理查德·费曼
(图源:The pleasure of finding things out)
引言:路径积分别有新意 众人构建量子场论
撰文 | 张天蓉
责编 | 宁 茜 吕浩然
在量子力学建立初期,可以基本上认为它有两套纲领:海森堡(Werner Karl Heisenberg,1901-1976)等人的矩阵力学和薛定谔(Erwin Schrödinger,1887-1961)的波动力学。但实际上它们在数学上是完全等价的,仅仅从表面上看似乎分别偏向于粒子能级跃迁的解释和波动解释。之后,狄拉克(Paul Adrien Maurice Dirac,1902-1984)将波动方程扩大到能够处理相对论粒子和自旋,使得量子力学应用起来更为完善并且开启了量子场论的发展,但仍旧属于求解波函数的“波动解释”。然而,费曼的路径积分方法却是别有一番新意,它让人们完全从另外一种角度来思考量子力学。
从数学方法上来说,海森堡等人使用矩阵,薛定谔和狄拉克使用微分方程,费曼则是使用积分的、整体的观念来解释和计算量子力学。并且,路径积分的方法有一个优点:可以很方便地从量子力学扩展到量子场论。
什么叫“路径积分”呢?我们首先从牛顿力学中粒子走过的路径来理解。
经典力学最初的表达形式由牛顿给出,之后拉格朗日(Joseph Lagrange,1736-1813)及哈密顿(William Rowan Hamilton,1805-1865)等人建立了分析力学。牛顿力学中,大多数情况下是解微分方程的方法:在一定的初始条件下,方程的解是粒子的空间位置随着时间而变化的一条曲线。例如,如图1所示,考虑按照一定的速度和角度发射出去的子弹的轨迹,是一条从发射源到目标的抛物线,即图中的红色实线。在分析力学中,一般用极值和变分法来处理力学问题。
图1:牛顿力学决定的经典路径(红线)
从图1中我们看到:从发射源到目标点可以有很多条路径,为什么子弹就单单挑了那一条红色路径来走?这个问题问得奇怪,不是有牛顿定律吗?那条红实线的粒子路径,是在地球重力场中牛顿方程的解。不过,拉格朗日等分析学家们对这个问题有另外一种说法。分析力学中有一条基本的规则——“最小作用量原理”。大自然遵循着这条奇妙的规则,总是挑选作用量最小的方式行事,表现得就像是一位精明的经济师。例如,根据最小作用量原理,可以如此理解图1中子弹的运动:从源到目标的每一条路径,都对应于一个称为“作用量”的数值,而子弹最后选择的红色经典路径,必定是作用量最小的那条路径。
费曼将这个思想用到量子理论中,说法改变了:量子力学中的电子,不像经典粒子那样,只走一条红色抛物线,而是同时走所有可能的路径。即所有的路径都对电子从始点到终点的概率有贡献。不同的路径贡献不同的概率幅,总概率幅等于所有概率幅相加。再进一步,如果将路径积分用于量子场论的话,说法也是类似的,只是需要将电子改为“系统的量子态”,即:场论中的量子态 过渡到另一个量子态的概率幅,是所有可能路径的概率幅相加。所以,三种情形(经典、量子力学、量子场论)下的物理规律,都可以用类似的说法来表达,只不过三种理论中,作用量的表达式不一样而已。
上一篇中介绍过,费曼在MIT(麻省理工学院)得知量子电动力学有无穷大的问题后,来到普林斯顿大学投奔到惠勒(John Archibald Wheeler,1911 -2008)旗下读博士,他如鱼得水,雄心勃勃。不过,两人刚发了一篇文章,二战便开始了。他们双双参加到研究原子弹的曼哈顿计划(Manhattan Project)中,无暇再顾及这种纯理论问题。在洛斯阿拉莫斯国家实验室(Los Alamos National Laboratory),费曼以其坦诚的人格、敏锐的眼光和出色的表现,贏得了老一辈物理学家,如玻尔(Niels Henrik David Bohr,1885-1962)、贝特(Hans Bethe,1906-2005)等人的高度赞赏;维格纳(Eugene Paul Wigner,1902-1995)把他誉为第二个狄拉克。那时候,年轻有为的他是大家心目中的英雄和天才,不是一般的天才,是个魔术师般的鬼才。此外,费曼又是个性情中人,他的第一任妻子阿莲在洛斯阿拉莫斯因病去世,费曼给她写过一封信,其中讲到他们的感情故事,催人泪下、感人至深。费曼一直珍藏着这封没有地址也无法寄出的信,直到他去世后才被开封。
大战结束之后,费曼受聘于康乃尔大学,得以继续他对量子理论问题的探讨。几年之后,费曼在他博士论文的基础之上,完善了作用量量子化的路径积分方法。他1948年在《现代物理评论》(Reviews of Modern Physics)上发表的“非相对论量子力学的空间-时间描写”便是其划时代的代表作。几乎同时,费曼也成功地解决了量子电动力学中的重整化问题,创造出了著名的费曼图和费曼规则,方便快捷地近似计算粒子和光子相互作用问题。
