郭金运1, 金鑫1
, 边少锋2, 常晓涛3
1. 山东科技大学测绘与空间信息学院, 山东 青岛 266590;
2. 海军工程大学导航工程教研室, 湖北 武汉 430033;
3. 自然资源部国土卫星遥感应用中心, 北京 100048
基金项目:国家自然科学基金(42174041;41774001;41971416;42074010);国家测绘自主可控专项(816-517);山东科技大学科研创新团队支持计划(2014TDJH101)
摘要:垂线偏差是大地测量学和地球物理学的基础数据。固体潮和海潮是影响高精度垂线偏差测量的重要因素, 固体潮改正主要表现为天体引潮位对垂线偏差的直接影响及造成地球形变而产生的附加位对其的间接影响。本文基于引力场球谐展开理论, 推导了垂线偏差测量中固体潮和海潮的改正公式。利用JPL DE421星历和EOT11A海潮模型, 计算全球19 570个GNSS测站处垂线偏差的潮汐改正值, 分析了垂线偏差潮汐改正的时空变化规律。通过实例给出了日、月引潮位及附加位、海潮对垂线偏差子午和卯酉分量的改正。现有高精度垂线偏差测量精度已达到0.1″, 而固体潮和海潮对垂线偏差的改正总量级可达我国一等天文规定精度(0.3″)的17%, 因此在高精度的垂线偏差应用中需要顾及潮汐改正。
关键词:垂线偏差 引潮位 固体潮 海潮 球谐展开
GUO Jinyun, JIN Xin, BIAN Shaofeng, et al. Corrections of solid earth tide and ocean tide for measurement of deflection of the vertical[J]. Acta Geodaetica et Cartographica Sinica, 2022, 51(7): 1215-1224. DOI: 10.11947/j.AGCS.2022.20220104
垂线偏差是铅垂线与参考方向(如参考椭球面法线或正常重力方向)之间的夹角,表示大地水准面相对于参考椭球面的倾斜程度,表征了地球内部质量分布的水平时空不均匀性。垂线偏差给出了重力矢量的方向,是大地测量学和地球物理学等基础学科领域的基本观测量[1],含有丰富的地球重力场高频信息,它可以很好地反映重力场的精细结构,在大地测量应用、地球物理反演、资源勘探、地震和火山监测、卫星发射和精密定轨,以及辅助导航等领域有非常重要的应用[2-6]。
天文大地测量是最常用的高精度垂线偏差测量方法,一般使用高精度经纬仪、全站仪或数字天顶相机系统对低星等的恒星进行观测,实现高精度垂线偏差测量[7-9]。目前,国外具有代表性的数字天顶相机系统主要有瑞士苏黎世联邦理工学院研制的DIADEM和德国汉诺威大学研制的TZK2-D[10-11],通过20~30 min的观测,垂线偏差测量精度达到0.08″[12]。为了使仪器轻型化,苏黎世联邦理工学院还研发了基于全站仪和CCD相机的QDaedalus交互式测量系统,经过约15 min测量,垂线偏差精度可达到0.20~0.25″[13]。中国科学院国家天文台和山东科技大学联合研发了我国第一台数字天顶测量系统DZT-1,天文经纬度测量精度也达到了我国一等天文精度要求[14-15]。信息工程大学研制出了基于全站仪和卫星天文计时器的Y/JGT-01型天文大地测量系统,天文定位精度也可达到0.3″,符合我国一等天文精度要求[16]。但这些高精度的垂线偏差测量都没有考虑引潮力的影响。
为了更好地利用垂线偏差测量成果,就须对其成果进行科学、准确地处理,以便使垂线偏差成果真正达到高精度的标准。而潮汐影响是高精度重力测量成果中必须考虑的一个重要因素[17],这主要是由于日、月等天体的引潮力使地球发生形变造成的。因此,研究基于固体潮和海潮的垂线偏差改正,是高精度垂线偏差测量和广泛应用的基础。
目前绝对重力测量结果的潮汐改正方法等相对成熟[18],但垂线偏差测量改正仍未系统地研究讨论。本文基于引力场球谐展开理论,推导固体潮和海潮对垂线偏差的改正公式,分析垂线偏差潮汐改正的时空变化规律。
1.1 垂线偏差的计算
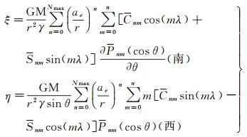
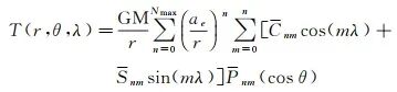
地球外部重力场可以表示为球谐级数形式,通过不同阶次的球谐展开,表达出地球重力场特征[19-20]。假设点A(r, θ, λ)处的扰动位T展开为Nmax阶球谐函数为
(1)
式中,r为地心距离;θ为地心余纬;λ为地心经度;GM为地心引力常数;ae为参考椭球长半轴长;Cnm和Snm是归一化n阶m次的位系数;Pnm是完全规格化缔合勒让德函数。
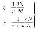
根据布隆斯公式N=T/γ,大地水准面差距N表示为
(2)
式中,γ为正常重力。
