导读
近期全球共有6个药品上市,其中小分子药物有4个;共有9个药品注册,其中小分子药物有5个。我们特别汇总了这几个近期全球批准和注册的小分子新药简介和合成路线,供大家参考。
跳转阅读→厉害啦!中国科学家3天发表6篇CNS文章
近期全球全球批准和注册的小分子新药
药品名 | 公司 | 适应症 |
1、Tasigna | Novartis | 慢性髓细胞白血病 |
2、Levocarnitine | Otsuka | 线粒体脂肪酸氧化功能障碍 |
3、Aminolevulinic acid | Chugai & SBl | 膀胱癌 |
4、 Palbociclib | Pfizer | 乳腺癌 |
5、Olanzapine | Lilly | 预防化疗诱发的恶心呕吐 |
6、Misoprostol | Azanta | 分娩妊娠子宫有收缩 |
7、Regorafenib | Bayer | 肝癌 |
8、Donepezil | Eisai | 老年痴呆症 |
9、Cladribine | Merck | 复发缓解型多发性硬化症 |
1、Tasigna
Tasigna是全球首个也是唯一一个包含了慢性期费城染色体阳性慢性髓性白血病(Ph+ CML-CP)成人患者无治疗缓解数据的BCR-ABL酪氨酸激酶抑制剂,也是首个提供了明确及经核准标准的可以进行TFR尝试和监测的酪氨酸激酶抑制剂。临床试验的统计结果显示,Tasigna明显疗效优于格列卫,Tasigna目前已被批准成为治疗慢性粒细胞白血病的二线用药。其分子结构和3D模型如下:
其合成路线如下:
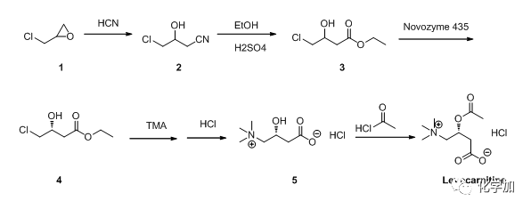
2、Levocarnitine
Levocarnitine是存在于体内的一种自然物质,尤其在肌肉、大脑中含量非常丰富,是人体内一系列重要的代谢过程的重要部分,它从细胞中带走乙酰基并协助能量转移;转运脂肪酸进入线粒体并在此进行B-氧化,以促进脂肪燃烧提供能;将过量的脂酰辅酶A排除体外防止其损坏细胞。2017年,Otsuka公司开发了该化合物的三个新的适应症。其分子结构和3D模型如下:
其合成路线如下:
3、Aminolevulinic acid
2017年,该产品在美国被批准用于神经胶质瘤患者,在恶性肿瘤手术中作为标识的附属物。2017年,该产品在日本也被批准使用。其分子结构和3D模型如下:
其合成路线如下:
4、 Palbociclib
Palbociclib是一种活性小分子抑制剂,它在2015年首次被批准并商业化,在美国作为绝经后妇女的第一线治疗,与勒曲唑一起用于ER+, HER2-晚期乳腺癌。2016年,FDA扩大了其药用范围,可用于激素受体阳性(HR+)、HER2- advanced或转移性乳腺癌的治疗,并将其与在内分泌治疗后疾病进展情况下的妇女(不论绝经期)的治疗。在2016年,palbociclib在欧盟被批准用于治疗女性的HR+/HER2-局部晚期或转移性乳腺癌,结合芳香化酶抑制剂,以及在接受过内分泌治疗的女性中使用。在英国之后不久就进行了发射。在2017年9月,它被批准并在日本启动,用于治疗无法手术或复发的乳腺癌。其分子结构和3D模型如下:
其合成路线如下:
5、Olanzapine
奥氮平双羟萘酸盐是一种D2型多巴胺和5-羟色胺2A拮抗剂,用于治疗成年人的精神分裂症。 欧盟方面于2008年9月收到了肯定意见,并于2008年11月获得批准。该产品于2009年首次在挪威和德国上市。2009年在美国被批准并推出。药效持久的配方正在开发中。该化合物是抗精神病剂奥氮平的新型盐。 在2月份,FDA的精神药理学药物咨询委员会建议批准该药物,但是在当月晚些时候,美国收到了一封不可批准的信函,指出FDA需要更多的信息来更好地理解在临床试验中观察到的大约1%的病人过度镇静事件的风险和潜在原因。2011,该产品由礼来公司在日本申请批准,用于治疗精神分裂症急性期,并于2012年9月获得批准,12月在日本商业上市。2017,该产品在日本被批准用于治疗接受高度化疗的癌症患者的恶心和呕吐。在临床发展方面,礼来已经完成了III期临床试验,作为治疗滴虫症的潜在药物。VU Medisch Centrum(VUmc)正在进行II期临床试验以治疗晚期癌症患者的精神错乱。佛蒙特大学正在进行治疗胃排空障碍(胃轻瘫)的I期临床试验。国家心理健康研究所(NIMH) 也正在进行II / III期临床试验,以治疗儿童自闭症,但最近还没有报道。分子结构和3D模型如下:
其合成路线如下:
6、Misoprostol
