上海市社会科学界联合会主管主办
摘要:西蒙和卡尼曼等人发展的行为经济学本质上采取了一种“经济学方法论弱个体主义”。这种新的理论范式坚持从个体出发,探讨社会经济问题;同时又通过认知双系统理论来引入社会因素,通过人的自利偏好与社会偏好的互动关系来刻画人的丰富性与多样性,这样就可以避开高度社会化的理论陷阱。但现在的行为与实验经济学的发展已经逐步偏离了西蒙、卡尼曼等人开创的研究路径,转而选择对新古典经济学的修补。行为与实验经济学有可能为经济学提供一个新的微观基础,但前提是回到西蒙与卡尼曼等人的思想路径。
关键词:方法论个体主义;社会性;弱个体主义
作者:周业安,中国人民大学经济学院教授(北京 100072)。
本文载于《学术月刊》2020年第12期。
目录
一、引 言
二、卡尼曼和特维斯基在经济学微观基础的重塑方面究竟贡献了什么
三、社会偏好的重新解读
四、弱个体主义方法论与新微观基础
一、引 言
经济理论迄今还在寻找一个更好的微观基础。从经济思想史的视角看,过去的经济理论要么直接从整体上构造一个理论体系,要么从单纯的个体来构造一个理论体系,前者缺乏一个微观基础,而后者的微观基础则备受质疑。经济学家对新古典经济学的质疑本质上是对其作为微观基础的质疑,尽管理性预期的引入让新古典经济学在构建微观主体行为模型方面有了近乎完美的技术路径,但理性预期假定本身并无法准确刻画社会中的个体的真实画面。经济学家在运用方法论个体主义时,通过个体之间的社会互动来修补纯粹的个体分析的不足,比如Becker and Murphy、贝克尔和墨菲所做的工作,不过在这种范式拓展的过程中,实际上充分理性的假定已经被悄悄削弱了。20世纪七十八十年代兴起的行为与实验经济学则在这方面走得更远。Tversky and Kahneman把心理学的研究与经济学的研究巧妙地结合起来,构造了一个关于个体决策的前景理论,这个理论的初衷可以理解为替代新古典范式的一次尝试,或者说可以理解为对经济学中微观基础的重塑。在前景理论中,个体不再是纯粹的个体,也不是贝克尔式的人际间社会互动的修补,而是在个体偏好层面直接引入了社会属性。损失厌恶作为一种偏好类型,建立在参考点与相对损益权衡的基础上,而参考点是由社会决定的。这就意味着个体的决策与判断走出了单纯的个体效用最大化的象牙塔,转向真实的社会中的人的行为。
在卡尼曼和特维斯基等人的开创性研究基础上,一些经济学家开始不断拓展偏好的结构研究,并最终形成了一个关于偏好的微观结构理论。这种持续的理论探索都指向新的目标,那就是更好地构建一个新的微观基础。这一理论探索经历了有限理性假说的提出、行为经济学的崛起、实验方法的广泛运用等不同的特定阶段,迄今已经形成了一定的共识。和贝克尔等人的个体间的社会互动的处理方式不同,新的理论探索着眼于个体与社会的互动。新的理论共识在于,个体具有一定程度的社会性,个体既不是独立的纯粹的个体,也不是无差别地融入社会的一分子。个体既保留了自身的属性,也嵌入在社会网络中,附加了不同程度的社会属性。个体既有理性经济人的一面,同时又具有情感、互惠、利他、公平、认同等社会性的一面。个体的这种多样性和丰富性恰恰体现了其真实性,充分反映了个体的理性局限。但在这些共识性的背后,新的理论探索也隐藏着一些重要的分歧,比如对新古典范式的妥协,或者说向新古典范式的退化等等。本文将通过对卡尼曼和特维斯基的前景理论及其代表性的拓展模型进行剖析,进一步讨论社会偏好理论的真实理论含义与隐藏的观点分歧,探讨行为与实验经济学在重塑新微观基础方面的可能性。
▲ 卡尼曼(Daniel Kahnerman)
二、卡尼曼和特维斯基在经济学微观基础
的重塑方面究竟贡献了什么
行为经济学的兴起得益于卡尼曼和特维斯基的一系列开创性研究,其中最重要的一项莫过于他们提出的“前景理论(Prospect Theory)”。前景理论的目标是与新古典经济学的效用最大化理论竞争,其基础是以启发式和框架为基本元素的不确定下的判断与决策的理论。这个理论后来经过了一系列拓展,形成了以参照点依赖、损失厌恶和框架效应等为核心的较为完整的理论模型,成为行为经济学的微观基础之一。
前景理论的主要思想在于,一是有限理性的当事人按照“价值函数”进行决策,而不是新古典理性经济人的效用函数。按价值函数决策与效用最大化决策的根本区别在于以下几方面:(1)当事人依赖启发式决策,遵从框架效应,而不是处处和时时最优化;(2)当事人依据相对损益决策,而不是依据效用来权衡;(3)当事人对相对损益的计算取决于参照点的选择;(4)当事人存在损失厌恶。二是在不确定条件下,当事人按照“权重函数”进行决策,而不是客观概率分布进行加权平均,也就是说,当事人面对客观概率分布,可能会出现高估小概率、低估大概率的偏误,从而决策所依赖的主观概率分布与客观概率分布会不一致,这是当事人经常出现决策失误的重要原因。
