冰主要由正六面体结构的晶体颗粒组成,通常条件下呈现脆性行为。虽然冰在非常低应变率载荷下表现出一定的塑性行为,但是无法像金属一样具有优良的韧性。因而除了冰屋以外,极少被考虑作为一种工程结构材料。
该研究发现,含水量高达88%的水凝胶材料在冰冻条件下,受压缩时不仅展现出优异的韧/塑性,同时具有高的压缩屈服强度。冰冻条件下,该材料外观与冰类似,且拥有冰的大多数物理性能。当温度低于-25 ℃时,不仅具有高的压缩模量(~1 GPa)和压缩屈服强度(~20 MPa),而且在很宽的低温范围以及高应变率条件下,具有优良的韧性来承受多种大变形(比如弯折、扭转和加工成形等)。此外,该“韧性冰”还能被反复使用,低温下的塑性变形在室温下能完全恢复。该研究对于发展低成本、环境友好型、应用于低温领域且具有高强度高韧性,以及可重复使用的工程结构材料,具有重要的启发。
图1. “韧性冰”的高韧/塑性、大变形以及可重复使用特性。(a) 室温24 ℃下含水88% 的CA/PAAm 水凝胶 (b) -25 ℃冰冻CA/PAAm水凝胶 (c) -25 ℃环境温度下,承受大压缩变形的冰冻CA/PAAm水凝胶(d)温度恢复至室温后压缩力学性能的比较(e)再次重复冰冻后低温压缩力学性能比较。
为了使冰在宏观破坏之前呈现塑性变形,在材料内部出现大的裂纹之前需要先通过塑性流动或者微裂纹引起非线性大变形,且该塑性流动需以非局部性形式被稳定和限制。针对冰易碎的特性,曲绍兴教授研究组和合作者通过引入少量的高分子网络(高含水量的水凝胶)来约束冰晶颗粒大小的形成,较小的冰晶颗粒(~2 µm)对于裂纹的扩展不那么敏感,而聚集的高分子链又由于结合水的低冰点特性能承受较大的变形。当外载荷引起内部冰晶剪切带形成,这种柔软而灵活的高分子网络可以抑制剪切带的扩展,高分子网络被拉伸增强以后又能限制剪切带的进一步流动,从而使得材料能承受大变形而不产生宏观破坏裂纹,展现出良好的压缩塑性。
图2. 冷冻扫描电镜下的冰冻水凝胶内部结构形貌。(a) 单网络刚性海藻酸钠网络(CA)冰冻水凝胶 (b) 单网络柔性聚丙烯酰胺网络(PAAm)冰冻水凝胶 (c) 双网络CA/PAAm冰冻水凝胶网络冰冻水凝胶。
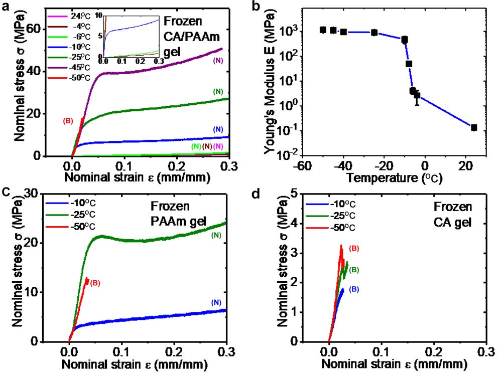
通过一系列低温压缩试验,该研究发现“韧性冰”不仅具有和自然冰同一数量级的模量,还能在高应变率条件下(>10-3 s-1)承受自然冰无法承受的高压缩载荷,以及承受大的压缩变形。在-45℃时,屈服强度高达40 MPa。这意味着一个饮料瓶盖面积大小的样品,可以承载两辆小汽车的重量,而这是自然冰不能做到的。当其压缩变形达70%时,应力可达100MPa,而材料仍未破坏或出现宏观裂纹。
图3. “韧性冰”低温条件下的力学性能。(a) “韧性冰” 冰冻CA/PAAm水凝胶在不同温度下的压缩应力-应变曲线 (b) “韧性冰”模量随温度的变化曲线 (c)柔性PAAm冰冻水凝胶在不同温度下的压缩力学曲线 (d)刚性PAAm冰冻水凝胶在不同温度下的压缩力学曲线
图4. “韧性冰”低温条件下的大变形行为 (a) 打结 (b) 弯折 (c) 弯折扭转 (d) 加工成形
视频:“韧性冰”可以像金属一样被加工成“槽钢”形状。
以上相关成果发表在Extreme Mechanics Letters。论文第一作者为浙江大学航空航天学院已毕业硕士生饶平(日本北海道大学博士,现为南方科技大学博士后),共同第一作者为浙江大学航空航天学院李铁风教授、浙江大学高分子系吴子良研究员,通讯作者为浙江大学航空航天学院曲绍兴教授,浙江大学航空航天学院杨卫院士和博士生杨栩旭、南方科技大学洪伟教授、纽约城市大学虞洪辉副教授、马来西亚理工大学Tuck-Whye Wong为论文共同作者。
论文链接:
https://doi.org/10.1016/j.eml.2019.02.008
相关进展
吉林大学孙俊奇教授课题组:聚电解质复合物纳米粒子增强增韧的高强度自修复与可循环利用水凝胶
上海交通大学冯传良教授课题组与北京大学口腔医院邓旭亮教授、卫彦副教授团队在手性水凝胶的研究方面取得新进展
中科院长春应化所陈学思研究员和肖春生副研究员团队:基于亚胺硼酸盐和硼酸酯键的可注射自修复水凝胶及其多重响应性能研究
高分子科技原创文章。欢迎个人转发和分享,刊物或媒体如需转载,请联系邮箱:info@polymer.cn
关注高分子科学技术 👉
长按二维码关注
诚邀投稿
欢迎专家学者提供稿件(论文、项目介绍、新技术、学术交流、单位新闻、参会信息、招聘招生等)至info@polymer.cn,并请注明详细联系信息。高分子科技®会及时推送,并同时发布在中国聚合物网上。
欢迎加入微信群 为满足高分子产学研各界同仁的要求,陆续开通了包括高分子专家学者群在内的几十个专项交流群,也包括高分子产业技术、企业家、博士、研究生、媒体期刊会展协会等群,全覆盖高分子产业或领域。目前汇聚了国内外高校科研院所及企业研发中心的上万名顶尖的专家学者、技术人员及企业家。
申请入群,请先加审核微信号PolymerChina
(或长按下方二维码),并请一定注明:高分子+姓名+单位+职称(或学位)+领域(或行业),否则不予受理,资格经过审核后入相关专业群。
这里“阅读原文”,查看更多