![]()
本文内容来源于《测绘通报》2022年第12期,审图号:GS京(2022)1439号
多视觉变量与单目视觉线索组合的三维地质模型增强可视化分析
李治泓1, 朱庆2, 吴学群1, 郭永欣2
1. 昆明理工大学国土资源工程学院, 云南 昆明 650093;2. 西南交通大学地球科学与环境工程学院, 四川 成都 611756基金项目:国家自然科学基金(41941019)
关键词:增强可视化, 三维地质模型, 单目视觉线索, 视觉变量, 空间感知
引文格式:李治泓, 朱庆, 吴学群, 等. 多视觉变量与单目视觉线索组合的三维地质模型增强可视化分析[J]. 测绘通报, 2022(12): 7-13. DOI: 10.13474/j.cnki.11-2246.2022.0349.摘要 :可视化与可视化分析能有效提升枯燥、抽象数据的认知能力。然而,受地表环境要素遮挡、三维地质模型的不规则几何特征等要素影响,地下局部空间视觉表征中断,难以高效感知和交互分析地质要素及要素间的空间、属性特征。因此,本文提出了一种多种视觉变量和单目视觉线索组合的三维地质模型特征信息的增强可视化分析方法,实现了三维地质模型关键信息的增强表达与定量分析,并选择重大铁路某大桥和某隧道两个区域地质单元进行了案例试验分析。结果表明,与现有三维网格类标尺可视化分析方法相比,本文方法的精度和效率分别提升了13.63%、29.32%;根据参与者的调查统计分析,可视化效果与交互体验也有较大提升,证明本文方法可以更高效地感知和分析复杂三维地质模型场景中的关键特征信息。
三维地质模型具备表达地质单元复杂构造、繁多组分及不规则形态等信息的能力[1],因此被广泛应用于矿产资源勘探、矿山规划与管理、城市地下空间资源管理、道路桥梁建设等AEC(architecture, engineering and construction)领域[2-6],特别是三维立体自然资源的精细管理和新型智慧城市建设中。数字孪生建模作为AEC领域变革性技术手段,地上-地表-地下一体化表达作为数字孪生建模的基本特征[7],急需“透明地球”等关键支撑技术取得突破,要求出现更具效率和精度的三维地质模型可视化交互分析方法,以提供准确感知与分析地质要素的空间几何特征,以及地质要素和周围环境要素间的空间关系特征、属性特征等信息的有效手段[8-10]。
目前,大多数AEC领域三维可视化平台采用桌面显示器作为媒介,由于桌面显示器通过平面视图显示三维场景,且不涉及用户身体的任何部分[11],用户无法利用双目视觉线索和自我中心参照表征对空间特征进行感知[12]。尤其是在地下空间环境中,三维地质模型受地表等环境要素的遮挡,导致地下局部空间视觉表征中断,严重制约用户的空间感知能力。
现有三维地质模型可视化交互分析方法有剖切分析[13-16]、体素可视化[17-19]、三维网格类标尺[20-24]等。其中,剖切分析可以较好地展示三维地质模型内部单个平面上的构造、形态特征等,但会导致被剖切掉的区域信息丢失,无法获取完整的特征信息。体素可视化可以较好地保存三维地质模型整体的空间几何特征,但用户在量化分析时的交互较为烦琐。三维网格类标尺存在以下问题:使用时需将视角调整至特定的位置,用户交互体验较差;当网格分辨率较低时,分析精度较差,而当网格分辨率较高时,线框密集堆叠,可视化效果较差。同时,三维地质模型的不规则几何特征也导致现有方法交互分析过程效率不足。
