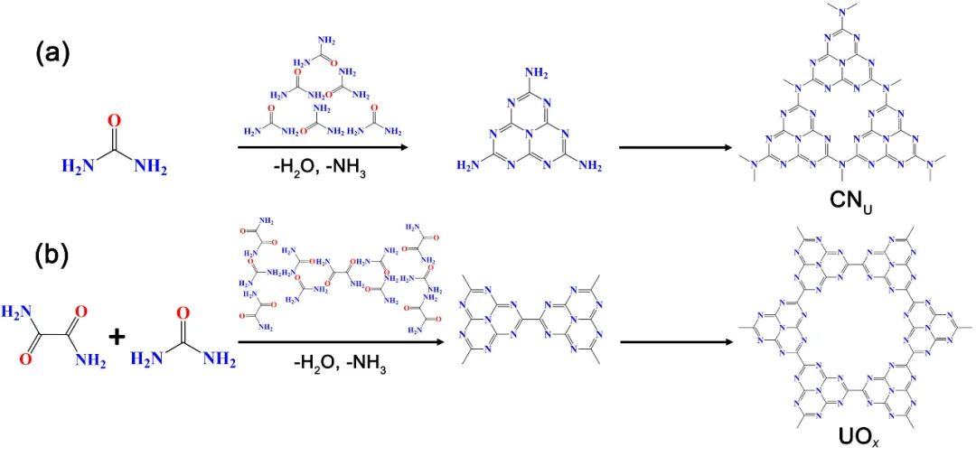
合理设计并制备新型氮化碳(CNs)是化学和材料领域的研究热点。本文受尿素聚合的启发, 以草酰二胺替代部分尿素首次制备了C−C桥联、结构接近C6N7的新型CNs UOx(x为尿素与草酰二胺的物质的量之比, x = 1、1.5、2、2.5和3)。密度泛函理论(DFT)计算表明, UOx的共轭性由单个庚嗪环扩展到了整个材料框架。因此, 其禁带宽度缩小到2.05 eV, 吸收带边被大幅扩展到600 nm。此外, 其载流子传输和分离也得到显著增强, 因而展现出优异的光催化活性。在一系列样品中, UO2具有最佳的光催化活性, 其光催化析氢速率约为108.59 μmol/h(10 mg催化剂), 表观量子效率(AQE)在420和600 nm下分别为36.12%和0.33%。此外, UO2对二苯肼氧化以及酚类降解也呈现明显优于传统g-C3N4的优异光催化活性和稳定性, 它是一类极具发展前景的新型二维材料。
Figure 1. Chemical structure of (a) g-C3N4 and (b) (C6N7)n; (c) band structure and DOS of (C6N7)n and (d) PDOS of C, N in (C6N7)n.
Scheme 1. Schematic thermal polymerisation of urea to form (a) CNU, and urea and oxamide mixture to form (b) UOx.
Figure 2. (a) SEM of UO2; (b) TEM of UO2, insert: high resolution TEM; (c) AFM of UO2, insert: corresponding height profiles of the red line and (d) UO2.
Figure 3. (a) XRD of CNU, UO2, KCl/LiCl molten treated CNU (MCNU), UO2 (MUO2) and simulated (C6N7)n; (b) High-resolution C 1s XPS of CNU and UO2; (c) 13C NMR spectra of CNM, CNU and UO2 in D2SO4; (d) proposed structure for UO2; (e) UV-Vis diffuse reflectance spectra of CNU and UO2 and (f) band structure of CNU and UO2.
Figure 4. (a) EPR spectra of CNU and UO2; (b) transient photovoltage of CNU and UO2; (c) EIS plots of CNU and UO2 in the dark. (the insert picture is transient photocurrent of visible light (λ ≥ 420 nm) and (d) room temperature (298 K) steady-state PL spectra of CNU and UO2 (the insert figure is time-resolved fluorescence kinetics monitored at the corresponding emission peaks; (e) time-course H2 production catalysed by CNM, CNU, stripped UO2 and UO2 and (f) AQE of UO2 under monochromatic light irradiation with different wavelengths.
Table 1. Photocatalytic oxidation of diphenylhydrazine to azobenzenea.
Entries | Catalyst | Light | Atmosphere | Time (h) | Yield (%)b |
1 | - | Yes | Air | 4.5 | 13.9 |
2 | UO2 | No | Air | 4.5 | 0.4 |
3 | UO2 | Yes | Air | 4.5 | >99.0 |
4 | CNU | Yes | Air | 4.5 | 45.9 |
5 | UO2 | 530 nm | Air | 6.0 | >99.0 |
6 | UO2 | 575 nm | Air | 10.0 | >99.0 |
7 | UO2 | 600 nm | Air | 15.0 | >99.0 |
8c | UO2 | Yes | Air | 4.5 | >99.0 |
9d | UO2 | Yes | Air | 4.5 | >99.0 |
10 | UO2 | Yes | N2 | 4.5 | 7.3 |
11 | UO2 | Yes | O2 | 2.0 | >99.0 |
12e | UO2 | Yes | Air | 4.5 | >99.0 |
13f | UO2 | Yes | Air | 4.5 | >99.0 |
a. Experimental conditions: 5 mL of acetonitrile, 0.1 mmol of diphenylhydrazine, and irradiated with LED at 420–425 nm for 4.5 h.
b. Isolated yield.
c. On the basis of entry 3, the results of the 5th cycle of UO2.
d. The results of the 10th cycle of UO2.
e. On the basis of Entry 3, add an electron capture agent AgNO3.
f. Add a hole capture agent Na2S.
期待你的
分享
点赞
在看