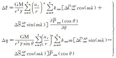
根据大地水准面差距与垂线偏差之间的关系,则垂线偏差子午和卯酉分量分别表示为
(3)
将式(2)代入式(3)中,得到垂线偏差子午和卯酉分量,即
(4)
式中,ξ向南为正;η向西为正。
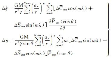
研究固体潮和海潮对扰动位系数ΔCnm和ΔSnm的影响,计算垂线偏差的改正值,即
(5)
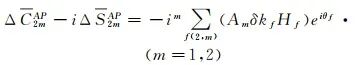
1.2 引潮位对垂线偏差的直接改正
通常,固体潮改正主要包含天体引潮位直接引起的垂线偏差变化,以及导致地球形变而产生附加位的间接影响变化。重力方向(垂线偏差)会受到日、月所产生的引潮位的直接影响。首先进行引潮位对垂线偏差的直接影响改正研究。
基于美国宇航局喷气推进实验室(jet propulsion laboratory,JPL)的DE421星历[21],计算引潮天体在t历元的地心天球坐标。根据极移参数(IERS)、岁差(IAU 2006)和章动(IAU 2000A)模型,将坐标从地心天球参考系(geocentric celestial reference system,GCRS)转换到国际地球参考系(international terrestrial reference system,ITRS),转换公式为
(6)
式中,[ITRS]为引潮天体地固坐标;[GCRS]为引潮天体地心天球坐标;t为对应的历元;W(t)为极移矩阵;R(t)为地球旋转矩阵;Q(t)为岁差—章动偏移矩阵,详细转换原理见文献[22—23]等。
根据引潮天体在t历元的地固坐标,计算日、月引潮位对扰动位系数的影响改正[24]
(7)
式中,GM为地心引力常数;GMj为引潮天体j引力常数;rj为引潮天体的地心距;j=2,3分别代表月球和太阳;φj为地固坐标系下引潮天体的地心纬度;λj为地固坐标系下引潮天体的地心经度。
根据引潮位直接对扰动位系数ΔCnmTF和ΔSnmTF的影响,利用式(5)计算垂线偏差引潮位直接改正。
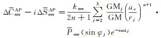
1.3 附加位对垂线偏差的改正
引潮位不仅会对垂线偏差造成直接影响[25-26],还会使固体地球产生周期性涨落,导致地球内部质量分布随时间发生变化,进而影响地球重力场信息,产生附加位。附加位的贡献,也是垂线偏差固体潮改正的重要组成[27-28]。附加位引起的扰动位的变化通常通过勒夫理论建立[24, 29]。实际改正计算分为两个步骤进行。
第一步:使用与频率无关的勒夫数计算2阶和3阶引潮位对扰动位系数的影响
(8)
式中,knm是与频率无关的标称勒夫数,取值见表 1;(rj, φj, λj)是引潮天体在地心极坐标系下的坐标。
表 1 固体潮外部附加位的标称勒夫数[24]Tab. 1 Nominal values of solid earth tide external potential Love numbers
| n | m | 弹性地球 | 滞弹性地球 | ||||
| knm | knm+ | 实部knm | 虚部knm | knm+ | |||
| 2 | 0 | 0.295 25 | -0.000 87 | 0.301 90 | -0.000 00 | -0.000 89 | |
| 2 | 1 | 0.294 70 | -0.000 79 | 0.298 30 | -0.001 44 | -0.000 80 | |
| 2 | 2 | 0.298 01 | -0.000 57 | 0.301 02 | -0.001 30 | -0.000 57 | |
| 3 | 0 | 0.093 | - | - | - | - | |
| 3 | 1 | 0.093 | - | - | - | - | |
| 3 | 2 | 0.093 | - | - | - | - | |
| 3 | 3 | 0.094 | - | - | - | - | |
表选项
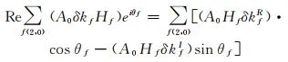
第二步:利用修正相关频率的勒夫数改正扰动位系数。
① 采用与频率相关的位勒夫数k2m(+),利用2阶引潮位计算3阶位系数变化
(9)
② 对2阶位勒夫数k2m进行偏差校正。长周期潮汐对ΔC20的改正为
(10)
全日潮对ΔC21、ΔS21的影响以及半日潮对ΔC22、ΔS22的影响为
(11)
式中,
根据引潮位的附加位对扰动位系数ΔCnmAP和ΔSnmAP的影响,计算垂线偏差附加位改正
(12)
1.4 海潮对垂线偏差的改正
海潮会使海洋的质量分布随时间发生变化,引起地球形变。根据IERS规范[24, 30],海潮对扰动位系数的动力学影响表示为
(13)
式中,
