作者简介
张玉亮
中华书局副编审,《中国出版史研究》编辑部副主任,中国新闻史学会编辑出版研究委员会常务理事,湖南时务学堂研究会会员。
长期从事近代文献整理出版工作,主要研究方向为近代文献、出版史。整理出版《谭嗣同集》《戊戌四子集》等,《仁学(汇校本)》(浙江古籍出版社)即将出版。
本文发表于湖南省文史研究馆《文史拾遗》2020年第4期。
导读:这其实是一篇CP文。
谭唐两位刎颈交好友的情谊,
大部分小伙伴应当都十分熟悉,
但在这其中交集、纠结着怎样的
生与死、思想与实践、继承与炽热,
唐才常如何以自己的独特方式
回应着这位他一生当中最好的挚友,
《仁学》这部维新派第一本
哲学著作又是如何发表刊行,
这篇文章应该会给你最好的答案。
120年前,由时务学堂创办者之一唐才常领导的自立军起义,给风雨飘摇的清王朝以沉痛打击,揭开了武装反抗专制的序幕。尽管起义很快以失败告终,但革命的火种得以在当时探寻救国之路的仁人志士心中存留,并渐成燎原之势。
自立军起义在中国近代史上写下光辉的一页,但从筹划到爆发,严格算来也仅有两三年的时间。根据唐才常的亲属唐才质所撰写的《唐才常烈士年谱》,戊戌年末,唐才常返回故乡湖南浏阳之时,被守旧派围攻,头部受伤,休养月余才痊愈。从戊戌年末的如此窘境,到集结包括保皇派、革命派、会党分子、留日学生、江浙士绅等众多不同阶层、不同政治诉求的人员,掀起轰轰烈烈的武装反清起义,前后仅仅两年时间。这期间唐才常是如何组织筹划的,又经过了怎样的波折,其思想与行动在多大程度上体现和回应了其挚友谭嗣同的影响……本文试图就这些问题进行探讨,以倒叙的顺序,从唐才常在自立军起义前后的活动,到《亚东时报》编辑时期的工作,兼及《亚东时报》本《仁学》的特点与意义,回溯唐才常在自立军起义之前人员、组织、思想等方面的准备与筹划。
谭嗣同《三十自纪》
梁启超《三十自述》
子曰:三十而立。三十岁这个时点,是传统文化影响下知识分子心目中非常具有标志性意义和仪式感的时点。唐才常的挚友谭嗣同、梁启超都撰写过《三十自纪》性质的文字对自己的人生路径进行总结和展望。唐氏本人虽无此类文字传世,但他三十岁到三十三岁牺牲的这三年,确实称得上轰轰烈烈。这一点,与三十岁时宣布与“旧学”决裂、自号壮飞的谭嗣同非常相似。
正气会,自立会,中国国会,这三个重要的组织,是唐才常己亥、庚子之间积极奔走的成果,是自立军起义的组织基础。而这三个组织之间是什么关系,其间又有怎样的纠葛和风波,学术界说法不一。这里根据见闻进行简单梳理。
正气会
林圭(1875-1900)
根据桑兵先生考证(见其专著《庚子勤王与晚清政局》,北京大学出版社2015年1月第2版),正气会成立于1899年12月24日。这个组织与兴中会在长江中游结交会党所成立的兴汉会关系密切,毕永年与林圭在其中起到重要作用,会党首领张尧卿、辜人杰等与林圭由此加强联系,为后来的自立会和自立军起义打下一定基础。
在正气会中,唐才常任干事长。以得到康有为支持,经费有着落,名声显赫,会党纷纷加入,且有日本人参与其间。(只是后来日本方面的意见也有所分化,详见后文。)后为避免与汪康年派的摩擦,唐才常将干事长的职务让于汪派的叶瀚(字浩吾)。
