变 化
新高考1卷与浙江卷到底有什么不同呢?
首先,从题型分布来说,新高考1卷有8个单选题,4个多选题,6个解答题,浙江卷大部分年份是10个单选题,7个填空题,5个解答题,新高考1卷的多选题,大部分考生的得分率都很低,原先单选题经常采用的“排除法”、“特殊值法”等手段不一定适用,且四个选项逐一判断很耗时。
其次,从试题内容来说,浙江卷的试题一般是短小精悍,十分简洁,而新高考1卷很多试题都是大段文字,需要考生有一定的阅读和提炼关键信息的能力。
2022年的新高考1卷参考各省大部分均分都在50-60之间,甚至更低,而实际上,题目本身的绝对难度其实并不大,而整张卷子大量试题是中等难度的熟悉动作(60%),就是看考场上谁做得又快又稳,稍微基础弱一点的考生,分数恐怕要断崖式下跌,我们这里再次强调“中等难度熟悉的动作”,指的是看到试题,几乎不用思考,就能想到如何解决,而且基本上能一次成功不出计算错误。那么,是怎样做到熟悉的,自然要靠平时的训练以及合理的复习策略。
首先是重视教材中的数学概念(如21年1卷第8题相互独立事件的定义,22年1卷第20题条件概率的定义等),其次是熟悉常见的条件的翻译转化(如22年1卷第9题立体几何(2)中面面垂直条件的翻译,一定是找交线,作垂线,22年1卷第21题斜率之和为0的翻译,一定是设线,联立韦达以及小细节的优化等),其次,新高考1卷的部分难题位置靠前,如第7题明显比第8题难,却没有放在单选的最后一题,第18题比第19题和第20题难,这些难题位置的前移,也会使得考生下意识地认为后面的题更难,而反观历年的浙江卷,难度基本层层递进,考查中等难度的熟悉动作的中档题占比不大,约为30%。
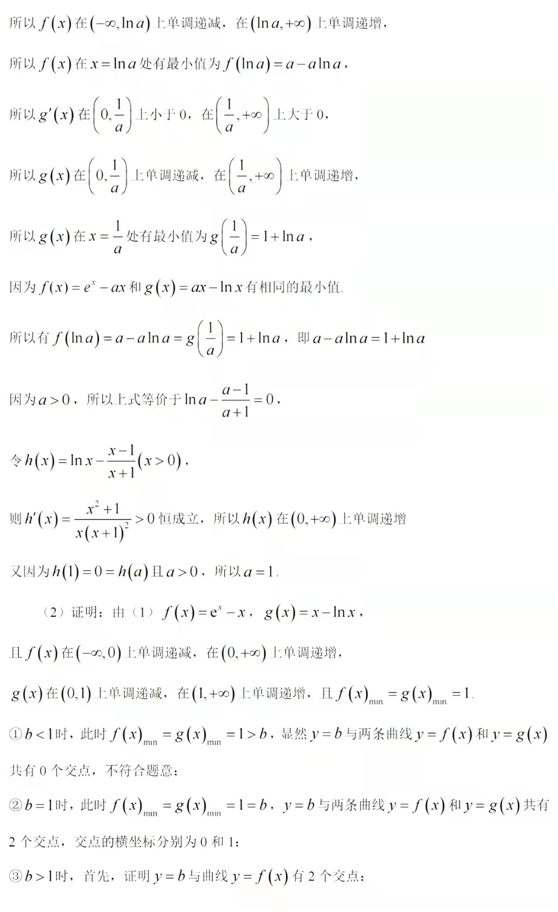
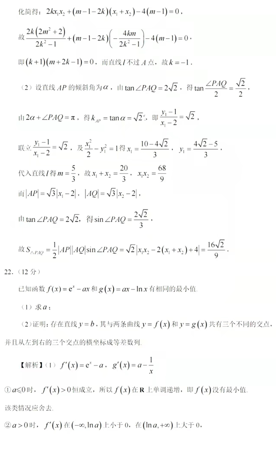
2022年高考数学全国卷1 (供参考)
参考答案
相关阅读
定了!2023年我省空军招飞初选日程安排公布!一文弄懂三大招飞区别,你适合报考哪一种? 考研减招?逆向报考“双非”院校?2023年研究生报考进行时,这些细节要注意→ 不占高考志愿!香港大学/香港科技大学2023年高考生申请报名已开始!这份报考参考看过来→ 哪些专业前景好?12大学科门类771个大学专业就业去向盘点,选对专业事半功倍! 仅8所学校开设,100%就业却鲜有人愿意报考!揭秘这个离死亡最近的专业究竟学些什么 中小学全省性竞赛项目拟新增9项!高考取消竞赛加分后,还有参加竞赛的必要吗? 铁饭碗竟也遇冷?考古编制岗位无人问津,没前途?你所不了解的真相其实是→ 国庆小长假刚结束,离寒假有多远?浙江多地中小学寒假时间定了!看看娃能放多少天→ 985高校毕业选择当电工亏吗?这所高校的这个专业究竟有多强,你了解吗? 2022中国文科百强大学出炉!浙江7所高校上榜,有你的学校吗?