全球区域地理地貌特征复杂,地球内部质量分布不匀,为了更好、更精确地讨论垂线偏差在空间域上的变化,本文选择Nevada geodetic laboratory(NGL)机构提供的全球19 570个GNSS站点坐标[31],利用推导的垂线偏差改正公式分别计算2021年4月1日12时(universal time coordinated,UTC)垂线偏差固体潮和海潮改正,其中参考椭球选择CGCS2000,行星星历选择JPL提供的DE421[21],海潮模型选择IERS提供的EOT11A模型[32]。
2.1 全球区域垂线偏差的引潮位直接改正
图 1、表 2分别表示日、月引潮位对测站处垂线偏差的直接影响,子午分量的改正大小为-24~24 mas,全球测站平均改正值为3.15 mas;卯酉分量的改正大小在-22~20 mas之间,测站平均改正值为-1.07 mas。
| 图 1 垂线偏差引潮位直接改正Fig. 1 Tidal-generating potential direct correction for vertical deflection |
图选项 |
表 2 垂线偏差引潮位直接改正统计Tab. 2 Statistics of tidal-generating potential direct correction for vertical deflection
| 分量 | 最大值 | 最小值 | 平均值 |
| 子午分量ξ | 23.15 | -23.57 | 3.15 |
| 卯酉分量η | 19.68 | -21.59 | -1.07 |
表选项
对于子午分量改正,各个板块改正大小与方向基本一致,北半球数值大多区域为正,改正方向朝西,欧洲与北美板块改正量级较大,达到23 mas;欧洲与非洲板块改正方向不同,与南北美洲改正方向一致存在差异;赤道附近改正值大小在0附近波动。
对于卯酉分量改正,各个板块改正大小与方向也基本一致,但是相对于子午分量,欧洲与北美板块改正方向相反;赤道附近改正值也出现两极分化,南北美洲交界处改正为正,非洲板块为负。
2.2 全球区域垂线偏差的附加位改正
图 2、表 3表示垂线偏差的附加位间接影响。由图 2、表 3可以看出,测站处垂线偏差的附加位改正与引潮位的直接改正保持一致,只是大小存在差异。子午分量的改正大小为-8~8 mas;卯酉分量的改正大小在-7~6 mas之间。
| 图 2 垂线偏差附加位改正Fig. 2 Additional gravitational potential correction for vertical deflection |
图选项 |
表 3 垂线偏差附加位改正统计Tab. 3 Statistics of additional gravitational potential correction for vertical deflection
| 分量 | 最大值 | 最小值 | 平均值 |
| 子午分量ξ | 7.06 | -7.08 | 0.91 |
| 卯酉分量η | 5.92 | -6.64 | -0.37 |
表选项
2.3 全球区域垂线偏差的海潮改正
图 3、表 4表示海潮对测站处垂线偏差的影响,子午分量的改正大小为-14~19 mas,全球测站平均改正值为-0.01 mas;卯酉分量的改正大小在-19~13 mas之间,测站平均改正值为-0.64 mas。
| 图 3 垂线偏差的海潮改正Fig. 3 Ocean tide correction for vertical deflection |
图选项 |
表 4 垂线偏差的海潮改正统计Tab. 4 Ocean tide correction statistics for vertical deflection
| 分量 | 最大值 | 最小值 | 平均值 |
| 子午分量ξ | 18.50 | -13.18 | -0.01 |
| 卯酉分量η | 12.13 | -18.91 | -0.64 |
表选项
海潮对垂线偏差的改正在子午、卯酉分量上规律较为一致,对沿海地区造成的影响改正较大,向内陆地区逐渐减小。
为了更好地说明垂线偏差改正在时间域上的变化,本文选择北京房山站(空间直角坐标XYZ为-2 148 744.588 9、4 426 641.171 7、4 044 655.810 0 m),利用推导的垂线偏差改正公式以1 h为间隔,分别计算2020—2021年间垂线偏差的固体潮和海潮改正,并进行周期信号的提取与分析。鉴于北京房山站靠近内陆,导致海潮对垂线偏差的影响并不明显,为了更好地说明海潮对沿海地区的时变改正大小,笔者选择上海佘山站(空间直角坐标XYZ为-2 831 733.996 7、4 675 665.751 7、3 275 369.239 9 m)进行进一步分析讨论。
3.1 房山站垂线偏差的引潮位直接改正
图 4为引潮位直接影响引起的北京房山站垂线偏差两年的时变信号,由图 4可以看出,子午、卯酉分量的改正大小分别在-6~30 mas和-30~30 mas之间。
