一、数据来源介绍
土地利用数据、高程数据、植被指数数据均来源于中国科学院资源环境科学与数据中心(https://www.resdc.cn/)。
二、数据预处理
我们从中国科学院资源环境科学与数据中心官网上下载下来的土地利用栅格数据是整型的,我们可以利用栅格重分类工具来将它变为浮点型。
在这里我们发现,土地利用栅格数据里的像元被赋值为一些不连贯的数,我们通过官网上的相关介绍得知其所包含的含义:
我们根据表格内容统一将数据分为“耕地、林地、草地、水域、建设用地和未利用地”六类。
我们利用重分类工具以一级类型编号将它分为六类。
打开重分级后的栅格数据属性表,添加一个字段名称为“TDLY”的字段,并设置字段类型为文本型。
右键工具栏空白处,添加编辑器工具,并使其处于编辑状态。
键入土地利用类型。
三、景观干扰度指数
景观干扰度指数用来反映不同景观所代表的生态系统受到外部干扰的程度,区域所受干扰越大,生态风险越大。以景观格局分析为基础,构建景观干扰度指数,通过各指数叠加来反映不同景观所代表的生态系统受到干扰的程度。
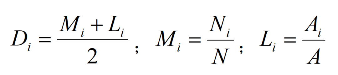
其表达式为:
其中:
为景观破碎度指数:
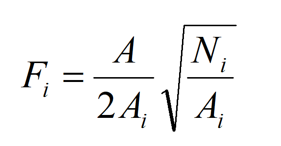
为景观分离度指数:
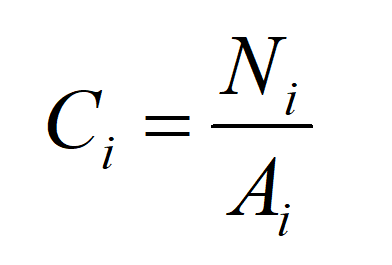
为景观优势度指数:
在这些式子中:a、b、c分别为、、的权重,且a+b+c=1,为景观类型i的斑块数,为总的斑块数,为景观类型i的总面积,为景观总面积;为景观类型相对密度,景观类型相对盖度。根据相关参考文献及专家意见,对a、b和c三个指标分别赋以0.5、0.3和0.2的权值,考虑到研究区的地域及景观特点,对未利用地单独赋以0.2、0.3和0.5的权值。
四、指数计算
1. 栅格转矢量面
利用栅格转面工具将贵州省土地利用栅格数据按TDLY字段转化为矢量面数据。
2. 纪录各景观类型斑块数
通过查看TDLY矢量面图层属性表可以了解到各用地类型有多少图斑。在属性表中点击按属性选择,依次选择单一用地类型。
3. 统计各景观类型面积
利用(二)中所说的方法将某单一景观类型所有要素选中后,利用编辑器里的合并工具将某单一景观类型多个要素合并为一个要素。
新建一个字段名为AREA的字段,字段类型设置为双精度,右键新建的字段名,在弹出的菜单栏中选中计算几何。
4. 结果计算
将统计好的数据导入到Excel中进行计算。
其中,以耕地为例,在Excel表中计算指数时输入的公式分别为:
景观破碎度指数:
=B2/C2;
景观分离度指数:
=($C$8/(2*C2))*SQRT(B2/C2)
景观优势度指数:
=((B2/$B$8)+(C2/$C$8))/2
景观干扰度指数:
=0.5*D2+0.3*E2+0.2*F2
另外,未利用地的景观干扰度指数公式为:
=0.2*D7+0.3*E7+0.5*F7
数据下载
ArcGIS土地利用动态度与土地利用程度计算(附练习数据下载)
学GIS的你,是时候自己做张中国地图了(附行政区划数据下载)
全球土壤数据下载及ArcGIS土地利用制图流程(附练习数据)