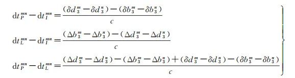
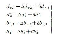
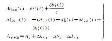
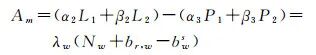
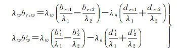
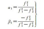
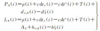
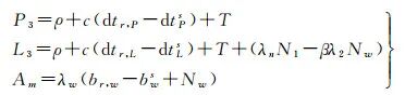
YUAN Yunbin, LIU Shuai, TAN Bingfeng. Modeling and effects analysis of GNSS precise point positioning ambiguity resolution based on the decoupled clock method[J]. Acta Geodaetica et Cartographica Sinica, 2022, 51(8): 1669-1679. DOI: 10.11947/j.AGCS.2022.20210554
本节从解耦钟的收敛速度、解耦钟的精度及基于解耦钟的PPP-AR 3方面分别展开试验分析和研究。单天观测数据估计的解耦钟用于收敛速度测试,而后两部分试验所使用的解耦钟则需利用前一天的观测数据使解耦钟充分收敛。模糊度基准的合理选取是钟差解耦模型满秩的重要保证。图 3为模糊度基准选取图。由于使用前一天的观测数据保证滤波收敛,图 3为2021年DOY 030 22时(初始时刻)的模糊度基准初始化情况。其中,红色三角表示用于网解的观测站,蓝色圆点表示卫星,蓝色实线表示使卫星钟差独立可估的模糊度基准,红色实线表示使接收机钟差独立可估的模糊度基准,黑色实线表示当前历元待估模糊度参数,黑色虚线表示卫星被剔除。
| 图 3 服务端模糊度基准选取 Fig. 3 Ambiguity datum initialization at the server end |
图选项 |
3.1 解耦钟的收敛速度
文献[26]分析了在钟差估计中,时变卫星码偏差限制了滤波器初始化的速度,且收敛后会在较长时间内持续影响钟差的稳定性,而提取SCB后,上述不利影响可明显改善。在解耦钟差模型中,时变SCB可完全被伪距钟差吸收,但是由于伪距观测方程并未与相位方程对齐,导致其精度较低,无法与传统消电离层组合得到的钟差进行有效比较。因此,通常可以通过比较相位钟与提取SCB后的钟差,反映估计解耦钟差时滤波器的收敛速度及收敛后的钟差稳定性。图 4为钟差估计系统开始后4 h内解耦钟差相位钟(IF-DC)与基于传统消电离层组合提取SCB后得到的钟差相对于IGS最终产品的偏差时间序列,其中,G01卫星为参考星。图中显示,IF-DC模型估计的钟差在滤波开始较短时间内即可收敛,并且在后续估计中表现出较高的稳定性,而IF-SCB模型估计的钟差需要1 h左右可完成收敛过程,并且在第3~4 h之间并不十分稳定。
| 图 4 2021年DOY 031不同模型的钟差产品相对于IGS最终产品4 h的偏差时间序列Fig. 4 Four hour time series of the clock biases with respect to the IGS final products on DOY 031 in 2021 |
图选项 |
由于上述两类钟差的物理含义不同,因此,仅统计上述两类钟差偏差的标准偏差(standard deviation,STD)来反映其稳定性,如图 5所示。从图中可以看出,除了少数卫星两类钟差的STD较为接近外,其他大部分卫星的相位钟在稳定性上都优于IF-SCB模型估计的钟差,约为0.025 ns。上述结果表明,在钟差估计系统因网络等原因意外中断后,钟差解耦模型可以更快地提供稳定的产品,能有效辅助用户快速恢复高精度定位。
| 图 5 2021年DOY 031不同模型的钟差产品相对于IGS最终产品的前4 h偏差的标准差Fig. 5 STD of 4 h clock estimates compared with the IGS final products on DOY 031 in 2021 |