针对上述问题,本文提出一种多种视觉变量和单目视觉线索组合的三维地质模型特征信息的增强可视化分析方法。通过选取单目视觉线索并组合,提升用户对三维、深度、距离的感知;利用多种视觉变量的组合,结合文字、符号,实现三维地质模型空间、属性特征信息的增强表达与定量分析;通过引入多分辨率网格,减少定量分析时的视觉混乱,提升可视化效果与分析效率,以期让用户在复杂的三维地质模型场景中快速捕获、抓取关键信息,提升地质信息的传播效率,有助于施工决策、地质构造分析等,也为基于“透明地球”等技术构建的数字孪生建模提供有效的技术支撑。
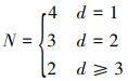
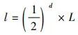
图 1为三维地质模型空间、属性特征信息的增强可视化分析方法的总体框架。首先在三维地质模型场景环境数据的支撑下提取具有增强感知和分析需求的表达特征;然后根据表达特征的各种特性将多种视觉变量和单目视觉线索组合,并结合文字与符号实现其增强可视化表达与分析。为帮助用户快速感知并分析场景中地质要素的结构、分布、属性,实现关键信息的快速抓取,本文在三维地质模型场景环境数据——三维地质模型、地表、周围环境要素(如隧道、桥梁、城市建筑、水体等)的支撑下,提取增强表达特征,包括三维地质模型自身元素属性特征、三维地质模型的空间几何特征、三维地质模型与周围环境中其他要素之间的空间关系特征。其中,属性特征是三维地质模型自身元素的多种属性,如断层、岩性、时代、成因、风化程度等;空间几何特征指三维地质模型自身及其组成元素的尺寸,如岩层长度、宽度、厚度;空间关系特征则是对三维地质模型与周围环境中其他要素之间的拓扑关系和度量关系,拓扑关系是要素之间的相离、相交、包含等定性描述的空间位置关系,度量关系则是定量描述要素间的空间位置关系。上述增强表达特征如图 2所示。视觉线索是人们通过视觉系统感知视觉范围内环境中有关深度、距离、三维信息的视觉依据[25]。视觉线索主要分为双目视觉线索和单目视觉线索。双目视觉线索主要通过人左右眼的成像视差形成;单目视觉线索则是单只眼睛通过阴影、透明、遮挡、透视变形、虚拟标尺、已知要素的尺寸等实现。由于人们无法对平面视图下的三维场景形成双目成像视差,因此采用单目视觉线索增强三维地质模型场景中与距离、深度、三维信息相关的特征信息。视觉变量最早由法国制图师Jacques Bertin提出,后续有大量学者对视觉变量进行研究并扩展,位置、大小、形状、方向、色调、饱和度、亮度、纹理、透明等均作为视觉变量被广泛应用于可视化领域[26-27]。视觉变量是对数据中的信息进行可视化编码的有效方式,根据表达的数据性质和需求,对视觉变量合理选用与组合,可以实现信息的语义增强[28-29]。本文以平面视图媒介的三维地质模型场景为基本载体,通过三维均匀网格、光线、阴影、虚拟标尺组成单目视觉线索组合,使用户可以通过视觉感知系统获取单目视觉线索组合,并基于过去关于环境经验的内化假设建立心理表述,增强三维、深度、距离信息的直观感知能力[10, 30]。通过将视觉变量位置、大小、立方体形状、透明、颜色组合形成一种多分辨率网格模型,把地质要素不规则的空间几何特征、场景中复杂的空间关系特征,编码为可以被定量分析的形态。在三维地质模型没有覆盖且距离三维地质模型较远的区域,采用较低分辨率网格进行绘制,减少用户关注度较少区域的线框叠置,从而提升可视化分析效果;在用户关注度较高的三维地质模型覆盖且距离三维地质模型较近的区域,采用较高分辨率的立方体网格进行绘制,提高可视化分析精度。这结合了体素可视化和三维网格类标尺的优点,并一定程度上解决了其量化分析时交互较为烦琐的问题;并在此基础上结合文字、符号,形成注释、图例、图表,使人们实现准确、高效、定量的分析,具体见表 1。