前景理论提出来后,在经济学领域产生了广泛的影响。Barberis回顾了近三十年该理论在各种领域的应用。其中最具代表性的是Kőszegi and Rabin提出的“参考点依赖偏好(Reference-Dependent Preferences)”模型,这种模型试图把前景理论与新古典效用最大化理论结合起来,通过假定当事人的参考点是其最近对结果的期望(而不是现状),同时保留了当事人对结果的理性预期。该模型允许当事人效用最大化,但决策会受制于参考点。也就是说,这种模型强调当事人在关注相对损益的前提下,去寻求效用最大化的结果。由于损失厌恶的影响,这种效用最大化结果就会偏离新古典理性经济人的最优化结果。
由于Kőszegi and Rabin把前景理论中的参考点处理成一种期望,实际上就把当事人局限在纯个体的范畴,从而得以与新古典范式保持内在的一致性。这也是他们一直想要做的。以马修·拉宾为代表的部分行为经济学家试图把卡尼曼等人建立的前景理论融入新古典范式中,核心在于修正理性经济人的局限,在既定的理性选择框架内,为其注入“心理学现实主义(psychological realism)”。因此,在拉宾等人看来,行为经济学只是对新古典范式的矫正,并非是一种新的竞争范式。
但Kőszegi and Rabin发展的参考点依赖偏好模型显然把卡尼曼等人的前景理论高度简化了,或者准确地说,是用新古典范式的逻辑将前景理论简化了。其中关键在于对参考点的处理。基于预期的参考点建模方法将参考点与当事人对最近结果的预期联系起来,预期成为人的行为的决定因素的一部分。同时,在这个模型中,当事人决策是嵌入在理性选择模型中的,当事人根据理性预期做出未来的行动计划,假定通过权衡选出某项最优行动计划进行实施,那么实施的行动计划与计划的行动计划是一致的。理性预期假定确保这种计划与实施的内在一致性,从而当事人对最近结果的预期得以在理性选择过程中决定人的行为。
▲ 特维斯基(Amos Tversky in 1970)
单从模型的逻辑看,参考点依赖偏好模型是很成功的,这一模型引发了大量的后续研究,并成为前景理论衍生出来的最广泛应用的模型之一。但这一模型的高度抽象通过向新古典范式寻求一致性,实际上一定程度地偏离了卡尼曼和特维斯基原本的前景理论所蕴含的思想。Kőszegi and Rabin(2006)对参考点的处理相当于从过去的理性预期模型中,分离出一个最近结果的预期,然后假定当事人会对这个最近结果的预期产生依赖。所谓依赖,就是受这种最近结果预期的决定性的影响。这种处理的好处在于参考点可以内生于模型当中,不像卡尼曼和特维斯基早期的外生处理。但这种处理所采取的二元方法和Kahneman及卡尼曼的二元方法大相径庭。Kőszegi and Rabin的二元方法是在传统效用最大化模型中增加一个基于参考点依赖偏好的效用(附加一个相对损益效用函数),参考点的生成则是通过对传统效用函数中的结果的最近的预期,这样一来,理性预期的当事人就可以将传统效用函数的最优化与基于参考点依赖偏好的效用最优化联系起来,统一求解。而Kahneman及卡尼曼的二元方法则是将人的认知系统划分为两个模块,一个是慢系统,指深思熟虑的部分,也就是理性经济人假定的基础;另一个是快系统,指直觉和情感部分,是前景理论的基础。两个系统相互作用,形成了人的复杂行为。在卡尼曼等人的二元系统中,个体就不能一直寻求最优化,当直觉和情感等因素激发快系统占上风时,个体会冲动,会社会比较,会在同一个地方跌倒多次。也就是说,正是因为快系统的存在,西蒙的有限理性才体现出了“有限”一词的意义。
实际上,在Kahneman和卡尼曼的二元系统中,快系统已经超越了纯粹的个体主义方法论,包含情感在内的决策机制隐含着人的社会属性,从而两个系统的互动其实是个体与社会的互动。这是拉宾等人所忽略的关键成分。O'Donoghuey and Sprengerz在总结了参考点依赖偏好模型的诸多研究成果后,也坦承拉宾等人的处理会带来一些问题,比如环境等因素可能会阻碍预期的形成,参考点的多重性等等。迄今在基于前景理论扩展的文献中,关于参考点的定义多种多样,比如基于现状的参考点,基于过去的参考点,基于未来的参考点,基于社会比较的参考点,基于凸显事件的参考点等等。拉宾等人的参考点依赖模型是基于未来的参考点,通过预期来定义。而除了拉宾等人的这种处理方法外,所有其他的参考点的处理均带有不同程度的社会属性。
对参考点的处理涉及两个主要问题,一是参考点的定义;二是参考点的多重性和动态性。在卡尼曼和特维斯基的前景理论中并没有给予参考点明确的定义,并且参考点也是外生的和静态的。那么为何前景理论中会把参考点设置为外生的?实际上这与后来卡尼曼阐述的双系统理论有关。参考点对应快系统,是快系统决策的一个组成部分。个体在按快系统决策时,不再遵从理性经济人的模式,而是遵从启发式、框架等,受直觉和情感等因素的支配。在前景理论中,参考点的设置看似为了计算相对损益的便利,但这并非参考点的本质。参考点的本质是展现参与人的社会属性。如卡尼曼自己所说:“在讨价还价时,双方交换的信息都是想找到一个参照点并给对方提供一个锚定。”Kahneman、Knetsch and Thaler进一步指出,参考点的确立包含了公平的态度。当前的工资、价格或者租金都可能成为参考点。这是一种基于现状的参考点设定,一方面反映了人们不愿改变现状的心理,而另一方面也是人们试图寻求某种公平的努力。卡尼曼等人对参考点的进一步界定显然是带有社会属性的,和拉宾等人的参考点依赖偏好模型有着本质的区别。
