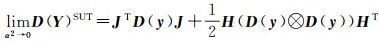
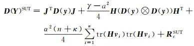
为验证本文提出方法在加乘性混合误差模型中精度评定方面的性能及探讨在大地测量领域中的应用,本文共设计了3个算例:通过算例1来展示本文方法在GPS高程拟合中的应用价值,算例2和算例3来展示本文方法在数字地面模型(DTM)中的应用价值,并验证本文方法在精度评定方面的优势。分别使用最小二乘解法、加权最小二乘迭代解法、文献[5]中的偏差改正加权最小二乘迭代解法(即算法1)及加乘性混合误差模型精度评定的SUT法(即算法2)进行对比解算以验证本文方法的可行性及优势,4种方案对应的方法分别列于表 1中。 表 1 4种方案及其对应的方法Tab. 1 Four schemes and their corresponding methods
图 1 不含随机误差时的高程真值及受加乘性混合误差干扰的高程值Fig. 1 The true elevations without random error and the elevations disturbed by mixed additive and multiplicative random error
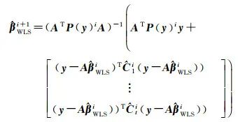
图 2 WLS法和bcWLS法的流程Fig. 2 Flowchart of WLS method and bcWLS method
图选项
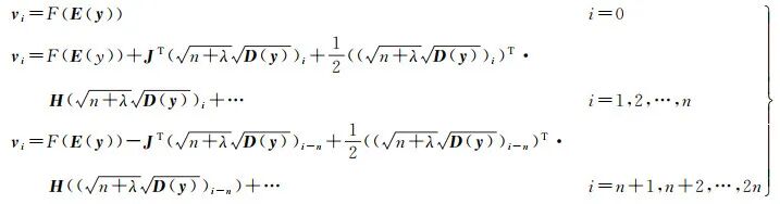
图 3 SUT法的流程Fig. 3 Flowchart of SUT method
图选项
表 3 算例1中LS法、WLS法、bcWLS法及SUT法求得的参数估值、估值与真值之间的二范数和单位权中误差Tab. 3 The parameter estimations, two norms and unit weight errors obtained by the LS method, WLS method, bcWLS method and SUT method of the first example
表选项
表 4 算例1中LS法、WLS法、bcWLS法及SUT法求得的参数估值的标准差Tab. 4 The standard deviations of parameter estimations obtained by the LS method, WLS method, bcWLS method and SUT method of the first example
图 4 不含误差时的数字地形模型Fig. 4 The digital terrain model without random errors
图选项
图 5 乘性误差σm=0.005时的数字地形模型Fig. 5 The digital terrain model in the case σm=0.005
图选项
图 6 乘性误差σm=0.05时的数字地面模型Fig. 6 The digital terrain model in the case σm=0.05
图选项
图 7 乘性误差σm=0.1时的数字地面模型Fig. 7 The digital terra in model in the case σm=0.1
图选项
表 5 算例2中LS法、WLS法、bcWLS法及SUT法求得的参数估值、估值与真值之间的二范数和单位权中误差Tab. 5 The parameter estimations, two norms and unit weight errors obtained by the LS method, WLS method, bcWLS method and SUT method of the second example
表选项
表 6 算例2中LS法、WLS法、bcWLS法及SUT法求得的参数估值的标准差Tab. 6 The standard deviations of parameter estimations obtained by the LS method, WLS method, bcWLS method and SUT method of the second example
图 8 不含误差时的数字地形模型Fig. 8 The digital terrain model without random errors
图选项
图 9 受加乘性混合误差干扰后的数字地形模型Fig. 9 The digital terrain model disturbed by mixed additive and multiplicative random error
图选项
图 10 不含误差时的数字地形模型(点)及bcWLS法求得的数字地面模型(圈)Fig. 10 The digital terrain model without random errors (point) and the digital terrain model obtained by the bcWLS method (circle)
图选项
图 11 不含误差时的数字地形模型(点)及SUT法求得的数字地面模型(圈)Fig. 11 The digital terrain model without random errors (point) and the digital terrainmodel obtained by the SUT method (circle)
表 7 算例3中bcWLS法和SUT法求得的参数估值的标准差及均方根误差Tab. 7 The standard deviations and mean square matrix error of parameter estimations obtained by the bcWLS method and SUT method of the third example