认真阅读下面的文章,并思考文末互动提出的问题,严格按照 互动:你的答案 格式在评论区留言,就有机会获得由机械工业出版社提供的优质科普书籍 《6G无线通信新征程:跨越人联、物联,迈向万物智联》一本。
实验装置
光照强度
经典模型VS实验观测
马克斯·普朗克和他的假设
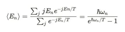
紫外线灾难问题迎刃而解
参考文献:
[1] https://phys.libretexts.org/Bookshelves/Electricity_and_Magnetism/Book%3A_Electromagnetics_and_Applications_(Staelin)/02%3A_Introduction_to_Electrodynamics/2.06%3A_Boundary_conditions_for_electromagnetic_fields
[2] Quantum Field Theory and the Standard Model, 1st Edition, Matthew D. Schwartz, HB ISBN: 9781107034730
作者:Benedict Goh
翻译:xux
审校:zhenni
原文链接:
https://medium.com/@afiqhatta.ah/the-ultraviolet-catastrophe-2467c537c4b2
fu
li
shi
jian
今天我们将送出由机械工业出版社提供的《6G无线通信新征程:跨越人联、物联,迈向万物智联》。
【互动问题:你认为最有用的物理定律是什么?解决了什么问题?】
请大家严格按照 互动:问题答案 的格式在评论区留言参与互动,格式不符合要求者无效。
截止到本周四中午12:00,参与互动的留言中点赞数排名第二、四、六的朋友将获得我们送出的图书一本(点赞数相同的留言记为并列,下一名次序加一,如并列第二之后的读者记为第三名,以此类推)。
为了保证更多的朋友能够参与获奖,过往四期内获过奖的朋友不能再获得奖品,名次会依次顺延
*本活动仅限于微信平台
翻译内容仅代表作者观点
不代表中科院物理所立场
编辑:zhenni
近期热门文章Top10