结合八叉树的结构特性构建多分辨率网格模型,构建过程中使用均匀扫描判识方法对节点内部情况进行判识,为单目视觉线索、视觉变量的选取和组合提供支撑。八叉树通常被应用于数据储存管理,而本文结合八叉树的空间递归均匀剖分及剖分半径逐级减半的特性构建多分辨率网格模型。将八叉树中包含三维地质模型数据的节点称为非空节点,不包含三维地质模型数据的节点称为空节点。多分辨率网格模型的构建流程如图 3所示。八叉树的逻辑为:若三维模型M可以放置在一个将其完全包含的边长为L的正方体C中,则可以通过递归方式定义其八叉树,C作为M的八叉树根节点,设定八叉树剖分深度为D;将C剖分为8个边长为L/2的正方体,则这8个子空间为M的八叉树根节点的子节点;将这些子节点中的非空节点继续均匀剖分为8个正方体,使对应的节点得到8个子节点;不断将节点通过这样的方式递归剖分,直至预先设定的深度D,形成M的八叉树。图 4为八叉树空间剖分示意图。为实现结合八叉树结构特性的多分辨率网格构建,并使网格的分辨率便于用户读取,本文将三维地质模型外包围球中心点设为根节点的中心点,根据外包围球的直径与八叉树设定深度计算初始最高分辨率,将初始最高分辨率向上取整为5的倍数,得到实际最高分辨率,根节点的边长再由实际最高分辨率计算得到。为使生成的多分辨率网格方向满足用户需求或更贴合三维地质模型自身形状,根节点的竖直方向可采用两种方式确定:①与视点位置平行;②与用户通过鼠标拾取两点连成的线段平行。默认深度d为1的8个子节点为非空节点,使3个方向的虚拟标尺刻度均能对应上网格线。深度D的设定决定了方法的分析精度并对运算时间产生影响:设置过低会使网格分辨率较低,从而导致分析精度下降;设置过高会导致运算时间大幅增加,并降低可视化分析效果。综合考虑,深度D一般设置为4~8较为合适。在多分辨率网格构建时,需要判断八叉树节点是否包含三维地质模型数据,并且在实现三维地质模型属性信息的增强可视化表达、地质要素属性定量分析时,需要了解节点内部三维地质模型数据的属性与属性值,本文使用均匀阵列扫描方法对八叉树节点内部情况进行判识,具体的实现方法如下。(1)通过被扫描节点的深度d和根节点的边长L计算其边长l,公式为
(1)(2) 设定检测因子N,通过边长l、节点中心点位置,在节点的6个平面(包括边缘)分别均匀内插N×N的点阵,对向平面上的点阵组成N×N排列的射线阵列,共构成6组射线阵列。节点在八叉树中的深度d越高,其包含的空间范围越小。相应的,为提高检测效率,检测因子N根据子节点深度d进行调整:深度d越高,检测因子N越小。经过多次对运行时间的测试,判识效率与精度较高时,检测因子N与深度d的关系为
(2)(3) 根据均匀射线阵列在节点内部的交点属性与数量实现判识。若无交点,则将该节点记录为空节点;若有单个交点,则该交点处的属性值作为该节点判识结果并记录;若有多个交点,则将最先达到出现频次最多的属性值作为该节点判识结果并记录。以长方体为例,单个节点的一组4×4射线阵列扫描如图 5所示。当所有节点完成均匀射线阵列扫描判识后,绘制方式遵循以下规则进行。(2) 根据对节点是否为空的判断,按有无填充色区别空节点与非空节点:若为空节点,采用线框对其进行绘制,无填充色;若为非空节点,则以有填充色的立方体绘制。(3) 非空节点的属性特征通过立方体的颜色实现增强可视化表达。三维地质模型具有多种属性信息,如岩性、天然密度、风化程度等。为达到更直观的可视化效果,每次用户根据自己的需求只选取一种属性作为绘制的依据,采用不同的颜色绘制非空节点,以区分所有非空节点在该属性上属性值的差异。