假定参考点的设定不是依据现状,而是依据过去,那么同样也无法规避社会属性。因为一个人的过去就是个体与社会互动的历史,个体的过去经验实际上已经是经历了社会过程的认知。个体把过去的经验作为参考点,实际上已经把社会属性纳入到了决策系统当中。突显事件同样也是带有社会属性的。所谓突显事件,就是众多选择中最突出的那个选择。这本身就是一种社会比较。注意,新古典理性经济人也在众多选择中比较,但这比较是对比每种选择的成本收益。而基于前景理论的比较不是比较绝对成本收益,而是比较当事人认同的某些维度,也就是某种框架。一些维度突显,是因为框架得到了认同。假如把这些比较显性化,就是社会比较。参考点在社会比较中才更显示出其存在的意义。何谓相对损益?当然是通过社会比较才得到相对损益。否则,对个体而言,就自己的绝对损益水平的相对化没有意义。一个人一个月挣1万元,本身没有意义。只有当这1万元放到社会的平均收入水平的比较中,才显得有意义。社会比较不仅仅是收入的相对性,其他各种社会特征都可以比较,比如社会地位、工作性质、工作岗位等等。
因此,前景理论的本质在于引入了社会属性,从而让个体行为带有某种程度的社会性质。这样一种处理就完全改变了过去新古典理性经济人的纯粹个体主义的做法。社会属性不再是仅仅体现在约束条件上,更重要的是进入到决策系统。社会属性对决策的影响就是通过参考点机制来实现的。参考点只有个体处在社会中行事才有意义。尽管参考点的引入让个体的决策变得非常复杂,特别是参考点的内生与多重性不好处理,但前景理论的方向无疑是正确的,这是打开人的真实行为的钥匙。也因为参考点处理的困难,后来行为与实验经济学家试图直接引入社会偏好来解决社会性难题。下面我们就来进一步讨论社会偏好的引入意义。
三、社会偏好的重新解读
随着行为与实验经济学影响力的日益增大,社会偏好理论也逐步被人们所熟知。从社会偏好的产生过程看,原本并没有一个理论,仅仅是对一些异象的总结。研究者通过最后通牒实验、独裁者实验等研究发现,给定提议者与回应者博弈,提议者并没有遵循理性经济人行为模式,给出非零价格;回应者也同样没有遵循这一模式,接受任何非零价格。所有的实验证据都显示,相当比例的提议者和回应者更愿意接受某种接近公平的报价。这显然违背了新古典范式的理论预测,是一种异象。如何才能有效解释这种异象?行为与实验经济学家用“社会偏好”一词来构建自己的理论逻辑。按照这一逻辑,假定社会成员本身具有某种社会偏好,主要表现为利他偏好、互惠偏好、公平偏好等,那么其行为就会受该偏好的驱使,表现出和理性经济人不一样的行为特征。
行为与实验经济学通过偏好的重新处理,的确可以比前景理论更方便地融入既有的理论当中。这是因为假如个体的偏好本身就有社会偏好,那么就可以运用二元方法构建一个效用函数,一部分是保留理性经济人的偏好,而另一部分体现社会偏好。实际上后来的社会偏好模型基本上都是采取这种二元处理思路。但就社会偏好本身应该是什么?很少有明确的解答。金迪斯和鲍尔斯把社会偏好看作是社会成员的“亲社会性(prosocial behavior)”;而更多的行为与实验经济学家则采用了“社会偏好(social preferences)”的说法。进一步看,金迪斯和鲍尔斯所代表的“桑塔费学派”所讲的亲社会性其实有着不同的含义,这种亲社会性是对高度社会化的人的一种弱化处理,考虑的是人身处社会中,社会先于人存在,因而社会属性是人与生俱来的、固有的属性。金迪斯和鲍尔斯是西方马克思主义经济学家,在处理社会性上可谓得心应手。在他们的理论中,亲社会性本质上就是社会性,只不过他们不再坚持高度社会化的假定,而是从人和社会的互动过程中寻求社会性的解读。这也是他们后来走上了演化经济学的路径之根本原因。将历史与社会在演化博弈模型中有效地结合起来,注重人和群体之间及其各自之间的博弈,并且强调这种博弈过程演化出社会的千姿百态,是他们的理论的特色所在。
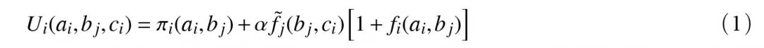
与桑塔费学派的亲社会性不同,行为与实验经济学中的社会偏好更多的是针对新古典理性经济人而言的。这类社会偏好可定义为:“如果(个体)除了关注自身的支付外,还同时关注着其他相关的参照当事人的支付,那么该个体就具有社会偏好”;或者“如果(个体)除了关注自身的支付外,还同时关注着其他相关的参照当事人的支付以及导致这些支付的意图,那么该个体就具有社会偏好”。行为与实验经济学的社会偏好思想可以从Rabin、Fehr and Schmidt等人的模型中更准确地表达出来。Rabin(1993)构造的效用函数如下:
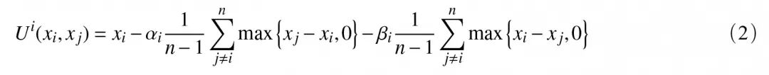