图选项 |
3.2 解耦钟的精度
以往的研究尚未有效评估和分析解耦钟差产品的性能。为此,本文试验选用IGS最终产品作为标准对解耦钟差产品精度和可靠性进行评定。图 6为解耦卫星钟的差分时间序列,其中,G01卫星为参考星,Code-IGS、Phase-IGS、Code-Phase分别对应式(11)中的3组方程,WL bias表示宽巷模糊度钟(偏差),它仅移除了基准。为方便观察,每一时间序列均移除其平均值。
| 图 6 2021年DOY 031 G02卫星的解耦钟差偏差时间序列Fig. 6 Time series of G02 decoupled clock biases on DOY 031 in 2021 |
图选项 |
图 6(a)、(b)中,蓝色曲线表示的时间序列印证了对式(11)的分析,即Code-IGS与Code-Phase具有类似的时变趋势。由于对伪距钟与相位钟进行了解耦计算,伪距钟差估值表示出了强烈的噪声特性。相对于伪距钟差估值,相位钟差估值则表现出较高的稳定性。宽巷模糊度偏差估值也较为稳定。
对钟差精度的评价的指标通常选择STD和RMS,其中,STD表征钟差相对于参考标准的稳定性,RMS表征钟差相对于参考标准的偏移程度。由于解耦钟差与IGS钟差具有不同的物理含义,因此,在此仅通过STD来反映解耦钟差的稳定性。图 7统计了所有卫星关于图 6中解耦钟偏差序列的STD。相位钟估值表现出较高的稳定性,平均约为0.02 ns,而伪距钟估值由于较强的噪声影响,其平均值约为1.15 ns,宽巷模糊度偏差估值平均STD则约为0.12周。
| 图 7 2021年DOY 031卫星的解耦钟差偏差的标准差Fig. 7 STD of decoupled clock biases on DOY 031 in 2021 |
图选项 |
钟差解耦模型将宽巷模糊度偏差作为时变参数,并将其作为白噪声参数估计,因此,可以分析单天内宽巷模糊度偏差的时变特性。2021年DOY 031所有卫星的宽巷模糊度偏差估值如图 8所示。为减小刻度范围,便于观察其稳定性,所有偏差序列均被偏移整数周以将其限制在0~10周范围内。由图 8可以看出,各卫星的宽巷模糊度偏差估值序列在天内表现出明显的噪声特性,这是因为在服务端网解中该偏差项被建模为白噪声参数所致。但是对于每颗卫星而言,它们的宽巷模糊度偏差估值均围绕某一常数波动,这说明卫星的宽巷模糊度偏差在天内是稳定的。
| 图 8 2021年DOY 031卫星的宽巷模糊度偏差时间序列Fig. 8 Time series of wide-lane ambiguity biases on DOY 031 in 2021 |
图选项 |
目前,IGS分析中心CNES/CLS提供整数相位钟与天解宽巷模糊度偏差产品用于模糊度固定,其中,各卫星的宽巷模糊度偏差保存在CNES/CLS钟差产品的头文件中。与本文提供的天内时变宽巷模糊度偏差序列不同,CNES/CLS将该偏差项作为天常数,即单天内为每颗卫星提供单个偏差改正[13]。为客观分析钟差解耦模型估计的宽巷模糊度偏差精度,本试验以CNES/CLS的产品为标准进行对比分析。二次差分(G01为参考星)并移除整周模糊度后的互差值如图 9所示。由于观测噪声的影响,各差值序列均围绕0附近波动。统计其平均差值约为-0.058周。统计图 9中各卫星二次差分时间序列(共计89 280个样本)得到图 10,以分析其互差分布情况。由图 10可知,宽巷模糊度互差值总体而言满足期望为-0.058周的正态分布,并且大部分互差值分布在±0.2周之内。与现有研究结论相比,该互差值略大,究其原因,一方面是因为钟差解耦模型无须将宽巷模糊度逐历元平滑,没有破坏其固有的时变特性,另一方面,将宽巷模糊度偏差建模为白噪声参数进行逐历元参数估计,也是造成其与CNES/CLS产品互差值较大的原因。
| 图 9 2021年DOY 031卫星的宽巷模糊度偏差估值相对于CNES/CLS产品的差异Fig. 9 The wide-lane bias differences between estimates and CNES/CLS products on DOY 031 in 2021 |
图选项 |
