电活性聚合物(Electroactive Polymer, EAP)是一类能够在外电场刺激下可以改变自身形状尺寸,且外界电刺激撤销后又能恢复到原始的形状尺寸的智能聚合物材料。在电活性聚合物材料中,介电弹性体(Dielectric elastomer, DE)材料是近年来学术界和工业界备受关注的一种电子型电活性聚合物材料。介电弹性体(也就是介电弹性体器件)是一般由芯层的聚合物弹性体薄膜和上下柔顺电极(compliant electrode)组成。它能够在电场驱动作用下发生厚度方向压缩变形和平面方向扩展变形。与其他致动材料相比,介电弹性体材料的致动性能具有变形大、能量密度大、响应速度快等优点。 因此,介电弹性体材料被认为是最有前景的“人造肌肉”材料,在软体机器人、可穿戴智能设备、智能假肢、盲文显示、触觉传感器、智能医疗机械、微流控装置、航空航天、光学器件以及能量收集等领域中具有广泛的应用前景。然而,介电弹性体的较高驱动电压严重地限制了其实际应用。因此,如何制备具有低驱动电压的介电弹性体材料是实现介电弹性体实际应用的重要挑战之一。
近年来,具有微相分离结构的热塑性介电弹性体(例如,SEBS、聚氨酯等热塑性弹性体)由于比传统的化学交联的均聚物介电弹性体(如硅橡胶、丙烯酸橡胶)相比具有更高的驱动应力、结构调控性、加工性和优异的物理性能,而受到关注。然而,热塑性介电弹性体的多相结构与介电、电致形变性能关系的理解是拟解决的一大难题。
为了理解具有多相结构的热塑性介电弹性体的结构与介电性能、以及电致形变性能关系,梁永日教授团队利用具有端羟基聚丁二烯-丙烯腈共聚物(HTBN),六亚甲基二异氰酸酯(HDI)和二元醇为单体合成了一系列聚氨酯弹性体材料,并通过扩链剂的长度、化学结构和硬段含量,调控了聚氨酯的结晶性、微相分离,从而调控聚氨酯弹性体的凝聚态结构。
图1. 聚氨酯弹性体的合成方法及结构调控式
前期工作基础上,该团队利用同步辐射SAXS和WAXS、粘弹性AFM及FTIR方法表征了聚氨酯弹性体的多尺度结构,证实了聚氨酯弹性体通过结晶和微相分离可形成几十到几百纳米的硬相区(HD)富集区和软相区(SD)富集区,且HD富集区中共存在结晶相、HD和少量SD相,而SD富集区中存在SD和少量HD相。而且该团队发现聚氨酯弹性体的二元醇的链长度影响硬段(HS)的构象,进而影响HS的结晶能力以及HD形态。
图2. 不同扩链剂长度的聚氨酯弹性体 (A) WAXS图,(B)SAXS图,(C)粘弹性AFM图
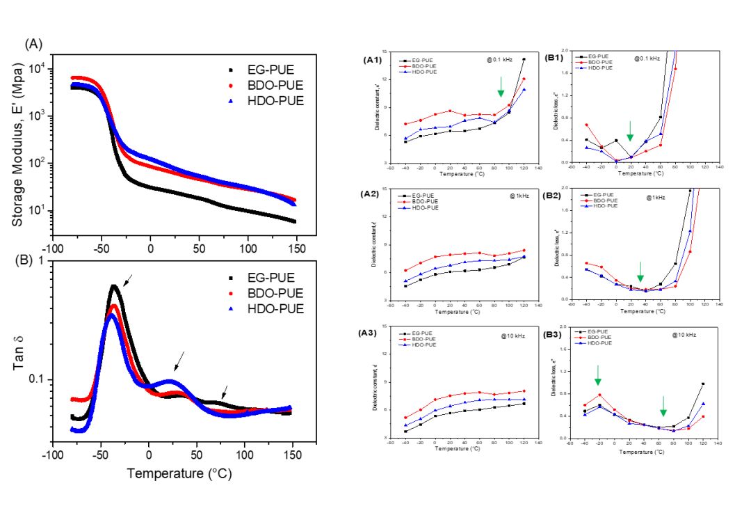
该团队通过动态力学谱和动态介电谱,发现了聚氨酯弹性体在常温下的力场和电场响应性主要来自于在不同相区域受限的聚氨酯的软段(SS)运动的贡献。由于SS在HD富集区中受限于片晶之间和HD之间,其链段运动受限于结晶相和HD。因此,通过结晶和微相分离可有效地调控SS的运动能力,从而调控聚氨酯弹性体在常温下的介电性能和力学响应性。
图3. 不同扩链剂长度的聚氨酯弹性体 (A) 温度依赖的弹性模量图,(B)温度依赖的力学损耗因子图,(A1)和(B1)在100Hz下温度依赖的介电常数和介电损耗因子图,(A2)和(B2)在1kHz下温度依赖的介电常数和介电损耗因子图,(A3)和(B3)在10kHz下温度依赖的介电常数和介电损耗因子图。