本文选择重大铁路某大桥与某隧道地质单元三维模型作为研究对象进行试验分析,基于WebGL技术搭建了三维地质模型增强可视化分析原型系统。客户端采用JavaScript、CesiumJS、Vue.js构建,服务器端采用Node.js v14.17.4构建,浏览器采用Chrome v96.0.4664.110。系统界面如图 6所示。为验证本文方法在分析效率、分析精度、可视化效果、用户交互体验的优势,在上述三维地质模型增强可视化分析原型系统的基础上,邀请20人参与试验。参与者年龄为20~30岁,均为GIS相关专业学生,并对地理信息系统、数字孪生平台等有较多的操作使用经验,可尽量减小年龄、知识背景、操作熟练度差异对结果的影响。参与者被随机均分为两组,使用本文增强可视化分析方法的小组被命名为试验组,使用三维网格类标尺可视化分析方法的被命名为对照组。两种方法对同一个三维地质模型场景的显示如图 7所示。参与者通过使用可视化交互方法,对本文所选取的地质要素空间几何特征(长度、宽度、厚度),以及地质要素与桥梁、隧道之间的空间关系特征(距离)进行量化分析,对选定区域的不同岩性的地质要素种类进行统计,并记录分析、统计结果。分析、统计总耗费时间通过参与者在开始和结束试验时用鼠标点击计时按钮由系统自动完成计时。参与者完成上述测试后,邀请所有测试者对本文增强可视化分析方法和三维网格类标尺进行体验,并对场景可视化效果、方法交互便捷程度提出直观感受,本文方法的可视化效果如图 8所示。通过参与者准确度评估参与者使用的可视化交互方法的精度,通过每组参与者完成整个测试的平均时间评估可视化分析方法的效率。根据试验组和对照组参与者的分析准确度和量化分析耗费时间,分别计算两组参与者的平均准确度和平均完成时间。根据试验结果可知,采用本文增强可视化分析方法的试验组平均准确率为93.72%,平均完成时间为85.35s;采用三维网格类标尺可视化分析方法的对照组平均准确率为82.48%,平均完成时间为120.76s。由此可知,本文增强可视化方法的分析精度较现行方法分析精度和效率分别提升13.63%、29.32%,说明本文方法在分析准确度的提升情况下,分析耗费时间也有较大提升。此外,在参与者均使用过两种方法对三维地质模型场景进行可视化分析后,大部分参与者认为在相同的分析精度下,采用本文方法的场景可视化效果更优,交互体验更为便捷。针对现有方法在三维地质模型空间几何特征、属性特征、与环境中其他要素之间的空间关系特征的感知和分析方面的不足,本文提出了一种基于视觉线索与变量组合的三维地质模型增强可视化分析方法,选取多种视觉变量和单目视觉线索并组合文字、符号,实现了对三维地质模型场景的增强可视化表达与定量分析;并搭建原型系统,选择重大铁路某大桥和某隧道两个区域地质单元开展案例试验分析。结果表明,本文方法较现有可视化交互分析方法,可视化分析效率与精度均有一定程度上的提升;在相同精度下,本文方法的可视化分析效果更优;用户的交互体验更优,不依赖特定视角,在大部分视角下均可有效感知和分析三维地质模型场景重要特征信息。此外,本文方法对以“透明地球”等为支撑技术的数字孪生建模具有重要意义。后续研究将采用沉浸式虚拟现实技术,以各类地下空间环境要素为研究对象,根据不同可视化应用场景下需求探索不同的增强可视化分析方法,为面向数字中国、智慧社会建设需求的数字孪生建模技术提供更完备的地上-地表-地下一体化表达技术支撑。
作者简介:李治泓(1998-),男,硕士生,研究方向为虚拟地理环境、数字孪生。E-mail:476660844@qq.com
![]()
![]()