微信号 A333528558
功能介绍 主要推送高考范围内的知识点总结、常用结论、典型题、常考题、解题技巧和解题思想等。
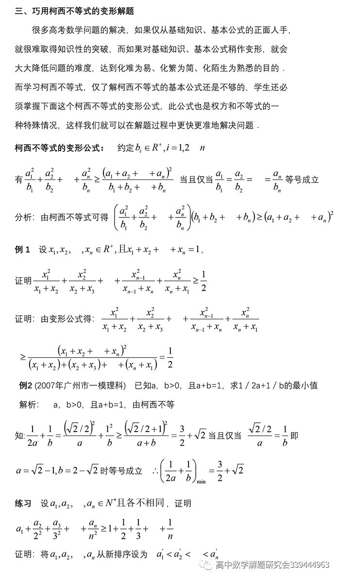
柯西不等式
柯西(Cauchy’s inequality)不等式是大家从中学数学开始就耳熟能详的重要不等式,但柯西不等式在不同情形或数学不同学科中展现出各自不同的形式,下面就柯西不等式的常见几种形式加以说明。
一、中学数学中的柯西不等式
定理1
【证明】
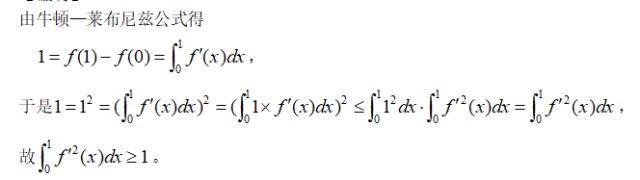
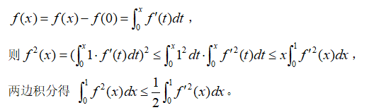
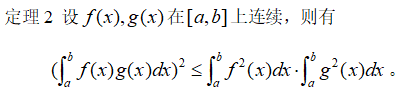
二、定积分中的柯西不等式
定理2
牛刀小试:例1
牛刀小试:例2
三、空间解析几何中的柯西不等式
定理3
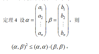
四、线性代数中的柯西不等式
定理4
例1
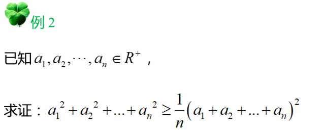
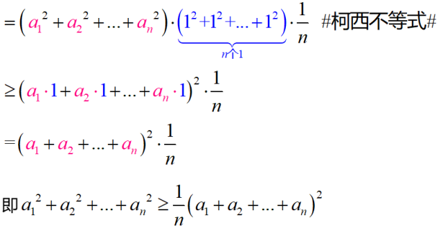
例2
例3
例4
例5
微信扫一扫关注该公众号