导读
含氮化合物在药物化学、天然产物和材料科学等领域有广泛的应用。因此,发展高效的构建C-N键的方法,一直以来都是化学家思考的问题。近些年来,通过过渡金属催化的C-H键活化实现C-N键的构建,引起了人们的广泛关注。相对于C(sp2)-N键,C(sp3)-N键的构建则研究较少。
由于其原子经济性和步骤经济性,交叉脱氢偶联(Cross Dehydrogenative Coupling, CDC)成为构建C-C以及C-X键的理想方法。其中,烷基醚α-位C-H键可以与N-H键发生CDC反应用于构建C(sp3)-N键,但N-H源局限于唑系、磺酰胺、酰亚胺和糖精。因此,醚与普通酰胺之间的CDC反应形成C(sp3)-N键仍需进一步发展。
早在2005年,Daugulis课题组就报道了吡啶酰胺作为导向基,实现C(sp3)-H的芳基化反应,其他的官能团化也在随后的研究中得以实现(Scheme 1a)。近些年来,Pd催化的吡啶酰胺导向的分子内胺化也被报道(Scheme 1b)。最近,湖北工业大学材料与化学工程学院的李栋教授在国际著名期刊Adv. Synth.Catal.上报道实现了铜催化的吡啶酰胺导向的酰胺N-H键与醚α-位C(sp3)-H经CDC反应实现胺化。文章DOI:10.1002/adsc.201701508。
Scheme 1. 吡啶酰胺导向的C-H或N-H的官能团化。图片来源:Adv. Synth.Catal.
对于条件优化,作者采用1a、2a作为标准底物,对催化剂及反应条件进行了筛选(Table 1)。结果发现,当使用Cu(OAc)2 (10 mol %)作催化剂,TBHP (3.5 equiv) 作氧化剂,1,10-phen为配体,室温反应8 h,能以>99%的分离收率得到产物3aa,进一步降低催化剂至5 mol %,反应产率几乎不变,得最优条件。
Table 1. 条件筛选。图片来源:Adv. Synth.Catal.
在该最优条件下,作者对吡啶酰胺的底物适用范围进行了考察(Table 2)。结果发现,芳环上不同的官能团如F、Cl、Br、OMe等都可以得到兼容。反应条件温和,能以很高的产率得到醚α-位胺化的产物。
Table 2. 吡啶酰胺的底物适用范围。图片来源:Adv. Synth.Catal.
随后,作者在采用1a作胺化试剂条件下,对醚2的底物适用范围进行了考察。需要指出的是,对于不同的醚,往往需要采用不同的反应温度。除了环醚,链状醚也可以高效地参与反应。此外,噻吩底物的C-H键也可以反应(Table 3)。
Table 3. 醚的底物适用范围。图片来源:Adv. Synth.Catal.
为了对反应的机理有一定的了解,作者还做了如下的探究实验(Scheme 2)。体系中加入TEMPO和BHT,反应被完全抑制,证实了反应可能是经历自由基的历程(实验a和b)。KIE值高达6.7则证明了醚α-位sp3碳氢键包含在决速步中(实验c)。普通的苯甲酰胺不参与反应,证明了吡啶原子的导向是必要的(实验d)。
Scheme 2. 控制实验。图片来源:Adv. Synth.Catal.
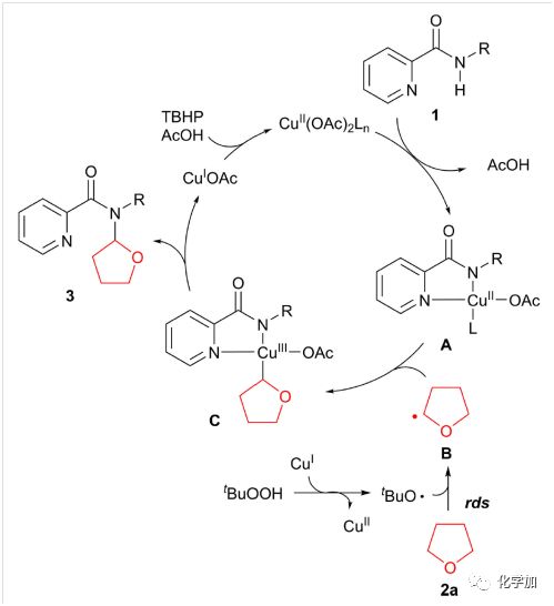
基于如上实验的结果以及文献的调研,作者提出如下可能的机理:吡啶酰胺1在Cu(II)配位下产生五元环铜物种A。四氢呋喃2a在TBHP作用下产生自由基B, 后者与A偶联生成中间体C,后者发生还原消除得到最终产物和Cu(I), Cu(I)被TBHP氧化重生Cu(II)(Scheme 3)。
Scheme 3. 可能的机理。图片来源:Adv. Synth.Catal.
为了证明该方法学的实用性,作者还将产物3aa经一步简单的还原得到氨基醇7(Scheme 4)。
Scheme 4. 产物的转化。图片来源:Adv. Synth. Catal.
总结:在该工作中,李栋教授课题组报道实现了铜催化的吡啶酰胺导向的酰胺N-H键与醚α-位C(sp3)-H经交叉脱氢偶联构建C-N键的过程。反应产率高,条件温和,官能团兼容性好。并且,作者还对反应机理做了较为细致的研究,证实了反应可能是经历自由基的历程。未来,作者还将继续努力把该方法学应用到具体的合成中。
原文链接:http://onlinelibrary.wiley.com/doi/10.1002/adsc.201701508/epdf
拓展阅读
更多精彩,关注本号后,后台回复相应代码查看
回复 c001:漫画化学 回复 d001:化学趣史
回复 f001:视频动画 回复 g001:趣味实验
回复 a002:餐桌化学 回复 i001:缤纷化学
回复 j002:化学趣闻 回复 m002:创意化学
回复 k001:趣味化学 回复 L004:涨—知识
欢迎广大读者分享赐稿或者有偿投稿
原创稿一经采用:200-1000元/篇
编辑手机/微信 :18676881059
邮箱:gongjian@huaxuejia.cn
化学化工行业交流群:413544856
药物化学中间体API群:177675326
日用化学精细化工群:456356583