撰文丨耿淑娟 周炳红 李明涛
责编丨董惠玥
在6500万年前,一颗直径约10公里的小行星撞击了北美墨西哥湾尤卡坦半岛的一处浅海,形成了世界第三大撞击坑——希克苏鲁伯撞击坑。
小行星以约20公里每秒的速度闯入大气层,强烈的冲击波引发了巨大的海啸,高温热辐射则在瞬间点燃了周围的一切。小行星冲入海底,形成了直径约180公里的希克苏鲁伯撞击坑。高速撞击掘起了海底物质,大量溅射物进入大气层,变成火球雨落在全球,并引发了全球大火。
有观点认为,此次撞击事件导致烟雾和粉尘进入平流层,遮蔽了太阳光,使全球温度骤降,地球进入长达几十年的“冬天”。植物的光合作用近乎停滞,植物和以植物为生的动物的生存受到了影响。气候环境的骤变对地球生物造成了毁灭性打击,最终导致了包括恐龙在内的全球超过70%的生物的灭绝。
希克苏鲁伯撞击事件标志着白垩纪的结束和新生代的开始。统治地球长达1.6亿年的恐龙退出了地球舞台,哺乳动物从爬行动物巨大的影响下走出来,逐渐站上了地球舞台,并成为了地球的主人,从而演化出今天高度发达的人类文明。
通古斯大爆炸(Tungus Explosion)是1908年6月30日早上发生在俄罗斯西伯利亚通古斯河上空的爆炸事件,也是近200年来,地球遭遇的最大规模的撞击事件。
爆炸发生于北纬60.55度,东经101.57度,估计爆炸威力相当于2千万吨TNT炸药,等效约1000颗广岛原子弹。爆炸产生的冲击波造成了超过2150平方公里内8千万棵树的倒塌。
据报道,当地人在当日早晨观察到一个巨大的火球划过天空,其亮度和太阳相当。稍后出现的爆炸产生的冲击波将附近650公里内的窗户震碎。在事发后数天之内,亚洲与欧洲的夜空都呈现出暗红色。
通古斯事件可能是由一颗直径30-50米的小天体撞击导致的,但因为在现场没有发现任何陨石,人们至今无法判断该撞击体是小行星还是彗星。也有观点认为,通古斯事件可能是一颗金属小行星在大气层中“打水漂”造成的。
在2013年2月15日的早上,一颗直径约20米的小行星,以约18公里每秒的速度撞击了俄罗斯车里雅宾斯克地区,这是本世纪规模最大的一次撞击事件。
由于这是一起发生在白天的撞击事件,因此在这颗小行星爆炸之前,没有任何一个望远镜能够提前发现它。直到小行星在大气层中爆炸,才被美国的气象卫星拍到。
该小行星在车里雅宾斯克地区上空约30公里的高空爆炸,等效约30颗广岛原子弹当量。爆炸瞬间的光芒超过了太阳。大约在两分钟后,爆炸产生的冲击波到达地面,击碎了约3000栋房屋的玻璃,导致约1500人受伤。
许多人用行车记录仪等设备记录了本次爆炸的过程。车里雅宾斯克事件给人们带来极大震撼,这让更多有识之士开始正视小行星撞击的相关事件。
撞击地球的小行星数目繁多,它们的轨迹各不相同,进入大气层的角度也不同,其中,以45°角撞击的概率最大。大部分进入大气层的小行星都在空中解体或撞击地面、海洋,但有一小部分小行星较为特殊,它们以很小的角度(比如说,<10°)进入大气层,我们将其称为掠地小行星(Earth-grazing asteroids),而这类撞击常叫做小角度撞击。
对于掠地小行星而言,它们的撞击模式无疑是更加丰富的。除了像其他大角度撞击的小行星那样直接射入大气内部之外,它们也有可能像“打水漂”一样掠过大气层,而后逃回太空并不再回来。
其实,人们对此类“打水漂”的火流星并不陌生。早在1783年,便有欧洲西部上空飞掠火球的记录[1]。1972年8月10日,一颗火流星造访美国与加拿大上空,进入大气后最低高度达到了58km,在损失部分质量后飞出了大气层,回到太空[2]。这颗掠地火流星引起了科学家们的广泛关注,也成为科学家们研究较早的掠地火流星,被称为“1972 年白日大火球”。
后来,人们又多次观测到飞掠地球的火流星,如1990年10月13日波兰上空的流星体[3],2006年3月29日飞掠日本的流星体[4]等。于2012年6月10日掠过西班牙上空的流星更是被证实为观测到的第一颗来自流星雨的掠地火流星,它在地球上空飞行了510km、超过了17s,最终带着在大气层内形成的熔壳返回了太空[5]。
如今,各大火流星监测网(如澳大利亚沙漠火球监测网)的建立方便了我们对掠地火流星的观测,也为科学家们推测火流星的物理特性及相关的轨道信息提供了便利。下图中的火流星在2017年飞过澳大利亚上空,在大气内持续飞行达90s之久。通过观测的数据,科学家们确定它进入大气前速度为16.1km/s,而速度在其飞出时减小到了14.6km/s[1]。
不难注意到,在直接进入和逃逸之间,可能存在一种中间模式。在这一模式下,小行星被地球短暂捕获,成为地球的小卫星,处于一种“我要逃了,但又没完全逃走”的状态,它可能多次绕地球飞行,并逐渐“虚脱”,最终在大气层内解体或降落到地面,这种模式我们称为捕获撞击。
