文的证明);如果放任不管,最终可能酿成经济或社会崩溃的灾难性后果。但在这样的后果出现之前,不断被拉升的收入差距与第四次技术革命相互强化,可能会葬送全球化本身,而这正是当前正在发生的事件。
(三)我们离全球化终结还有多远
1. 机器人投入使用的速度在加快。
显然,“逆全球化”进程与第四次技术革命的推进速度紧密相关。世界上安装首批一百万台机器人花了50年,但是接下来的一百万台只花了8年左右。从密度上看,工业机器人在亚洲的密度由2012年的47台/万人增加为2018年的91台/万人,在欧洲的密度由2012年的80台/万人增长为2018年的114台/万人,在美洲的密度由68台/万人变为2018年的99台/万人(图14)。从销量上看,2017年工业机器人的销量在中国是2001年的将近200倍,在印度是40倍,在欧美也呈上升趋势(图15)。可以看出,机器人销售增加的速度在2008年前后得到显著提升。
毋庸置疑,机器人的普及率取决于其投资和使用的净收益,而波士顿咨询集团的研究表明,到2025年,机器人自动化生产将使世界上25个最大的商品出口国成本平均下降16%,美国下降22%。根据卓贤和黄金的估算,2017年中国工业机器人的“时薪”为25.36元,低于同年北京、上海、杭州、深圳制造业工人的时薪(分别为53.1元、52.9元、43.6元和41.7元)。如果将社保工伤等考虑进来,即使合肥、重庆等中西部的制造业用工成本也已经超过了机器人。这里还没有考虑监督管理成本、劳工纠纷、效率和季节性人工短缺等因素。
从2017年开始,国内的企业开始采用国产零部件生产机器人,生产规模不断扩大,成本不断降低。比如,递送机器人在2016年的价格都在10万元以上,仅仅两年后的2018年就已经下降到5万—6万元。传感器在2010年需要25万美元,而2017年只需要8000美元,相当于7年前的3%。其他部件,如机器人手臂关节处的驱动器也由以前的3500 美元下降到2017年的1500美元。同时,机器人功能在增加,质量在提高。这与人工越来越紧缺、工资越来越高形成鲜明对照。
2. 技术普及速度出乎意料。
不少人尚未意识到第四次技术革命推进的速度,总以为全球分工合作格局难以改变。严格来说,这个速度需要专文解析和估算,但新产品新技术普及的速度往往快于我们的预料。以汽车、移动电话和互联网为例,根据中国国家统计局发布的数据,中国城镇家庭家用汽车拥有量由1997年0.2辆/百户,迅速增至2017年的37.5辆/百户,年均增长率为29.9%;中国移动电话用户由1990年的1.8万户迅速增至2017年的14亿户,平均每年增长51.8%;中国的互联网上网人数由1997年的62万人迅速增至2017年的7.72亿人,年均增长率为42.8%。另外,3G时代达到5亿客户用了十年,4G用了五年,预计5G时代只需要三年。
(四)“逆全球化”浪潮下的“一带一路”
2013年中国提出“一带一路”倡议,除了其他方面的考虑,旨在通过贸易投资、园区建设、互联互通,力图推进全球化。尽管挑战重重,但中国与带路国家的投资贸易在增加,这对于高度开放、有着巨大产能、内需不足和致力于和平崛起的中国来说至关重要。随着本轮全球化走向终结,一带一路建设需要高度重视跨国公共产品的提供以及未来国际治理秩序的构建;在介入全球气候变化、核污染、网络犯罪和恐怖主义等问题时,要充分考虑平衡经济和非经济方面的成本与收益。特别地,要区别对待加入“一带一路”建设的国家,充分考虑其对中国的长远战略的重要性,切忌在双边或多边关系中过度投入或被动投入政治或经济资源。
最为重要的是,从现在起,必须重视全球化利益在国家之间和国家内部的分配问题,这需要:(1)首先保证方方面面的投入在总体上盈利,尽管有些投入可以亏损,有些时候可以亏损。但中长期的大面积亏损对任何国家或组织来说都是无法持续的;(2)深入了解和研究相关国家的收入分配问题,并在“一带一路”的建设过程中,与沿线国家政府同心协力保护并努力增加当地中产阶级的利益,尤其不能忽视他们所可能遭受的风险;(3)注重宣传“一带一路”建设带来的就业、减贫、增长、基础设施与环境改善等方面的成就,不仅仅是在中国宣传,而是在国际上和相关国家进行大力宣传。这三点当中任何一方面不成功,都会影响“一带一路”的建设进程。
6
结 论
本轮全球化会不会走向终结?至少从底线思维的角度出发,我们不能回避这个问题。来势凶猛的“逆全球化”浪潮从根本上说是由贫富差距所推动的,而不可阻挡的第四次技术革命(尤其是机器人的投资使用成本下降、质量上升),通过降低劳动占比和劳动阶层的谈判议价能力,将在中短期进一步恶化收入分配,使已经处于低位的劳动占比进一步下降,并在长期终结本轮全球化。这个发现或结论的理论依据在于全球化不是帕累托改善,而是卡尔多—希克斯改善,同时部分国家的部分群体受损的不均等问题长期被学术界和政策界忽略了。
如何应对全球化带来的问题?Landers和Heckman提出了“斯堪的纳维亚模式”,主张政府在加入全球化时,要扩大公共教育和社会保障支出,从而在全球化带来的效率的上升与收入差距的扩大之间取得平衡。这与Rodrik的“全球化的不可能三角”(即一国只能同时选取全球化、政策主权和民主政体中的任意两个)的理论不谋而合。全球化使本国劳动者面临更激烈的竞争和更大的风险,政府必须扩大财政支出以弥补劳动者的福利损失,所以全球化背景下的政府支出和市场开放是一种互补关系。另外,大量移民影响就业、公立学校和医院等公共服务的分配,在政府无力增加相关支出的情况下,移民必将遭到抵制。但这两个理论都不能解决跨国收益分配的问题。
在实践中,是全球化成就了所谓的“雁阵模型”,使一些本来落后的国家如中日韩,通过承接劳动密集型产业转移、引入资金、先进的技术设备和管理方法,并开拓国外市场、出口制造业产品,从而实现了经济腾飞。全球产业链的出现和发展也给发达国家带来产于世界各地的琳琅满目的廉价商品。但只要技术革命不断推进,同时国家之间和国家内部的全球化红利的分配问题得不到解决,追赶、“雁阵模型”就会失效,“逆全球化”浪潮将无法阻挡,并导致本轮全球化被区域性和碎片化的全球化所替代。据此,国际组织、各国政府和社会团体包括学术界需要做好充分的准备,而极力推进“一带一路”建设的中国必须重视全球化所带来的利益分配问题,以抗衡“逆全球化”浪潮,或为下一轮全球化的可持续发展奠定基础。
在2019年底爆发的新冠疫情开始在全球蔓延之时,笔者就意识到了疫情大流行对全球化和产业链的影响,但我们并不认同流行病本身是“逆全球化”的驱动因素,毕竟任何疫情都会过去,也还会再来。尽管疫情短期可能强化技术革命与收入分配所推动的“逆全球化”浪潮,但其对经济社会国际秩序的冲击是短期的,也不是根本性的。
〔本文为国家自然科学基金会重点项目“新时期扶贫开发理论与政策研究”(NSF 71833003)和青年项目“基于福利函数的贫困识别、度量和应用研究”(NSF 71703088)的阶段性成果〕
为适应微信排版,已删除注释,请见谅。
关注我们
关注本刊微信公众号,请点击上方蓝色的“学术月刊”,或扫描左侧二维码。