式(1)中,有参与人i,j。ai是i的策略,b和c表示信念,其中bj是i对j策略的信念,ci是i对j推断自己策略的信念。πi(ai,bj)就是理性参与人博弈的支付。f是参与人彼此的信念推断,也就是信念互动,α是互惠偏好系数。式(1)中第二项就是说,在引入社会偏好的情况下,博弈中参与人的效用不仅取决于理性的策略互动,也取决于互惠。互惠所引致的效用取决于两个因素:一是参与人彼此的信念互动,二是参与人互惠偏好的强度,也就是α。因此,在Rabin看来,参与人投桃报李,是出于社会偏好,而不是出于利益的计算。这是其效用函数与新古典理性经济人的最大区别。与Rabin不同,费尔等人更关心博弈过程中的公平性,他们构造的效用函数如下:
式(2)中,有参与人i,j。x是参与人的理性支付,αi和βi表示参与人的公平偏好,也就是不平等厌恶程度,其中αi刻画了劣势不平等厌恶(嫉妒)程度,βi刻画了优势不平等厌恶(内疚)程度。按照Fehr and Schmidt等人的理论,博弈过程中的参与人的效用不仅取决于自身的理性策略选择,而且还取决于自身的公平偏好强度。无论参与人在社会中是处于相对劣势的地位,还是处于相对优势的地位,都可能会受到公平偏好的驱使,而产生不平等厌恶,从而影响到博弈支付。参与人在博弈中的所得偏离他人越多,这种不平等厌恶程度就可能越强烈。
对比Rabin、Fehr and Schmidt两种代表性模型,可以看出的共同点就是继承了卡尼曼等人发展的认知双系统理论,效用函数都是在理性决策的基础上,附加了一个社会偏好。这个社会偏好就是系统1。但卡尼曼也反复解释了两个系统并非真实的大脑构造,而是通过双系统来刻画理性决策与非理性决策的不同性质和运行机制。在实际决策中,这两种系统并没有截然分开,存在复杂的互动关系,时而替代,时而互补。Bowles and Polania-Reyes系统地讨论了经济激励与社会偏好之间的替代与互补方面的复杂关系。因此,Rabin、Fehr and Schmidt等人所构建的模型看似与认知双系统理论一致,但和参照点依赖偏好模型类似,两段式效用函数并不符合卡尼曼等人的原意。实际上可以看作是从双系统理论向新古典范式的妥协。
两种代表性模型也存在很大区别。Rabin的模型中,社会偏好通过意图刻画出来,即两个参与人相互之间的互惠意图,这种基于意图的偏好定义比较符合偏好的原意,但这种定义也很容易陷入贝克尔处理个体社会行为的方式。Becker、Becker and Murphy曾经给出了一个新古典范式的社会互动处理方式,以Becker构造的基准模型为例,Ui=Z(X,R),其中R=Di+H。贝克尔把R定义为社会中其他人影响i的产出的各种因素,其中Di定义为“社会环境”,H定义为个人努力的效应。按照贝克尔的意思,假如个人没有为社会互动付出努力,那么社会对个体的效用的影响就体现在Di上。假如个人愿意为社会互动付出努力,那么这一影响就变成了Di+H。因此,H实际上可以看作是互动意图,是个体愿意为社会互动付出的程度。这样一来,假如我们进一步把H理解成互惠的意图,也就是个体为了互惠付出的努力,那么实际上R可以看成是Rabin模型第二项的简化形式。从这个角度讲,Rabin相较Becker而言,理论的进步体现在两个方面,一是把参与人环境换成了博弈环境;二是把社会因素换成了互惠偏好。这样,Rabin通过引入具有互惠偏好的个体的博弈,可以讨论社会偏好所带来的影响。但从理论本质上说,这种处理方式并没有给Becker的社会互动模型带来实质性的改变,或者说改变不大。
反观Fehr and Schmidt的处理,主要体现在结果的相对差异,这种处理倒是遵循了Tversky and Kahneman的原意,参与人关注相对损益,并且表现出损失厌恶。xi与xj的差反映了相对损益,j的支付就是i的参考点。作为社会中的个体,参与人i不仅在意自身的损益,更在意相对于他人的损益水平。假如自身的收益与他人的收益相差较大,就会产生不平等,而具有公平偏好的个体并不喜欢这结果,不平等会给其带来福利损失。但这种公平偏好理论还是存在两个关键的问题,一是结果的差距是否公平可能要取决于不同的公平观。假定参与人持有机会均等的公平观,那么结果的差距就是可接受的,这样一来,就无法通过相对损益来刻画公平问题。在一个社会或者群体中,对机会均等公平观的认同程度越高,那么对结果差异的容忍度也会越高。但模型中αi和βi并不能准确表达不同公平观所带来的影响。另一个问题是相对损益取决于参考点的选择,如第一节所述,参考点本身是可变的,且动态的。i究竟选择哪个群体或者个体作为参考点?作为参考点的个体未必与作为博弈方的个体重叠。也就是说,当i和j博弈时,i未必会把j作为参考点,而是可能把另一个群体或者个体作为参考点。何况参考点还会随时随地产生变化。参考点的选择本身就体现了个体的社会性,而现有的模型其实很难刻画这种社会性。
因此,两种代表性的理论虽然都不同程度上展示了行为与实验经济学对社会性的处理,但从模型的构建思想来说,更倾向于对新古典范式的修补,而不是创立一种新的范式。这一点与卡尼曼和特维斯基等人早期试图做的努力并不完全一致。因为卡尼曼和特维斯基提出前景理论,本意是作为新古典效用函数的替代范式,并非对新古典范式的修补。不过,行为与实验经济学所提出的社会偏好理论所蕴含的思想还是超出了模型的束缚。就社会偏好本身来说,行为与实验经济学和新古典范式的定义有着天壤之别。新古典范式中的社会偏好是个体简单加总后得到的偏好,是一种总体偏好,也可以看作是一种计划者偏好。个体简单加总的偏好等价于计划者偏好,是新古典范式在处理社会性时所面临的窘境。由于忽略掉了个体的社会性,简单的个体加总形成的社会和计划者并无本质差异。而行为与实验经济学中所提出的社会偏好是个体的社会性的表达,并非社会作为总体的偏好。