费曼路径积分的思想很容易从量子力学推广到场论,但量子场论中大多数人采用的正则量子化方法更容易理解。
在物理学中,研究“场”的历史早已有之。牛顿引力理论虽然是一种超距作用,但牛顿从未说到过“场”,不过牛顿引力也表现某些含糊的经典场概念。后来,经典电磁场由法拉第(Michael Faraday,1791-1867)提出,麦克斯韦(James Clerk Maxwell,1831-1879)赋予其严格的数学描述,在工程上一直成功地沿用至今。
最早将量子力学用于场(真空中的电磁场)的是量子力学创建者玻恩(Max Born,1882-1970)、海森堡、约尔丹(Ernst Pascual Jordan ,1902-1980)等1926年的论文。普朗克(Max Planck,1858-1947)也曾经将受热物体内电子的运动替换为无限多个简单振动模式,用这种理想化处理方式,他提出任何一个振动模式所允许能量差等于该模式振动频率乘以普朗克常量的猜想。普朗克的猜想被量子力学所证实。
正则量子化的方法,是将电磁场想象成简单振子,如同小提琴的弦。换言之,电磁场可以被看作是一把拥有大量弦的小提琴,弦具有所有可能的长度。电磁场内任何一个振动模式的能量正比于场强的平方。每个振动模式的能量都是量子化的,大小等于该模式振动频率乘以普朗克常数。
玻恩,海森堡以及约尔丹等,当年的工作只是处理真空中的电磁场,并没能给出其它任何重要的预测,但至少把爱因斯坦对光子的观点付诸于严格的数学基础。
最先让量子场发挥“实际”用途的是狄拉克。狄拉克用场论计算了处于激发态原子自发释放电磁辐射跃迁到低能态的速率。其中最关键的问题是如何用量子力学来理解莫名其妙冒出来的光子。
继狄拉克之后,1928年的约尔丹和维格纳, 1929年到1930年间海森堡和泡利(Wolfgang E.Pauli,1900-1958),以及1929年的费米(Enrico Fermi,1901-1954),均发表了类似的论文。他们指出物质粒子可以理解为不同场的量子,就如光子是电磁场的量子一样。1932年,费米应用这种思想解释了原子核β衰变的理论。
因此,量子场论的思想早就诞生了,几乎可以算是量子力学的孪生兄弟,或者小1-2岁吧,因为量子电动力学一词,第一次就是出现在狄拉克1927年的文章中。但后来量子力学突飞猛进发展,量子场论却多年停滞不前,其原因是因为它在发展过程中碰到了“无限大”的困难。之后,物理学家们发展了重整化的方法加以解决。
量子场论的思维方式,就是将所有的物质都看成场,以场为本,认为粒子只是场的“激发态”,犹如水波中的涟漪。
这种思维方式主要是狄拉克开创的。狄拉克的思想来自两方面,狄拉克海是其一。狄拉克海的假设虽然不完善,这种“真空不空”的思想却被大家接受并移植到量子场论中。既然狄拉克海的解释涉及到了无穷多个电子,还不如一开始就考虑多电子的运动而不要只考虑单电子的运动。正电子也可以从一开始就冠冕堂皇地进入理论中,而没有必要作为真空的一个空洞而出现。
另一方面,狄拉克早在1927年,狄拉克方程和狄拉克海未发布之前,就已经使用场论的方法成功地计算出原子的自发辐射系数。
处于低能级El的原子,受到外来光子的激励时,能吸收光子的能量,跃迁到高能级Eh,即ΔE=Eh-El,这种现象叫做受激吸收,见图2a。而受激吸收之后处于高能级的原子,也有可能辐射出光子跃迁到低能态。这种跃迁有两种方式:自发辐射和受激辐射。前者的例子如荧光等(图2b),后者的例子如激光(图2c)。
图2:原子的吸收和辐射
受激辐射大致可以用量子力学粗略解释,自发辐射的解释却需要量子场论。因为根据量子力学,如果一个孤立原子处于定态(激发态),它将一直处于该态,而不会自发跃迁。孤立的电磁场也是如此,用小提琴琴弦(谐振子)来比喻,如果不存在与原子的相互作用,电磁场就像全部彼此隔绝小提琴琴弦的集合,该集合将永远保持不变,意味着原子将永远保持初始能态。但是,如果根据量子场论,孤立原子是不存在的,真空中存在各种场。处于激发态的原子必然与真空中电磁场发生相互作用,因而导致自发辐射。
比较量子力学,量子场论的另一个优越性是能够处理粒子数变化的情形。量子力学方程解出的是单电子的波函数,电子数是固定的1,光子数固定为0。原子中因为电子状态的跃迁而辐射光子的过程无法用经典电磁理论描述。因为原来系统中并没有任何电磁场存在,为什么突然就冒出几个光子来了呢?