由于聚氨酯弹性体的介电常数和弹性模量影响介电弹性体的电致形变性能,该团队结合结构与介电性能和力学性能关系的理解,进一步理解了聚氨酯弹性体的电致形变行为。根据研究结果发现,聚氨酯弹性体的电致形变的驱动力是来源于Maxwell应力和电致伸缩效应(electrostriction),且电致伸缩效应比例高于66%,且EG-PUE具有−3.06 × 10−17 m2/V2 的电致形变系数和1.22 × 104 m4/C2的电致伸缩系数。该电致伸缩系数高于已发表的聚氨酯弹性体的2个数量级。而且通过分析发现,在低驱动电场下电致伸缩作用对介电弹性体的电致形变起非常重要的作用,依赖于聚氨酯的微观结构。研究结果表明,通过结晶和微相分离,可调控热塑性介电弹性体的电致伸缩效应的作用,从而有望实现介电弹性体在低电场下的大形变。
4. 在1KHz下(A) Maxwell应力诱导的厚度电致应变,(B)Eelectrostriction 效应诱导的厚度电致应变.
该工作对多相结构的热塑性弹性体的结构与介电、电致形变性能关系提供新的理解,并对具有高介电性能的热塑性弹性材料的制备,以及为实现低电场驱动的介电弹性体的制备提供新的思路。
以上相关成果发表在Macromolecules ,Polymer (Polymer,2017,132,180-187), RSC Advances (RSC Advances. 2017, 7, 55610-55619) 和Journal of Materials Science (2017,52, 10321-10330) 上。论文的第一作者为北京石油化工学院硕士生项东,通讯作者为梁永日教授,合作者为北京化工大学刘力教授。
论文链接:
https://pubs.acs.org/doi/10.1021/acs.macromol.8b01171
https://linkinghub.elsevier.com/retrieve/pii/S0032386117310480
http://pubs.rsc.org/en/content/articlelanding/2017/ra/c7ra11309a#!divAbstract
https://link.springer.com/article/10.1007%2Fs10853-017-1170-y
高分子科技原创文章。欢迎个人转发和分享,刊物或媒体如需转载,请联系邮箱:info@polymer.cn
关注高分子科学技术 👉
长按二维码关注
诚邀投稿
欢迎专家学者提供稿件(论文、项目介绍、新技术、学术交流、单位新闻、参会信息、招聘招生等)至info@polymer.cn,并请注明详细联系信息。高分子科技®会及时推送,并同时发布在中国聚合物网上。
欢迎加入微信群 为满足高分子产学研各界同仁的要求,陆续开通了包括高分子专家学者群在内的几十个专项交流群,也包括高分子产业技术、企业家、博士、研究生、媒体期刊会展协会等群,全覆盖高分子产业或领域。目前汇聚了国内外高校科研院所及企业研发中心的上万名顶尖的专家学者、技术人员及企业家。
申请入群,请先加审核微信号PolymerChina
(或长按下方二维码),并请一定注明:高分子+姓名+单位+职称(或学位)+领域(或行业),否则不予受理,资格经过审核后入相关专业群。