按照行为与实验经济学家迄今的研究,个体的社会偏好可以归结为四大类:利他偏好、不平等厌恶偏好、互惠偏好和认同偏好。所谓“利他偏好”,就是指社会中的个体会主动地、自发地和不计代价地帮助他人,也就是说,他人的境况会影响到自身的效用,当一个人处于贫困状态时,当事人会激发起同情心,进而通过捐赠的方式来试图改善其境况,就是一种典型的利他偏好。这种偏好并不要求回报,因而是一种纯粹的社会偏好。所谓“互惠偏好”,就是社会中的个体会在意图上展示出友善,并相互实施友善行为。这种意图上的友善互动正是Rabin模型所刻画的。新古典范式通常将互利互惠处理成个体之间的利益权衡,这并不能解释利益之外的互惠行为。即便在有利可图的情况下,当事人也可能会选择拒绝,因为缺乏意图层面的友善。比如最后通牒博弈中的拒绝率一直都非常可观,就是这种意图层面的互惠的驱动。当然,这种意图互惠有时候也可以理解成公平偏好。所谓“公平偏好”或“不平等厌恶偏好”,就是说社会中的个体关心相对损益,存在损失厌恶。如Fehr and Schmidt的模型所刻画的那样,当事人与作为参考点的其他人或者群体之间的收入差距会影响到其效用本身。对公平的追求是人们与生俱来的本能,这是个体在公平偏好层面上对社会性的展示,因为只有个体身处社会中,并具有社会属性,才会在意公平。就新古典范式的理性经济人而言,并不需要公平偏好,因为当事人身上的社会属性已经被剥离了。认同作为社会偏好,体现了社会中的个体与群体在信念上的高度一致性,社会中的个体总是归属某些群体,群体成员相互之间在信念上达成一致,并生成群体信念,无论是在位成员还是新加入成员,都认同该信念,那么群体就会稳定下来,而群体信念也相应地固化下来,并演化出群体文化等非正式制度安排。群体成员通过对群体信念的认同,就会在偏好层面上带上群体信念的特征,从而在具体行为上表现出对群体信念的某种遵从。比如中国人重视家国信念,在具体行为上就会表现出自发的集体秩序遵从与维系,就是认同偏好的展现。
新古典范式由于剥离了个体的社会属性,社会之于个体而言,不过是一个加总的结果。而身处社会中的个体对待社会,不过是面对各种约束条件。所以,在新古典范式中,其实是没有社会的,一般均衡所反映的社会并非真正的社会。而对行为与实验经济学而言,社会非常重要。社会并非个体的简单加总,而是个体之间的相互链接,这种链接过程构成社会互动。社会互动是具有社会性的个体之间的互动,不是简单的加总。这种互动会展现出社会偏好的作用,除了利己,社会成员还会普遍展现出利他、互惠、公平与认同的行为特征,从而形成了社会的千姿百态。个体对社会的遵从也不是简单服从,而是通过不同社会成员相互之间形成一致信念,并且每个社会成员对该信念认同。从这个意义上说,行为与实验经济学的社会偏好理论也并不是完全社会化的处理方式。实际上,这种社会偏好理论与格兰诺维特的适度社会化的理论不谋而合,都不赞成去社会化和去个体化。具有社会偏好的个体就是适度社会化的个体,这种个体首先是个体,其次才是社会性,而不能反过来。因此,行为与实验经济学的社会偏好理论脱胎于新古典范式,但又是对新古典范式的反叛,而不是对其简单的修补,从这个意义上说,行为与实验经济学在思想史上的进步意义可能被绝大多数行为与实验经济学家自身严重低估了。
四、弱个体主义方法论与新微观基础
对经济理论而言,如何理解和处理个体行为?这将成为不同理论的分水岭。新古典经济学通过对个体进行完全去社会化的处理,将个体变成纯粹的个体,不再带有任何社会属性,这是理性经济人假定得以有效运行的关键一步。因为只有完全去社会化,才能够构建个体的完全独立决策的模型,并且充分理性地进行利益最大化的选择。而个体完全去社会化以后,新古典经济学也得以从古典政治经济学的复杂语境中完整挣脱出来,成为独立于古典政治经济学的新范式。去社会化的处理当然有其好处,首先一点就在于,去社会化以后,个体的偏好可以通过效用函数来加以表达,而社会可以表达成环境约束,如此一来,个体身处社会之中,就是面对环境约束进行理性经济人式的效用最大化决策。这样可以让理论逻辑做到极简,也便于运用数学语言对复杂的社会经济问题进行抽象。
其次,去社会化的另一个好处就是可以和方法论个体主义完美契合,从而在经济理论当中,个体的自由选择成为先验的价值判断,无需证伪。给定这个先验的价值判断,经济理论仅仅需要关注价格机制,无需关注其他。只有当市场出现失灵了,其他的部分才会一一展现出来。而这一整套的经济理论把价格机制的最合意性质当作不证自明的存在。给定完全竞争市场的一系列假定,那么纯粹的个体的理性经济人行为足以引发社会整体的福利最大化。这正是“看不见的手”的新古典解释。有了这个不证自明的存在,所有的经济问题转化成了对完全竞争市场假定条件的违背,而所有对市场失灵的治理之目的都是为了让经济系统趋近于完全竞争。
