水凝胶的形状控制在仿生学,软机器和生物医学工程等领域应用广泛。磁场因其具有远程遥控、局部驱动和生物相容的特性,在多种场合有着不可替代的用途。然而现有的磁驱动软结构多为磁弹性体而非磁凝胶,因为磁凝胶的磁化强度太低,难以在静态磁场下发生复杂变形。
西安交通大学软机器实验室研究人员,提出一种新的策略来实现磁凝胶的形状控制(ACS Appl. Mater. Interfaces, 2019)。制备同时对磁场与温度敏感的磁性聚N-异丙基丙烯酰胺水凝胶(PNIPAm),磁凝胶在动态磁场下具有磁热效应,当温度上升到临界温度之后,磁凝胶发生体积变形。通过磁凝胶-弹性体的双层梁设计,可以实现结构的弯曲;发现曲率在临界温度附件急剧变化。
图1 运用磁热效应控制磁凝胶形状变化的原理
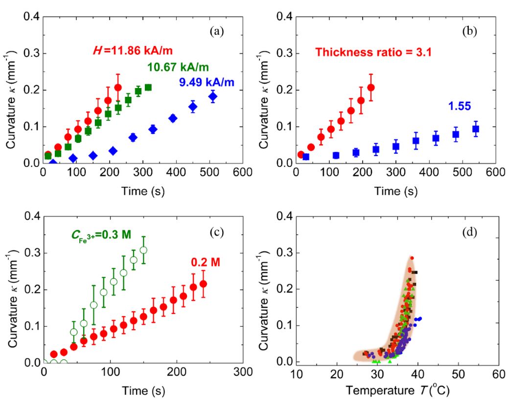
为了探究该变形机制的影响参数,作者改变磁场强度,双层梁的厚度比,磁性粒子含量,发现所有的数据在温度-曲率图中重叠在一起,意味着所有双层梁的曲率都会在某一临界温度下发生急剧的增长。这一临界温度约为34 °C,与PNIPAm水凝胶的LCST接近,说明该磁凝胶的变形实质上是由温度决定的。
图2 影响磁凝胶形状变化的基本参数
通过设计磁凝胶在弹性体基底上的分布形式,作者展示了各种各样的二维结构和三维结构;并且利用日常生活中的“铰链”的概念,实现了简单的折纸结构。
图3 动态磁场驱动的二维、三维和折纸结构
最后,综合利用静态磁场和动态磁场,实现了磁导航和磁变形。
图4 磁导航和磁变形
该研究工作发表于ACS Appl. Mater. Interfaces。西安交通大学青年教师唐敬达为第一作者,王铁军教授为通讯作者。
论文链接:
https://pubs.acs.org/doi/full/10.1021/acsami.9b05742
相关进展
哈佛锁志刚教授课题组与西安交大软机器实验室合作《Adv. Funct. Mater.》:研发软结构复合3D打印中的强韧粘接技术
高分子科技原创文章。欢迎个人转发和分享,刊物或媒体如需转载,请联系邮箱:info@polymer.cn
关注高分子科学技术 👉
长按二维码关注
诚邀投稿
欢迎专家学者提供稿件(论文、项目介绍、新技术、学术交流、单位新闻、参会信息、招聘招生等)至info@polymer.cn,并请注明详细联系信息。高分子科技®会及时推送,并同时发布在中国聚合物网上。
欢迎加入微信群 为满足高分子产学研各界同仁的要求,陆续开通了包括高分子专家学者群在内的几十个专项交流群,也包括高分子产业技术、企业家、博士、研究生、媒体期刊会展协会等群,全覆盖高分子产业或领域。目前汇聚了国内外高校科研院所及企业研发中心的上万名顶尖的专家学者、技术人员及企业家。
申请入群,请先加审核微信号PolymerChina
(或长按下方二维码),并请一定注明:高分子+姓名+单位+职称(或学位)+领域(或行业),否则不予受理,资格经过审核后入相关专业群。
这里“阅读原文”,查看更多