| 图 10 2021年DOY 031卫星的宽巷模糊度偏差估值与CNES/CLS产品互差分布直方图Fig. 10 Histogram of the difference between estimates and CNES/CLS products on DOY 031 in 2021 |
图选项 |
3.3 定位效果分析
为了验证解耦钟差产品实际定位效果,对图 1所示所有用户站7 d的观测数据进行定位分析,获得模糊度固定解(fixed),同时使用IGS最终钟差产品进行定位测试获得模糊度浮点解(float)。IGS周解坐标文件作为真值比较和评估两种定位方式的定位精度。为了直观比较两种定位方式的误差情况,图 11展示了SASK测站模糊度固定解与浮点解的定位误差对比。当模糊度固定成功后,定位误差迅速到达0附近。在浮点解收敛后,其与固定解的定位精度较为接近。
| 图 11 2021年DOY 031 SASK测站模糊度固定解与浮点解定位误差对比 Fig. 11 Positioning errors of fixed and float PPP solutions of SASK station on DOY 031 in 2021 |
图选项 |
对7 d两种定位模式的定位误差RMS值统计得到图 12。图中每1个点表示1个测站单天定位误差的RMS值。图中显示,在北向和天向,模糊度固定后精度略有提升,相比较而言,东向提升的效果更为明显。对各天两种定位模式下的平均RMS进行统计可得到表 1。由表 1可以看出,模糊度固定解相对浮点解在各天东方向的精度提升基本优于30%,平均提升为31.57%,在北方向和天向分别为12.09%和16.31%。
| 图 12 2021年DOY 031—DOY 037各测站固定解与浮点解定位误差RMS值对比Fig. 12 RMS of fixed solutions in contrast to those with float solutions for each station from DOY 031 to DOY 037 in 2021 |
图选项 |
表 1 2021年DOY 031—DOY 037各天定位结果相对IGS周解的误差RMSTab. 1 RMS of positioning errors for different days when compared with IGS weekly solutions
| 年积日 | 固定解/cm | 浮点解/cm | 精度提升/(%) | ||||||||
| 东向 | 北向 | 天向 | 东向 | 北向 | 天向 | 东向 | 北向 | 天向 | |||
| 031 | 1.96 | 1.54 | 4.93 | 2.81 | 1.86 | 6.11 | 30.25 | 17.20 | 19.31 | ||
| 032 | 2.14 | 1.83 | 6.54 | 2.99 | 2.08 | 7.83 | 28.43 | 12.02 | 16.48 | ||
| 033 | 2.05 | 1.69 | 5.27 | 2.97 | 1.92 | 6.17 | 30.98 | 11.98 | 14.59 | ||
| 034 | 1.87 | 1.75 | 5.12 | 2.91 | 2.01 | 6.27 | 35.74 | 12.94 | 18.34 | ||
| 035 | 2.29 | 1.80 | 5.83 | 3.32 | 2.02 | 6.68 | 31.02 | 10.89 | 12.72 | ||
| 036 | 1.63 | 1.64 | 4.99 | 2.64 | 1.90 | 6.04 | 38.26 | 13.68 | 17.38 | ||
| 037 | 1.91 | 1.82 | 5.54 | 2.60 | 1.94 | 6.57 | 26.54 | 6.19 | 15.68 | ||
| 平均 | 1.98 | 1.72 | 5.46 | 2.89 | 1.96 | 6.52 | 31.57 | 12.09 | 16.31 | ||
表选项
第一作者简介:袁运斌(1971—),男,博士,研究员,研究方向为卫星导航大气延迟改正、精密定位定轨。E-mail:yybgps@asch.whigg.ac.cn
初审:张艳玲
复审:宋启凡
终审:金 君
往期推荐
资讯
○ 航天宏图2023年校园招聘正式启动(含地理信息、遥感相关专业)