柔性、可拉伸的导电水凝胶是用作柔性智能可穿戴电子器件的良好材料。而目前大多数导电水凝胶力学性能较弱,无法承受实际应用过程中大的应力和应变。通过构建均匀的网络结构以及在网络中引入足够的能量耗散机制,有助于制备出高强韧的水凝胶。特别是同时具有高强度、超拉伸、高导电以及优异应变传感性能的水凝胶,在作为智能柔性电子器件的实际应用中具有极大的吸引力。
近期,清华大学化学工程系的谢续明教授课题组基于多重键网络(Multibond network, MBN)的原理(J. Colloid Interface Sci. 2012, 381, 107−115;Chin. J. Polym. Sci. 2017, 35, 1253−1267),设计并报道了一种由Ti3C2Tx MXene纳米片促进构筑的高强韧、超拉伸、高导电和具有优异应变敏感性能的多重键合网络纳米复合物理水凝胶(图1)。作者将新型的2D Ti3C2Tx MXene纳米片作为多官能度的交联点和应力承载、分散中心,并且利用可控离子渗透的方式吸收Fe3+(ACS Appl. Mater. Interfaces. 2019, 11, 42856−42864),进一步在聚丙烯酸poly(acrylic acid) (PAA)水凝胶中构建了Fe3+诱导的配位作用,从而制备出具有双重动态交联网络的MXene-PAA-Fe3+ MBN物理水凝胶。其中,MXene纳米片具有大的比表面积和丰富的表面极性官能团(−F, −OH, =O等),可以与PAA分子链间通过Fe3+诱导的配位作用形成密的交联中心,有助于有效地承载和分散应力,赋予水凝胶高的拉伸强度(10.4 MPa);而同时PAA分子链之间通过PAA分子链上羧酸根与Fe3+的配位作用形成疏的交联网络,可以保证水凝胶具有大的断裂伸长率(3080%)。此外,在前期将高强高拉伸导电水凝胶应用于柔性超级电容器研究的基础上(Nat. Commun. 2015, 6, 10310;Angew. Chem., Int. Ed. 2017, 56, 9141−9145),基于本工作中MXene纳米片具有优异的电子传导能力,以及水凝胶高水含量的网络中含有大量的离子,所制得的MXene-PAA-Fe3+ MBN物理水凝胶具有高的电导率(3.8 S m-1),应变敏感性(GF高达10.09)和自愈合能力,可以作为智能柔性电子器件使用。该工作以“Super Tough and Intelligent Multibond Network Physical Hydrogels Facilitated by Ti3C2Tx MXene Nanosheets”为题发表在《ACS Nano》上 (DOI: 10.1021/acsnano.1c10151)。清华大学化学工程系博士研究生李钰玺为论文的第一作者,谢续明教授为论文的通讯作者。该研究工作得到了国家自然科学基金重点(21774069)和面上(51633003)项目基金的支持。
图1 高强韧和超拉伸的多重键合网络(MBN)水凝胶的设计原理
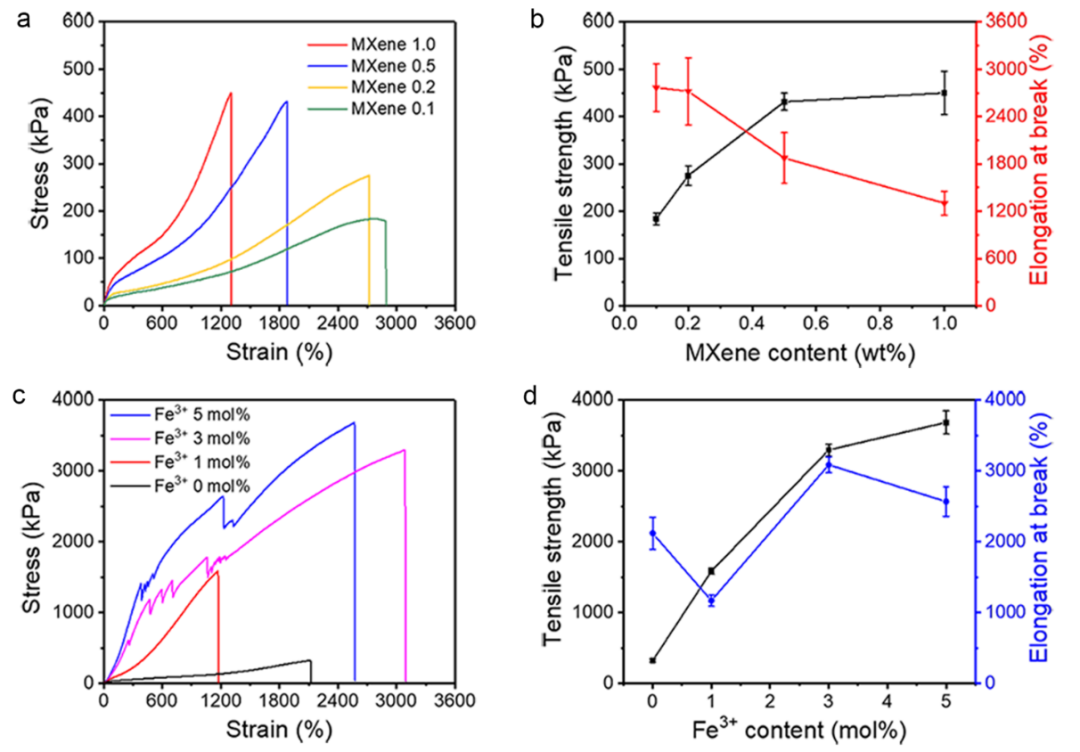
图2 含水量为70 wt% 的MXene-PAA MBN物理水凝胶的(a)应力-应变曲线,(b)拉伸强度和断裂伸长率与MXene含量的关系。含水量为80 wt% 、MXene含量为0.5 wt% 的MXene-PAA-Fe3+ MBN物理水凝胶的(c)应力-应变曲线,(d)拉伸强度和断裂伸长率与Fe3+含量的关系。
图2a和b分别展示了含水量为70 wt% 的MXene-PAA MBN物理水凝胶的应力-应变曲线,拉伸强度和断裂伸长率与MXene含量的关系。随着MXene用量从0.1 wt% 增加到1.0 wt%,MXene-PAA水凝胶的拉伸强度从190 kPa持续上升到450 kPa,而断裂伸长率从3000%下降到1300%。