新古典经济学就是依靠这个看似圆满的理论逻辑来支撑整个经济学的大厦。新古典经济学的微观基础是什么?就是作为理性经济人的个体决策。决策可以是当期,也可以是跨期。个体独立决策,不会受他人影响。个体面临预算约束,这是社会性的体现。个体决策的结果加总起来,就是社会的结果。宏观变量就是个体行为的累加。作为总体的社会和作为个体的个人之间的关系就是一个简单加总的关系。正是由于这种关系,个体利益最大化的结果不仅是对个体最优的,同时也是对总体最优的。价格机制实现了个体与社会的内在一致性,这是宏观上的秩序的体现。社会的秩序得益于个体的利益最大化行为,当每个人都进行利益最大化决策时,社会秩序自然就形成了。在这种情况下,社会秩序本质上等同于个体的自由选择。那么只要个体选择自由,社会就是有序的,且这种有序不仅是有效的,而且还是正义的。帕累托最优和机会均等同样具有内在一致性,即便出现了极端的结果不平等,只要机会均等没受到侵蚀,这种极端结果仍然是正义的。
新古典范式有其逻辑自洽的理论体系,这种理论体系不仅简洁,而且也有一定程度的解释力。理论的高度简化不等于理论解释力的弱化,与新古典范式竞争的那些复杂理论体系未必具有新古典范式的强大解释力,这也是新古典范式在很长一段时期能够成为经济学的主流范式的缘故。正如Lovett所指出的,理性选择模型是最简洁的因果关系的呈现。这个观点比较客观地刻画了新古典范式的理论优势所在。但随着经济学的不断进步,特别是更好的研究方法的不断涌现,原先复杂的因果关系也能够有效地进行推断,而无需进行极简的理论假定。特别是当新古典范式试图扩大自己的理论解释范围时,就会面临自身的各种局限。这些局限不仅仅体现在完全竞争市场的假定上。个体偏好加总成社会偏好本身就成为一个问题。阿罗不可能定理就是这样一个困境的生动描述。个体偏好通过何种机制加总?以及如何才能形成一个社会的偏好?这本身就依赖极其严格的条件。新古典范式试图将个体决策局限在纯经济领域,价格机制作为“看不见的手”能够自动将个体偏好加总成社会的偏好。而实际上通过参与人偏好同质化的处理,这种加总只是结果的加总,并非是偏好的加总。一旦偏好呈现出多样化的状态,如现实中的人的偏好的真实状态,那么关于个体的偏好的加总是如何形成社会的偏好的?这个问题新古典范式实际上无法回答。
新古典范式试图从最简洁的个体行为推演出复杂的社会秩序,这被当时的主流经济学家解读为经济学的科学化。但新古典范式这种逻辑其实存在显而易见的缺陷。首先,去社会化导致个体加总过程中必须过滤掉所有社会因素,这就意味着在新古典范式中,每个个体都独立决策,不会相互影响。不存在社会比较,不存在外部性,更不会出现偏好的多样化。其次,个体的社会性还导致理性约束成为一个关键问题。新古典范式假定个体完全理性,后来拓展到动态的理性预期。这是新古典范式一直坚守的一个基本假定。充分理性的假定背后存在一个去社会化的基础。只有完全去社会化,个体与历史进行了完全的切割,个体和社会也进行了完全的切割,纯粹的个体的充分理性假定才看起来正确。此时个体理性仅仅取决于信息和最优化模型,而不取决于社会与历史。新古典范式的这种去社会化的做法让其很难解释复杂多样的社会及身处其中的人。尽管新古典范式有一定的理论解释力和预测力,但也仅限于一定程度。也正因为清楚地知道新古典范式的困境,作为经济学帝国主义的旗手的贝克尔也不得不寻求理性的弱化以及社会互动的引入,来试图弥补新古典范式的不足。这说明贝克尔对纯粹个体的理性选择模型也不是很满意的。
新古典范式的内在困境与其坚守的经济学方法论个体主义内在相关。但经济学中的方法论个体主义究竟是什么含义?迄今并不是很清楚。如布劳格所言,熊彼特将经济学中的方法论个体主义与政治学中的个体主义区别开来,但并不是每个学者都这么做,延续波普等人传统的学者并没有进行这种清晰的分离。卢瑟福将经济学中的方法论个体主义概括为三要素:只有个人才有目标和利益(即社会并没有目标和利益,社会的目标和利益不过是个人目标和利益的加总),个人行为生成社会及其变迁路径,因此,社会现象最终都应该根据个体特征及其相互关系来解释。显然,按照经济学的方法论个体主义的这种常规解释,并不存在独立于个体目标和价值之外的社会目标和价值,当然也就更不会存在超出个体加总之外的总体结果。这样一种理解固然可以比较清楚地界定个体与社会之间的关系,或者说从个体来界定社会,从而让社会变得更为清晰。但这解释也无法回答真实的社会所具有的众多现象,比如社会的确具有超过个体加总之外的结果,即社会可能大于个体的总和。在新古典范式的自我修正中,这种异象可以通过外部性来解释。个体行为产生了正外部性,从而总体会大于个体的简单加总。但这样解释所引发出来的一个问题就是,为什么会出现正外部性的行为?比如,做好事具有正外部性,为什么个体要做好事?单纯地从理性经济人角度很难解释这一现象。