自立会
唐才常(1867-1900)
孙中山与自立会成员
为避免矛盾,唐才常避开已占据中国国会领导权的汪派,自行经营自立会。自立会主要任务为联络会党分子,发放富有票等,汪康年等对此并不知情。惟其如此,在发现唐的活动后,汪派更加不满。
中国国会
汪康年(1860-1911)
因汪康年代表的江浙士绅派不满于唐才常的自行其是,汪唐矛盾进一步加深。1900年7月,中国国会成立,此时汪派已占据主导,“竹林七贤”中的四位皆为汪派。但会长容闳支持唐才常,加剧了汪、唐两派的矛盾。唐才常利用中国国会名义继续筹备武装起义。8月起义爆发,被镇压查禁后发现的关防,有“中国国会自立右军总统”,赵必振《自立会纪实史料》记载,带有“中国国会”字样者8种。
贯穿始终的汪唐矛盾,根本上不是缓急之分(联络疆臣徐图改革与武装反抗政府)、南北之别(北上勤王与南方自立),而是来自人事纠葛,其中关键人物是康有为。这是因为:(1)戊戌变法期间,康有为一派利用得到光绪青睐来压制汪康年,欲夺取《时务报》控制权;(2)汪康年于戊戌年初接触孙中山,康有为以帝王师自居,与孙中山划清界限;(3)汪康年堂兄汪大燮后来参与到孙中山与奉旨赴日刺杀康有为的刘学询的密谋中。
以上简单梳理了己亥、庚子之间唐才常的起义筹备,从中可以看出,此时的他已经具有了相当的人脉资源和活动舞台。这些条件的陆续到位,与其参与经营的一份报纸密不可分,这就是《亚东时报》。
戊戌己亥之间的唐才常与《亚东时报》
1898年9月,唐才常得谭嗣同电召赴京,行至汉口而政变爆发,挚友死难,唐才常悲愤异常,誓继亡友遗志。10月31日,他与毕永年赴日,先后会见流亡海外的康、梁与孙中山。11月15日,唐才常回国,返乡时被围殴。根据其弟唐才质《唐才常烈士年谱》记载:
公归国以后,复回浏阳省亲。将抵家门,道经枨市,为顽固派邹某得见,纠无赖多人围殴之……左额已为铁尺击伤,在家养息十余日始愈。不敢再经长沙,乃绕道江西,折往上海。
自此,上海成为他从事革命活动的策源地。在上海,他参与了日本人创办的《亚东时报》的编辑工作。
《亚东时报》是由日本人创办的中文报刊,存续时间不足两年(1898年6月25日创刊),但因正值戊戌至庚子这一晚清政局变动最为复杂的时段,素为研究者重视。戴海斌先生根据前人研究成果,将对《亚东时报》的研究推进了一大步。此处不敢掠美,仅就其中涉及唐才常的史实,据其研究成果略为揭橥。
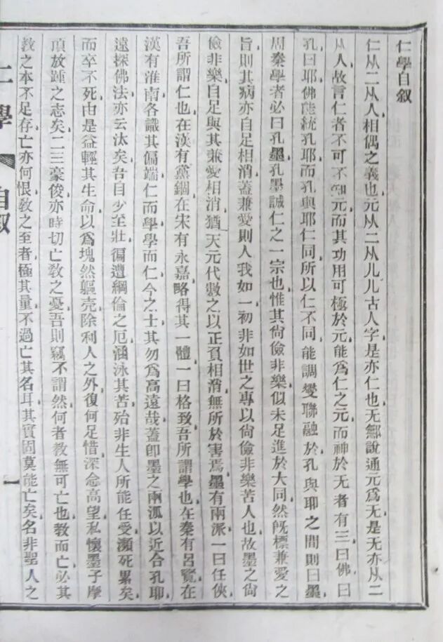
《亚东时报》刊登《仁学》之“自叙”
1899年1月31日,《亚东时报》第5号开始刊登《仁学》(此号刊登者仅《仁学自叙》),唐才常本人著述也首次刊发于该报。这可以看做唐才常与《亚东时报》产生联系之始。据汤志钧、戴海斌等学者考证,唐才常深度介入《亚东时报》编辑工作在第6号(5月4日出版)。他在短短一年时间内得以打开局面,从回乡都被打击到在沪上结交各方力量,《亚东时报》编辑时期的积累是其中重要因素。
结交同志