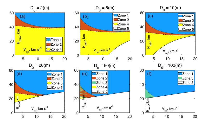
近期,笔者所在的中国科学院国家空间科学中心/中国科学院复杂航天系统电子信息技术重点实验室对掠地小行星的撞击地球模式展开了深入研究,并首次揭示了小尺寸小行星撞击地球的五种模式,分析了捕获撞击模式的参数空间变化规律,对捕获撞击的潜在危害模式进行了探讨。相关成果发表在天文领域国际知名期刊MNRAS上[6]。
捕获撞击的最终结果也并没有非常特别,如果没有完全烧蚀掉,它也是会发生解体或者落到地表的。解体和撞击地表在撞击效应上的差别很大。解体能够加速小行星的质量和能量的损失,使大量能量在一瞬间释放出来,从而极易引发空爆,导致较大范围内的冲击波灾害。
如此一来,结合重要的解体现象,小行星小角度撞击地球的“姿势”就可以分为五种:逃逸,直接撞击并解体,直接撞击不解体,捕获撞击并解体,捕获撞击不解体。
捕获撞击场景的可能性的确存在,只不过也确实很小。虽然小,但仍然有可能。
通过对直径2米、5米、10米、20米、50米以及100米的小行星在2km/s到20km/s的速度范围(地球影响球边界处的速度)、0到100km的理论近地点高度范围内进入大气的过程及结果进行了仿真,我们发现了两个主要规律。
第一个规律是小行星被捕获的参数范围对速度较为敏感,且速度越大,可被捕获的参数空间就越窄。这并不难理解。速度越大,小行星就越容易接近逃逸速度,而且也使得驻点压强更容易到达解体强度,从而使之更易解体。因此,留给捕获撞击的参数空间就不可避免地缩小。
第二个规律是小角度进入时,对于几米至百米尺寸的小行星,尺寸大的小行星更容易解体。这是由于直径大的小行星面质比更小,减速更慢,因此在相同高度下,速度大的驻点压强也更大,更易达到小行星的解体强度。小角度撞击下,速度较小的小直径小行星更容易落到地面上,也是基于同样的道理。
将两个规律放在一起还能发现,解体在一定程度上加快了捕获空间的缩小。有一些原本能够飞出大气层再飞回来的小行星,由于发生了解体,失去了飞出大气的机会,在绕地球运行多圈之前便迎来了命运的结局。
被地球短暂捕获的小行星,它们的轨道随近地点高度和速度的不同也呈现出一定的规律。
进入大气层时,近地点越高的小行星,在最后一次进入前绕地球的圈数也越多;速度越大的小行星,轨道的半长轴就越长。
除此之外,捕获小行星在绕地球飞行时,每一圈的轨道特点也有所不同。
随着圈数的增加,小行星的近地点会逐渐降低,轨道也由椭圆向圆形趋近;与此同时,小行星在大气内待的时间也更久,走过的地面航程也更长。这意味着,捕获小行星在绕地球飞行时,越靠近最后一次撞击,被人们目击到火球的概率就越大。
根据总结的小角度撞击模式与捕获小行星的大气进入规律,我们不难发现,捕获小行星的撞击效应是与直接撞击有差异的。
首先,由于能量和速度、质量的损耗,被捕获的小行星在最后一次撞击时的威力会小于直接撞击的小行星。如果相同进入速度的小行星在捕获撞击和直接撞击时都发生空爆,前者的冲击波将更小。
1996年10月3日至4日,美国德克萨斯州与加利福尼亚州上空先后有两个火球飞掠,二者时间间隔仅为100分钟。有学者认为这两个火球其实来自于一个被地球捕获后两次进入地球大气的小天体[7]。可惜的是,经过细致的分析,研究人员发现,由于德州上空的火球倾角过大,该小天体并没有发生捕获撞击的可能[8]。
也就是说,到目前为止,捕获撞击的小行星还没有观察数据的支撑。这首先是因为小角度撞击的概率相对较小,而在目前记录的小角度撞击中,人们也只发现了逃逸和直接撞击的场景。其次,此类撞击每两次进入之间存在较大的时间和空间间隔,较长的间隔能达到一个月甚至更久,而这期间地球自转引起的距离差也是不容小觑的。
因此,即使人们观测到了同一个小行星多次进入的现象,也可能会直接当成两个不同的火球,而不是把它们联想在一起。
除了灾害的影响外,被捕获的小行星也能为小行星探测与资源利用带来一系列裨益。小行星探测的成本之所以高,很大一部分原因就是它距离地球相对遥远。
而捕获的小行星在被捕获和落地期间是地球的小卫星,如果能够利用飞行器适当抬升其近地点至大气层之外,就有可能使其成为一颗地球的小月亮[9]。这无疑能够极大地减少小行星探测的成本,也使得低成本小行星资源利用成为可能。
参考文献: (滑动可查看更多)
赛先生
启蒙·探索·创造
如果你拥有一颗好奇心
如果你渴求知识
如果你相信世界是可以理解的
欢迎关注我们投稿、授权等请联系
saixiansheng@zhishifenzi.com