新古典范式对社会现象的解释有时候是颇为牵强的。比如贝克尔在解释成瘾行为时,强调不同时期消费之间的相互影响,比如互补性,即相邻互补性(adjacent complementarity),但实际上过去的消费和未来的消费本身是无法相互影响的,真正使之看起来有相互影响的是个体的行为本身。假定个体对某种物品的消费产生了路径依赖,那么作为结果,不同时期的消费看起来的确是关联的。贝克尔也不是用这种结果来解释成瘾行为,而是试图用结果的关联性来定义成瘾行为。在解释成瘾行为的时候,他承认,必须采取弱理性,即随着对当前的时间偏好的增加,消费者会变得越来越缺乏预见性。可见贝克尔在分析成瘾行为时,也不得不考虑新古典范式的局限。贝克尔与墨菲发展的理性成瘾模型确实具有一定的解释力,但争议也很大。这些争议的焦点就是对成瘾者而言,是否还在理性决策?贝克尔的理论将新古典范式的麻烦体现得淋漓尽致,究其原因,一个重要的方面还是方法论个体主义自身的含混。正如Hodgson所批评的,方法论个体主义本身非常模糊不清,究竟是通过纯粹的个体来解释社会,还是从个体及个体之间的互动来解释社会,还是从个体及其社会结构来解释社会?似乎每个方法论个体主义的坚守者都有各自的理解。假如我们把纯粹的个体视角当作经济学方法论个体主义的基准,那么按照Hodgson的说法,贝克尔的很多处理就是对这种基准的弱化,在Becker and Murphy的理性成瘾模型中,理性被弱化了;在Becker and Murphy、贝克尔和墨菲中,个体的互动关系至关重要,实际上也是对纯粹个体视角的弱化。这些弱化的处理可视为新古典范式的坚守者对真实世界的妥协,也可以理解为向真实世界的回归。这种回归的本质就是把完全去社会化的做法进行缓和,悄悄地通过不同的路径来引入一些社会化的元素。
因此,新古典范式的真正困境不在完全竞争市场的假定条件,这些假定条件在经济学的发展过程中都得到了放松,并且在新古典范式基础上经济学理论得到了成功的拓展。即便是个体互动这类复杂问题,也因为博弈论与信息经济学的兴起而得到了有效的解决。实际上贝克尔等人在新古典理论框架下也成功地处理了个体互动问题。只不过个体互动不代表个体的社会性的全部。纯粹的个体之间的互动并不构成一个真实的完整的社会。所以Arrow特别强调,尽管个人主义立场具有吸引力,但经济理论必须包含超越个人的社会因素。阿罗进一步明确指出,在研究经济或任何其他社会制度时,社会变量是必不可少的,这些社会变量超越任何特定的个人,尤其是知识和技术信息等都具有内在的社会性。因此,在阿罗看来,个体作为社会成员与生俱来带有社会属性,这些社会属性是个体作为社会成员的共性,而非个体的特性,更不是新古典范式通过约束条件和加总机制所表达的那种社会性。但阿罗所讲的社会因素也不能理解成完全社会的人。如何才能有效地处理阿罗的社会因素?实际上,阿罗的想法和行为与实验经济学家不谋而合。卡尼曼与特维斯基所提出的前景理论就是这种想法的一种呈现方式。在前景理论中,个体依旧在保持理性决策,但与新古典范式相比,有了两个本质的变化,一是通过参考点与相对损益的引入,复活了个体原本就自带的社会因素,因为参考点必然在社会这个层面上才有意义,而相对损益就是相对参考点的损益,本质上就是社会比较中的得失。因此,前景理论可以看作是一种直面社会因素的新个体选择理论,而不是纯粹个体理性选择理论。二是前景理论中的个体决策并不仅仅是理性的,理性决策只不过是认知系统中的系统2,而人的决策与判断同样还会倚重以直觉为代表的系统1,这就是前景理论中突出启发式和框架等认知机制的原因。
当然,除了要避免新古典范式的完全去社会化倾向,同时,也要避免完全社会化倾向。完全社会化就是去个体化,把个体看作是群体的一员,社会是由群体构成,群体行为等价于个体行为。也就是说,个体归属某个群体,就具有了该群体的特征,从而其行为从属于该群体的行为。在群体中,个体同样失去了偏好的多样性和丰富性。去个体化的处理很容易导致群体的标签化,群体被简单地通过一些维度贴上某些标签,这些标签代表了群体的本质特征,并决定了该群体的行为。例如,在日常生活中,经常会出现地域歧视。因为一些特定事件,给某个地方贴上某个标签,并据此推断这个地方的所有的人都归属于这个标签,并给予差别待遇。这种地域歧视就是典型的去个体化。去个体化的方法论把人和社会的复杂关系简单化处理,这样看似省去了新古典范式那种加总过程,但同样面临新古典范式那样的困境,即无法体现人的偏好的丰富性和多样性。
要直面现实的世界与真实的人,还是得回到行为与实验经济学的理论上来。按照卡尼曼和特维斯基等人发展的行为经济学思想,个体的理性是具有历史烙印的,带有明显的社会属性。这就意味着去社会化和完全社会化都是不符合人的本质的。从人的本质看,人的偏好具有丰富性和多样性。丰富性反映了偏好作为历史的演化过程的产物,而多样性则体现了作为社会的人的偏好的性质。比如,竞争偏好的性别差异既体现了性别差异在人类演化过程中形成的路径依赖,同时又反映了性别的社会属性。再比如,利他行为同样是演化的结果,同时又是社会属性在个体偏好上的展示。人的偏好的多样性和丰富性是经济学理论的出发点。离开了这个出发点,经济学理论都会走进死胡同。如果把人的偏好标准化,社会福利最大化就会遵从这个标准化后的目标,和人的全面发展相违背了。