米索前列醇是一种合成的前列腺素E1类似物,由辉瑞公司于1985推出,用于口服治疗胃溃疡。该化合物被批准用于治疗十二指肠溃疡、胃溃疡和非甾体抗炎药物(NSAID)引起的溃疡,以及预防由非甾体抗炎药诱导的溃疡。这种药物目前以片剂制剂销售。由Ferring公司开发的一种控释,可移动的米索前列醇阴道分娩系统(MVDS),于2013年在欧洲获得批准,用于不良宫颈妇女的分娩。在Alliance Pharma,Cytokine PharmaSciences和Xanodyne进行的一项阴道内片剂已经进入III期临床试验,用于引产。 2012年,米索前列醇在美国申请批准,用于连续使用缩宫素的连续方案中,用于减少阴道分娩时间不利的子宫颈(尚未软化和变薄的子宫颈以便扩张)的阴道分娩时间。在体内,米索前列醇被广泛吸收,并迅速去酯化为游离酸,这是药物的临床活性。α侧链进行β-氧化,而β侧链进行ω-氧化,然后将酮还原成前列腺素F类似物。这些代谢产物具有抗分泌和黏膜保护作用。非甾体抗炎药可抑制前列腺素的合成,前列腺素缺乏可能导致碳酸氢钠和粘液分泌减少,并导致这些产物引起的黏膜损伤。最初在辉瑞公司开发的米索前列醇被授权给Xanodyne,Cytokine PharmaSciences和Alliance Pharma。 Kaken在日本销售产品。 该产品还在全球各个国家销售,包括法国,意大利,瑞士,英国和美国。分子结构和3D模型如下:
其合成路线如下:
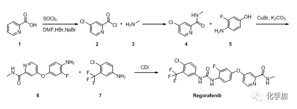
7、Regorafenib
瑞格非尼是一种抗肿瘤药物,2012年由拜耳在美国和欧盟提交批准,用于治疗标准治疗失败后转移性结直肠癌的口服治疗。2012年9月,该产品被美国食品及药物管理局批准,并首次在美国商业化为Stivarga。2013,该化合物被FDA批准用于治疗转移性和/或无法切除的胃肠道间质瘤(GIST)患者,尽管至少与伊马替尼和苏尼替尼进行了事先治疗,但其疾病仍在发展中。2014,欧盟批准了同样的指示。2013年6月,在英国的商业化之后不久,拜耳得到了欧洲人类用医药产品委员会(Chmp)的肯定意见,用于治疗成人转移性结直肠癌(CRC)患者,他们以前曾接受过或不被认为是现有疗法的候选药物。2013在欧洲取得了批准,此后不久就开始商业化。2012,在日本,监管机构申请批准治疗无法切除、晚期/复发的结直肠癌患者,以及治疗转移性和/或不可切除的可切除性小肠间质瘤(GIST)的申请。2017,拜耳在美国和日本获得批准,用于治疗以前曾用过索拉非尼治疗的肝癌患者。同年晚些时候,欧盟批准了同样的指示。分子结构和3D模型如下:
其合成路线如下:
8、Donepezil
多奈哌齐是一种高度选择性的乙酰胆碱酯酶抑制剂,是第二代特异的可逆性中枢乙酰胆碱酯酶(AChE)抑制剂,对外周AChE作用很小。本品通过抑制AChE活性,使突触间隙乙酰胆碱(ACh)的分解减慢,从而提高ACh的含量,用于治疗轻度和中度阿尔茨海默型痴呆症状,它能提高患者的认知能力(记忆、定向、注意、计算、语言等能力)。分子结构和3D模型如下:
其合成路线如下:
9、Cladribine
Cladribine注射液是由正奇生物技术公司开发的,在十多年前推出,目前已在全球范围内用于治疗毛细胞白血病。目前,该产品还可用于治疗白血病和复发性、难治性低恶性或滤泡性b细胞非霍奇金淋巴瘤(NHL)和套细胞淋巴瘤。2010,该产品由默克塞罗诺公司(现为默克公司)在澳大利亚推出,用于治疗复发缓解型多发性硬化症(MS);然而,该产品于2011退出市场。2010年,该产品在俄罗斯获得批准,并于2011年启动。2010年,欧盟收到了负面意见。为此适应症,2011年,默克雪兰诺撤销了在欧盟的申请。 FDA在2011年对该化合物发出了完整的回复信,随后撤回了提交的NDA。在2016年,默克公司重新提交了在欧盟的监管申请。用于复发缓解型多发性硬化症的治疗,并且在2017年该产品被管理协会批准。不久后在英国上市。分子结构和3D模型如下:
其合成路线如下:
参考资料:
1、部分数据来自integrity数据库。
2、 US 5521184、US 3965143、US 2013131122。
3、 WO 2007139238、WO 2016082605、 WO 2004113274、WO 2004018490。
4、 J Org Chem 1950, 15(1): 203。
5、 CA 2493724。
▼ 免费入驻化学加网快速通道 ▼
欢迎广大读者分享赐稿或者有偿投稿
编辑手机/微信/QQ :18676881059
邮箱:gongjian@huaxuejia.cn
化学化工行业交流群:413544856
药物化学中间体API群:177675326
日用化学精细化工群:456356583
拓展阅读
更多精彩,关注本号后,后台回复相应代码查看
回复 c001:漫画化学 回复 d001:化学趣史
回复 f001:视频动画 回复 g001:趣味实验
回复 a002:餐桌化学 回复 i001:缤纷化学
回复 j002:化学趣闻 回复 m002:创意化学
回复 k001:趣味化学 回复 L004:涨—知识