| 图 4 房山站垂线偏差的引潮位直接改正Fig. 4 Tidal-generating potential direct correction for vertical deflection at Fangshan station |
图选项 |
奇异谱分析(singular spectrum analysis,SSA)是一种广义的功率谱分析方法,可以很好地从未知先验信息的时间序列中提取变振幅的周期信号[33-34]。因此,利用奇异谱分析和快速傅里叶变换(fast Fourier transform,FFT)分别对子午和卯酉分量方向的时变信号进行分解[28, 35],子午分量改正前13重构成分(restructured component,RC)和卯酉分量改正前12RC的方差贡献率分别达到99.35%和99.41%,可以很好地表示原始时变信号信息,遂选作为主成分进行分析,如图 5和图 6所示。
| 图 5 垂线偏差子午分量的引潮位直接改正周期性分析Fig. 5 Periodic analysis of tidal-generating potential direct correction for meridian component of vertical deflection |
图选项 |
| 图 6 垂线偏差卯酉分量的引潮位直接改正周期性分析Fig. 6 Periodic analysis of tidal-generating potential direct correction for prime vertical component of vertical deflection |
图选项 |
由图 5和6可以看出,垂线偏差子午和卯酉分量改正大部分周期项相同,都存在0.52、1.00、0.50、1.08和0.53 d等主要周期项,但在子午分量上还存在周期分别为195.01和13.65 d的显著周期项。
对于子午分量改正,195.01 d的周期项(RC1)方差贡献率为66.30%,占主导地位,周期表现最为明显,幅度约为2 mas。对于卯酉分量改正,0.52 d的周期项(RC1+RC2)方差贡献率为59.27%,占主导地位,其振荡较为平稳,幅度约为18 mas。
3.2 房山站垂线偏差的附加位改正
图 7为附加位引起的北京房山站垂线偏差两年的时变信号,由图中可以看出,子午、卯酉分量的改正大小分别在-2~9 mas和-9~9 mas区间。利用SSA和FFT分别对子午和卯酉分量方向时变信号进行分解,子午分量改正前13RC和卯酉分量改正前12RC的方差贡献率分别达到99.31%和99.38%,遂选作为主成分进行分析,如图 8和图 9所示。由图中可以看出,垂线偏差附加位改正信号分解主成分与引潮位直接改正保持一致,这也就印证了引潮位的附加位效应。
| 图 7 房山站的垂线偏差附加位改正Fig. 7 Additional gravitational potential correction for vertical deflection at Fangshan station |
图选项 |
| 图 8 垂线偏差子午分量的附加位改正周期性分析Fig. 8 Periodic analysis of additional gravitational potential correction for meridian component of vertical deflection |
图选项 |
| 图 9 垂线偏差卯酉分量的附加位改正周期性分析Fig. 9 Periodic analysis of additional gravitational potential correction for prime vertical component of vertical deflection |
图选项 |
3.3 房山站垂线偏差的海潮改正
图 10为海潮引起的北京房山站垂线偏差两年的时变信号,由图中可以看出,子午、卯酉分量的改正大小分别在-1~1 mas和-2~2 mas之间。利用SSA和FFT分别对子午和卯酉分量方向时变信号进行分解,子午和卯酉分量改正前10RC的方差贡献率分别达到98.62%和99.15%,遂选作为主成分进行分析,如图 11和图 12所示。
| 图 10 房山站的垂线偏差海潮改正Fig. 10 Ocean tide correction for vertical deflection at Fangshan station |
图选项 |
| 图 11 垂线偏差子午分量的海潮改正周期性分析Fig. 11 Periodic analysis of ocean tide correction for meridian component of vertical deflection |
图选项 |