类似的问题来自于解释原子核多种放射性衰变中的β衰变,就像当原子失去能量时产生光子一样,β衰变中的原子核释放出一个电子。开始人们认为原子核由质子和电子组成,然而1931埃伦费斯特(Paul Ehrenfest,1880-1933)和奥本海默(Julius Robert Oppenheimer,1904-1967)提出一个论证:原子核中并不包含电子。那么,原子核发生衰变时电子是从哪里来的呢?费米由此而提出核衰变时,中子变为质子、电子和中微子(泡利预言的)的场论想法,完整地解释了β衰变。
按照量子场论的观点,每一种基本粒子,都应该有一个与它对应的场,这些场互相渗透、作用、交汇在一起,真空被看作是各种量子场的基态,粒子则被看成是场的瞬息激发态。不同的激发态,有不同的粒子数和不同的粒子状态。不同场之间的相互作用,引起各种粒子的碰撞、生成、湮灭等过程。
总结上面所说的,物理研究中有两种类型的“场”,经典场和量子场。麦克斯韦电磁场,从薛定谔方程、狄拉克方程等解出的波函数,都算是经典场。电磁场是光子的经典场,波函数是单电子的经典场。经典场可以被量子化为量子场,即通常人们所说的“二次量子化”。电磁场被量子化后成为光子场,单个电子的波函数被量子化后成为“电子场”,电子场使得电子回归到粒子性,但描述的已经不是原来的单个电子,而是粒子数可以变动,电子及正电子不断产生和湮灭的多粒子场。类似地,还有夸克场、其它基本粒子场等等。
研究这些基本粒子场之间复杂的相互作用。以及在各种相互作用下可能发生的粒子产生与湮灭的理论,便是量子场论。其中最常用的一个,研究光子与物质相互作用的,叫做量子电动力学,即QED(Quantum Electrodynamics)。
下面以电磁场的量子化为例,对量子化过程作简单介绍。
经典电磁场被看成是连续的电磁波,量子化后成为物理量有分离本征值的各种频率的光子场。
量子化的方法很多,除了之前所说的费曼路径积分之外,常用的是正则量子化。这是最早时候狄拉克,以及之后的约尔丹、维格纳、海森堡、泡利、费米等使用的方法。
当我们说“量子化”,意味着什么?从经典力学过渡到量子力学时,物理量用算符表示。现在要从经典场过渡到量子场,也遵循这个法则。电磁场量子化的第一步,是把整个空间的电磁场,分成若干个不同位置、不同动量的谐振子。也就是说,将电场强度E和磁场强度B的电磁场(图3a),表示为许多具有正则坐标qi和正则动量pi的谐振子(图3b)。
图3:从经典场到多个谐振子到量子场
电磁场中的所有物理量(电场强度、磁场强度、位置、动量等),量子化后都是算符。从谐振子的正则坐标和正则动量,可以定义光子的产生算符a+j(t)和湮灭算符a-j(t),见图3c。
产生算符和湮灭算符也是狄拉克最早使用的,来源于他在量子力学中解决谐振子势场中电子能级问题时,引进的“升降算符”,也叫阶梯算符。
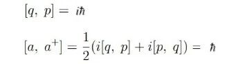
有了产生算符和湮灭算符,光子(或其他粒子)可以消失或产生,量子场论才成为一个完整的理论。从量子力学中位置算符和动量算符的不确定性关系,可以得到产生算符和湮灭算符的不确定性关系,如下:
最后,产生算符和湮灭算符构成光子数算符n。使用光子数表象,算符n的本征态|n>,可以被看作是有n个光子的量子态,例如,|0>表示系统的基态,或称真空态。
从量子场论出发,可以计算各种带电粒子与电磁场相互作用的“截面”,这儿的“截面”,即散射截面,是一个物理术语,用以度量发生相互作用的概率。例如康普顿效应、光电效应、轫致辐射、电子对产生和电子对湮没等。这些物理现象的结果都可以用微扰论方法取最低一级不为零的近似而得到。但不论是哪一种过程,当计算更高阶的近似时,会得到无限大的结果。因为这个原因,量子场论的研究停止了近二十年。
下一次将介绍,如何用“重整化”的方法,克服无限大的困难。
赛先生
启蒙·探索·创造
如果你拥有一颗好奇心
如果你渴求知识
如果你相信世界是可以理解的
欢迎关注我们投稿、授权等请联系
saixiansheng@zhishifenzi.com