图1 MoSe2@MXene/CFs的制作原理图。
图2. MoSe2@MXene/CFs催化剂的XRD 和形貌表征。
图3 a) MoSe2@MXene/CFs的XPS谱。b) Ti 2p, c) O 1s, d) Mo 3d, e) Se 3d, f) c 1s的XPS高分辨率光谱。
图4. MXene/CFs和MoSe2@MXene/CFs的焦耳加热性能。
图5 a) N2H4在不同电压下的焦耳热性能。b) N2H4的温度变化使MXene/CFs随功率输入的增加/减少而降低。c) N2H4的循环焦耳热性能在3 V时降低了MXene/CFs。d) MXene/CFs和MoSe2@MXene/CFs的相对电阻。e) MXene/CFs和MoSe2@MXene/CFs的平均TCR。f) MXene/CFs和MoSe2@MXene/CFs的热发射率。
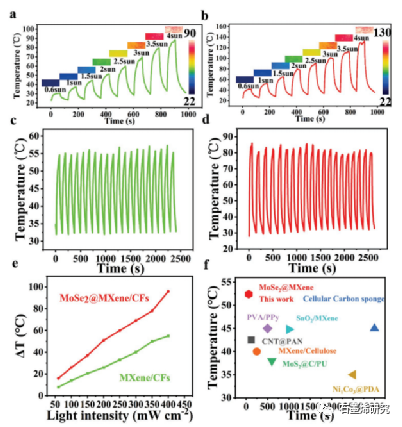
图6 光热转换性能。
图7 MXene/CFs和MoSe2@MXene/CFs的EMI性能。
图8 抗菌能力测试。
图9 通过可见光光催化ROS生成水中的MoSe2@MXene异质结构灭活细菌的原理图。
相关科研成果由香港中文大学科学与工程学院Qingbin Zheng等人于2022年发表在Small (10.1002/smll.202205853)上。原文:Doped-nitrogen enhanced the performance of Nb2CTx on the electrocatalytic synthesis of H2O2。