| 图 12 垂线偏差卯酉分量的海潮改正周期性分析Fig. 12 Periodic analysis of ocean tide correction for prime vertical component of vertical deflection |
图选项 |
由图 11和12可以看出,垂线偏差子午和卯酉分量上的改正周期项一致,都存在0.52、0.50、1.00、1.08和0.53 d等周期项,只是方差贡献率位次存在差异。前四项分别对应海潮的M2、S2、K1、O1潮波。
对于子午和卯酉分量改正第一主成分(RC1+RC2),都是周期为0.52 d的周期项,方差贡献率分别为76.28%和38.97%;子午方向第一主成分占该方向主导地位,其振荡较为平稳,周期表现最为明显,幅度约为0.5 mas。但卯酉分量改正第二主成分(RC3+RC4)方差贡献率为38.50%,与第一主成分占比相当,两者周期性都较为明显,振幅都约为0.6 mas。
总体而言,垂线偏差在子午和卯酉分量上的海潮改正信号周期性较为一致。
3.4 佘山站垂线偏差的海潮改正讨论
针对海潮的影响改正,引入沿海区域的上海佘山站,利用相同的方法,以1 h为间隔,分别计算2020—2021年期间海潮对上海佘山站处垂线偏差的时变影响,如图 13所示。
| 图 13 佘山站的垂线偏差海潮改正Fig. 13 Ocean tide correction for vertical deflection at Sheshan station |
图选项 |
由图 13可以看出,子午、卯酉分量的改正大小分别为-9~9 mas和-12~10 mas,改正量级,大约是北京房山站的10倍。子午和卯酉分量方向SSA和FFT分析如图 11和图 12所示,由图中可以看出,垂线偏差子午和卯酉方分量改正的周期项与北京房山站也基本一致,都存在0.52、0.50、1.00、1.08和0.53 d等周期项,也只是在方差贡献率位次上存在差异。
| 图 14 佘山站垂线偏差子午分量的海潮改正周期性分析Fig. 14 Periodic analysis of ocean tide correction for meridian component of vertical deflection at Sheshan station |
图选项 |
对于子午和卯酉分量改正的第一主成分(RC1+RC2),都是周期为0.52 d的周期项,方差贡献率分别为80.57%和64.18%,占主导地位,其振荡较为平稳,周期表现最为明显,幅度都约为5 mas。
| 图 15 上海佘山站垂线偏差卯酉分量的海潮改正周期性分析 Fig. 15 Periodic analysis of ocean tide correction for prime vertical component of vertical deflection at Sheshan station |
图选项 |
总体而言,由于海潮是海洋对日、月等天体引潮力的反应,其变化规律与引潮位的变化是一致的。
本文基于引力场球谐展开理论,推导了固体潮和海潮对垂线偏差的改正公式,分析了垂线偏差潮汐改正的时空变化规律。通过对全球19 570个GNSS站处的垂线偏差潮汐改正值进行分析发现,垂线偏差固体潮改正的引潮位直接影响与其附加位的间接影响变化规律一致。在全球尺度上,2021年4月1日12时日、月引潮位及附加位对垂线偏差子午和卯酉分量的改正分别在-24~24 mas和-22~20 mas、-8~8 mas和-7~6 mas区间,海潮的改正分别在-14~19 mas和-19~13 mas区间。
对北京房山站处的垂线偏差进行了两年的时变改正研究,发现固体潮改正的引潮位直接影响和其附加位的间接影响,与海潮引起的垂线偏差改正在子午和卯酉分量上大部分周期项相同,主要受周日、半日周期的影响,其中半日周期占主导地位。在时间分辨率上,引潮位及附加位对垂线偏差子午和卯酉分量的改正分别在-6~30 mas和-30~30 mas、-2~9 mas和-9~9 mas区间,海潮的改正分别在-1~1 mas和-2~2 mas区间。针对海潮影响改正,引入沿海区域的上海佘山站,改正大小在子午和卯酉分量上分别在-9~9 mas和-12~10 mas区间。
总体而言,固体潮和海潮对垂线偏差的改正总量级约占我国一等天文规定精度(0.3″)的17%,而现有高精度垂线偏差测量精度已达到0.1″,因此在高精度的垂线偏差应用中必须顾及潮汐改正。
第一作者简介:郭金运(1969-), 男, 博士, 教授, 研究方向为大地测量学。E-mail: guojy@sdust.edu.cn
通信作者:金鑫, E-mail: skdjinxin1010@sdust.edu.cn
往期推荐
资讯
○ 测绘学报 | 武锦辉:基于多源遥感数据的物种多样性及陆表植被恢复力监测研究
○ 关于申报2023年度长安大学“生态地质与灾害防控自然资源部重点实验室” 开放基金的通知