姓氏源流
得姓始祖
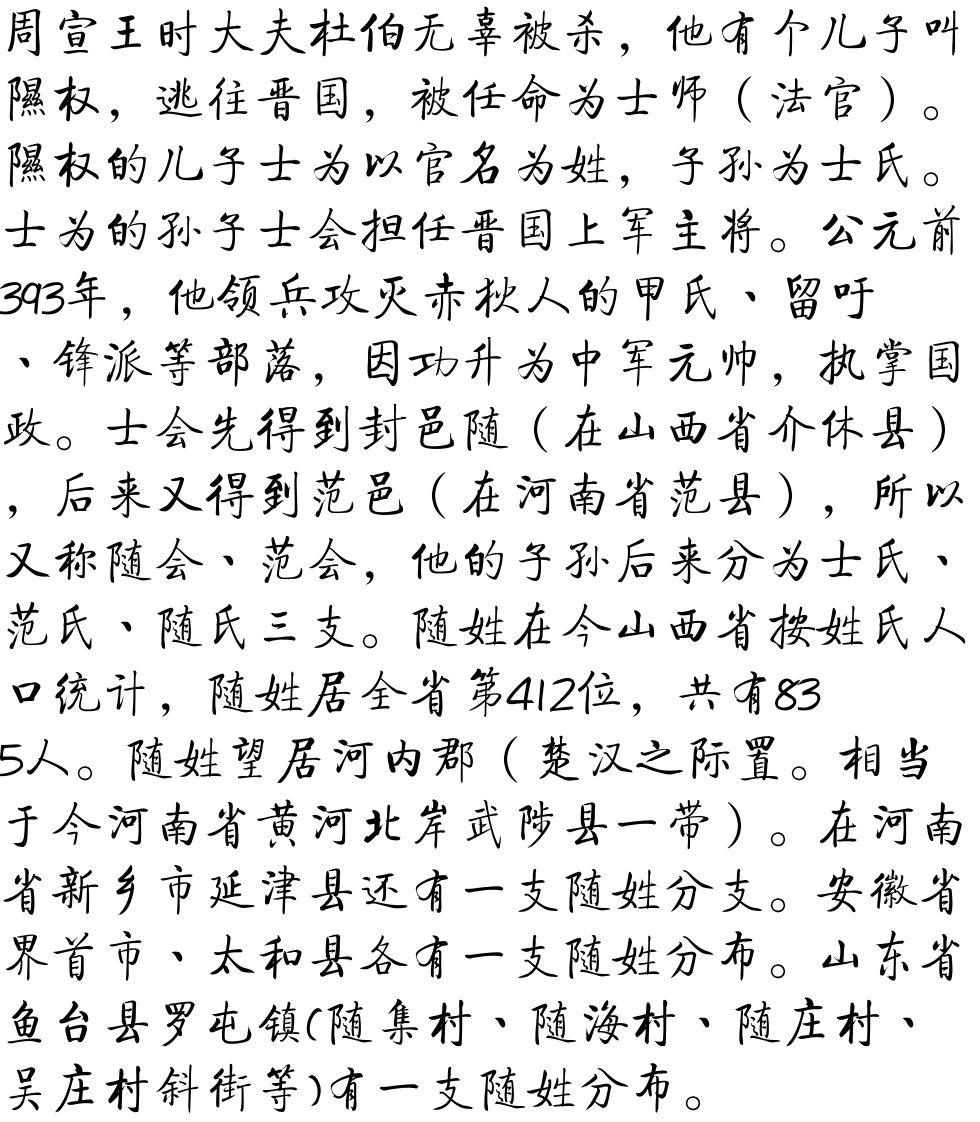
迁徙分布
历史名人
郡望堂号
宗祠通用联
祝愿我的家族:子子孙孙,代代英贤。五谷丰登,百业兴旺。百族协和,四海鹰扬。建此伟业,雄立东方。承继我祖,百世绵延。纵观全球,和平发展。协和百族,辑睦四邻。寿禄无疆,风调雨顺。睦亲敬族,忠国爱乡。并肩携手,共铸辉煌。历马扬鞭,精诚团结。上进治学,耀国显邦。宗族和畅,家富国强。英才代出,耕读治家。
免责声明:本文只供参考。如果您对本文有任何专业领域的建议,我们强烈建议您独自对内容的可信性进行评估,并咨询相关专业人士。
祝愿我的家族,子子孙孙,代代英贤。五谷丰登,百业兴旺。百族协和,四海鹰扬。建此伟业,雄立东方。承继我祖,百世绵延。纵观全球,和平发展。协和百族,辑睦四邻。寿禄无疆,风调雨顺。睦亲敬族,忠国爱乡。并肩携手,共铸辉煌。历马扬鞭,精诚团结。上进治学,耀国显邦。宗族和畅,家富国强。英才代出,耕读治家。
请各位宗亲在底部留言
留言格式
姓名·地址·字辈·搬迁情况·联系方式
推荐阅读/点击下面内容查看