经济学的目标就是促进人的全面发展,而要实现这个目标,相应的理论就必须面对人的偏好的丰富性和多样性难题。格兰诺维特曾经用低度社会化和过度社会化来批评去社会化和去个体化两种极端倾向。他指出:“对人类行为的完整分析,应该尽量避免过度与低度社会化的孤立问题。行动者既不是像独立原子一样运行在社会脉络之外,也不会奴隶般地依附于他/她所属的社会类别赋予他/她的角色。他们具有目的性的行动企图实际上是嵌在真实的、正在运作的社会关系系统之中的。”和格兰诺维特的思想内在一致,行为与实验经济学正试图找回经济学缺失的社会因素,同时又避免去个体化倾向。笔者把这种理论上的尝试称作“弱个体主义”方法论。“弱个体主义”方法论通过在个体偏好上引入亲社会性,从而矫正了个体主义方法论的缺陷;同时,这种方法论又保留了个体充分理性的一面,是理智与情感的复合体,因而又避免完全社会化的不足。
不同于纯粹个体化的理性经济人和完全社会化的理性人,“弱个体主义”方法论把个体看作是适度社会化的人,这种人首先是个体,同时具有社会属性,其偏好具有一定的结构化特征。对这种个体的偏好进行研究的理论可以称作“偏好的微观结构理论”。偏好的微观结构理论不再强调人的充分理性,而是把理论建立在西蒙的有限理性假说和卡尼曼的认知双系统理论基础之上。按照西蒙的定义:“有限理性,即与我们对人类实际中的选择行为的认知相一致的理性,则假定决策者必须通过搜寻才能获得选择的可行办法,对行动所能产生的结果的知识很不完备且不准确,并采取期望中的满意的行动(在满足约束的条件下达到目标)。”西蒙的有限理性突出了个体理性的局限,这种局限来自知识和认知能力的局限,在理性的局限下,个体无法遵从最优法则,而只能采取满意原则。如果把西蒙的有限理性引申开来,那么导致这种理性局限的一个隐含的关键因素就是人的社会性。由于社会复杂且不确定,社会作为历史深深烙印在每个人的大脑中,个体由此获得了多样性和丰富性的偏好,不再是冷冰冰的理性经济人,而是有血有肉的理智与情感并存的人。有限理性不否认人的理性的一面,但同时强调,诸如情感等因素同样非常重要,同样会影响人的行为。所谓满意,就是纠缠于理智与情感之间求取的妥协。这实际上就是卡尼曼后来的认知双系统理论的表述,系统1代表直觉,系统2代表理性,由于个体决策与判断时两个系统相互纠缠,使得个体无法做出新古典理性经济人那种最优决策,而只能做出西蒙式的满意决策。满意在卡尼曼与特维斯基的前景理论中就是相对损益的最大化。无论是西蒙还是卡尼曼,在讨论理性局限时,都纳入了社会性这一关键因素。情感必然是社会的,也必然是历史的。系统1既具有历史性,也具有社会性,恰恰就是阿罗所期望超越个体的社会因素的考量。
把行为与实验经济学的诸多理论背后所隐藏的方法论称之为“方法论弱个体主义”,是相对新古典经济学所坚持的方法论个体主义而言,正如贝克尔自己承认的那样,在讨论社会现象时,不得不借助弱理性的概念。而引入社会互动,本身就意味着对纯个体的经济学方法论个体主义的弱化,因为个体互动必然会与社会结构形成关联,而社会结构是一种强社会性的概念。一旦对社会互动的处理走向社会结构的模式,个体的社会化程度也会趋向完全社会化。行为与实验经济学摆脱了这种潜在的高度社会化的陷阱,转而从个体的偏好结构入手,通过社会偏好的引入,来体现个体与生俱来的社会因素。这样一来,个体与社会就获得了良好的内在一致性,从而关于个体与社会的复杂关系就有了更有效的分析路径。当社会因素归结到个体偏好时,说明行为与实验经济学仍然是坚持个体主义的;当社会偏好独立于自利偏好存在,并且与自利偏好形成复杂的纠缠关系,相互作用,挤入或挤出,从而形成了一个偏好的微观结构,决定了丰富多样的人生,这就意味着行为与实验经济学试图从根本上摆脱新古典范式,也就是完全不同于纯个体的方法论个体主义,但又不是某种形式的整体主义,所以,概述为方法论弱个体主义也未尝不可。只是这种弱化并非贝克尔式的弱化,而是一种相对新古典范式而言竞争范式的构造。这也正是卡尼曼与特维斯基的本来目的。前景理论以及认知双系统理论都可以看作是新古典范式的竞争范式,两者对个体的看法有着本质差别。
不过迄今为止行为与实验经济学家并不认为自己的理论存在一种不同于贝克尔式的个体主义弱化,而是视为对新古典范式的修补。无论是参考点依赖偏好模型还是社会偏好理论的建模,从大多数代表性思路看,都还没有完全摆脱新古典范式的阴影。或者说,当许多行为与实验经济学家在引入社会因素时,依旧遵循着经济学方法论个体主义的成规,而轻视了西蒙、卡尼曼和特维斯基等人开创的新范式的本质要义。这也是现在行为与实验经济学让人看起来有点丛林化的重要原因。假如行为与实验经济学家依旧循着修补新古典范式的路径走,那么新微观基础的构建也不太可能。除非能够回到真正的弱个体主义的路径,将社会性作为一个关键要素来建模。
〔本文为教育部重大专项课题“党的创新理论引领贯彻理论经济学知识体系研究”(19JZDZ002)的阶段性成果,文责自负。〕
为适应微信排版,已删除注释,请见谅。
关注我们
关注本刊微信公众号,请点击上方蓝色的“学术月刊”,或扫描左侧二维码。