进一步通过可控离子渗透的方式吸收Fe3+,可以在MXene-PAA水凝胶中均匀地引入更多Fe3+诱导的配位作用,赋予水凝胶更多的能量耗散机制,有助于提高水凝胶的韧性。图2c和d分别展示了含水量为80 wt% 、MXene含量为0.5 wt% 的MXene-PAA-Fe3+ MBN物理水凝胶的应力-应变曲线。随着更多Fe3+诱导的配位作用的引入,MXene-PAA-Fe3+水凝胶的拉伸强度显著提高。当Fe3+含量为5 mol%时,MXene-PAA-Fe3+水凝胶的拉伸强度可以高达3700 kPa,相对于不含Fe3+的MXene-PAA水凝胶,其力学强度有了数量级的提升,并且依然保持有大的断裂伸长率(2570%)。这是因为,当水凝胶中含有0.5 wt%的MXene时,吸收的Fe3+更倾向于吸附在具有大比表面积和丰富表面极性官能团的MXene纳米片上,使得MXene纳米片与PAA分子链间通过Fe3+诱导的配位作用成为密的交联中心,有助于有效地承载和分散应力,赋予水凝胶高的拉伸强度;而此时,只会残余更少的Fe3+在PAA分子链之间,与PAA分子链上的羧酸根形成配位作用,从而形成疏的羧酸根-Fe3+交联网络,可以保证水凝胶具有大的断裂伸长率。
图3 MXene含量为0.5 wt%的 MXene-PAA-Fe3+水凝胶(a)在Fe3+含量为3 mol%,(b)Fe3+含量为5 mol%时,应力-应变曲线与含水量的关系。
水凝胶的含水量对其力学性能影响很大,如图3,随着含水量的下降,即水凝胶中固含量的增加,MXene-PAA-Fe3+水凝胶的拉伸强度显著提高。当MXene含量为0.5 wt%,含水量从80 wt%下降到 50 wt%时,对于Fe3+含量为5 mol%的 MXene-PAA-Fe3+水凝胶,其拉伸强度可以从3.7 MPa显著地提高到10.4 MPa。
图4 MXene-PAA-Fe3+水凝胶的导电和应变传感性能。(a)MXene-PAA-Fe3+水凝胶可以连通电路,点亮LED灯,并且具有快速的自愈合能力。MXene-PAA-Fe3+水凝胶的电导率与(b)MXene含量,(c)Fe3+含量的关系。MXene-PAA-Fe3+水凝胶的(d)电阻变化率与应变的关系,(e)实时快速地感知人的手指不同角度的弯曲。
此外,由于Ti3C2Tx MXene纳米片具有优异的电子传导能力,以及水凝胶高水含量的网络中含有大量的离子,制得的MXene-PAA-Fe3+ MBN物理水凝胶还具有高的电导率(3.8 S m-1),应变敏感性(GF高达10.09)和自愈合能力,有望作为智能柔性电子器件使用(图4)。
原文链接:
https://doi.org/10.1021/acsnano.1c10151
相关进展
清华大学谢续明教授课题组在制备均匀、高强韧的多重键合网络(MBN)水凝胶方面取得进展
香港城市大学支春义教授和清华大学谢续明教授:高离子电导率的可拉伸可压缩柔性水凝胶电解质
北理工陈煜在制备天然高分子聚电解质复合物理水凝胶领域取得系列进展
高分子科技原创文章。欢迎个人转发和分享,刊物或媒体如需转载,请联系邮箱:info@polymer.cn
诚邀投稿
欢迎专家学者提供稿件(论文、项目介绍、新技术、学术交流、单位新闻、参会信息、招聘招生等)至info@polymer.cn,并请注明详细联系信息。高分子科技®会及时推送,并同时发布在中国聚合物网上。
欢迎加入微信群 为满足高分子产学研各界同仁的要求,陆续开通了包括高分子专家学者群在内的几十个专项交流群,也包括高分子产业技术、企业家、博士、研究生、媒体期刊会展协会等群,全覆盖高分子产业或领域。目前汇聚了国内外高校科研院所及企业研发中心的上万名顶尖的专家学者、技术人员及企业家。
申请入群,请先加审核微信号PolymerChina (或长按下方二维码),并请一定注明:高分子+姓名+单位+职称(或学位)+领域(或行业),否则不予受理,资格经过审核后入相关专业群。
点
这里“阅读原文”,查看更多