1. 5月23日,宋恕于日记中记载,“始识佛尘于亚东馆”。
2. 《章太炎自定年谱》:“七月,返至上海。识康氏弟子唐才常,才常方纠气类,期有大功,士人多和之者。”这里的“期有大功”颇为耐人寻味,虽然尚无其他材料更为细致地反映在此期间的活动,但此大功显然不局限于报刊经营。
联络日人
田野橘次,此人后来深度介入了正气会的活动,是日本方面的激进派,有《最近支那革命运动》(上海新智社光绪二十九年本)载:“予与同志林唐述偕发于神户,尚有四人十日前已先发。越日本海于一睡之中,到埠头时,唐君与张通典,相俟已久。由是始得唐君。”他自述来上海后寄宿在唐才常寓所,两人过从甚密。
白岩龙平,此人是《亚东时报》的出资人,为大东汽船会社的创办者,后因更注重实业发展而反对唐才常、田野橘次等人在湖南从事过于激进的会党联络活动,导致唐与《亚东时报》疏离。
宗方小太郎,原乙未会成员,近代著名的日本在华间谍。现存唐才常书信中有致其书札一通:
执事前日驺从往汉,匆匆未及拜送,至以为歉。兹有沈君愚溪、林君述唐,拟与田野橘治君同往湖南,开办学堂、报馆等事。此举颇系东南大局,至为紧要。必须开创之时,极力冲破,以后举行诸事,自然顺理成章。顷悉白岩、荒井、宫坂诸君,皆于日内来汉,妥商一切。务乞先生与数君子及沈、林二人,公同会议,谋定后动,但求抉一必行之志,毋为浮意所移。湖湘幸甚!大局幸甚!
当然,宗方后来将活动重心转向争取守旧派。也正是此次赴湘计划未果,唐才常与《亚东时报》疏离,更多转向实际行动,并于12月24日成立正气会。
发表文章
根据戴海斌先生《亚东时报研究三题》,唐才常在《亚东时报》发表诗文如下:
有意思的是,20世纪90年代由大陆哲学史家张岱年先生主编的“中国近代启蒙思想文库”中,唐才常宋恕卷即以《砭旧危言》为卷名,从这里亦可略窥《亚东时报》所刊唐氏著述代表性之一斑。
可以说,《亚东时报》时期的经历,为唐才常的起义筹划提供了契机、人脉和宣传阵地。
当然,唐才常在《亚东时报》最主要的实绩还是,刊登了亡友谭嗣同的《仁学》。
唐才常与《仁学》
作为谭嗣同最要好的挚友,《仁学》自创作动念开始,唐才常就从好友的书信里获悉了。谭嗣同《秋雨年华之馆丛脞书》所收之《与唐绂丞书》云:
若夫近日所自治,则有更精于此者,颇思共相发明,别开一种冲决网罗之学。亦拟还县一游,日期又急不能定,大要归则甚速耳,彼时当畅衍,此书其先声也。
由此信可知,“别开一种冲决网罗之学”的《仁学》的写作计划,在此时已经有了。在另一封给唐才常的信(光绪二十三年三月十四日,1897年4月15日)中,谭嗣同再次提到了这个计划:
乃嗣同蒿目时艰,亟欲如前书所云,别开一种冲决网罗之学,思绪泉涌,率尔操觚,止期直达所见,未暇弥纶群言,不免有所漏耳。
从“率尔操觚,止期直达所见,未暇弥纶群言,不免有所漏”的描述里可以看到,这时《仁学》已开始撰写,而且进展较快。
收录于《秋雨年华之馆丛脞书》的另一通《与唐绂丞书》云:
《质点配成万物说》竟明目张胆说灵魂、谈教务矣,尤足征足下救世盛心,于世俗嫌疑毁誉,悍然置之度外,可谓难矣。得此则嗣同之《仁学》殆欲无作,乃足下于《湘学报》一则曰“绵《仁学》之公理”,再则曰“《仁学》之真铨”,三则曰“《仁学》大兴”,四则曰“宅于《仁学》”,五则曰“积《仁学》以融机械之心”,六则曰“《仁学》大昌”,转令嗣同惭惶,虑《仁学》虚有其表,复何以副足下之重许?然近依《仁学》之理衍之,则读经不难迎刃而解,且日出新义焉。
按唐才常之《质点配成万物说》刊于《湘学报》第5—7号(光绪二十三年五月初一、十一、二十一)。而信中谭嗣同六次提到唐才常对“仁学”的征引,在唐氏著述中都可找到:
1. 《各国政教公理总论》:“若夫轨唐、虞之盛心,绵仁学之公理者,其华盛顿、林肯之为君乎!旅天位,宅民权,屣功利,弢兵祸,廓然夷然,是谓大公。”
2. 《国会》:“而华盛顿以其公天下之心,一涤争权陋习,此盖太平之公理,仁学之真诠。”
3. 《公法通义》:“据乱世尚力,升平世尚智,太平世尚仁,仁学大兴,群统斯嬗,君公其国,民忠其君,君民相爱,环球一律,何乱之有?”
4. 《公法通义》:“幸彼中之宅于仁学者,于戕贼天律中设一救民迂策,公法家亦援为例法,而因用之。”
5. 《各国种类考·亚细亚种类考·巴勒士登种类考》:“君子观于耶、回百世之仇固结于今日之土耳其,未之或释,未尝不深忧世局之变,乱机之横,有不止耶、回二种者,为之惊心撼魄也。非积智学以宏开通之益,积仁学以融机械之心,乌乎平之?”
6. 《各国种类考·欧洲种类考》:“若夫世进太平,文明益焕,仁学大昌,犹仅恃其火器杀人之具,豪强畛域之私,以戕公法、畔公理而弗恤。 斯虽精实悍劲如西人,弗以万国平等之仁继之行,不戢自焚为太平世之野蛮土番耳。”
对照刊本《湘学报》,此六条记录的刊发期数和时间分别为第5期(光绪二十三年五月初一)、第7期(五月二十一)、第9期(六月十一)、第15期(八月十一)、第17期(九月初一)、第20期(十月初一)。唐才常对《仁学》推崇备至,而谭嗣同也在五个月间的《湘学报》上逐处找出了好友的称述,两人关于《仁学》的交流不可谓不细密。
前人有认为梁启超发表在《清议报》上之版本所据才是稿本,笔者不敢苟同,这是因为:
一来,光绪二十三年四五月间谭、唐两人分处吴楚两地,谭信中有“同心千里,吴楚青苍”之语,两人虽书函不断,然究不同宁沪之间便捷,可以如与梁启超一样随“每成一篇,辄相商榷”(梁启超《三十自述》语),则唐才常所得《仁学》当是完结或至少在一定程度上已完成的初稿。
二来,梁启超在学术著作《清代学术概论》中记述:“其所谓新学之著作,则曰《仁学》,亦题曰《台湾人所著书》,盖多讥切清廷,假台湾人抒愤也。书成,自藏其稿,而写一副本畀其友梁启超,启超在日本印行之,始传于世。”笔者认为,尽管各个版本的梁启超撰《谭嗣同传》对梁氏保存谭之著述手稿有所记录,但其中饱含政治宣传意图,且前后文字改易较大,相比而言,更强调学术而淡化政治的《清代学术概论》更有可信度。
三来,通过版本比勘可知,唐才常刊于《亚东时报》的版本所收《仁学自叙》,在《清议报》本中是没有的,单行的国民报社本和《清议报全编》本才再次收录此序,已在《亚东时报》刊发的一两年后。联系谭嗣同其他著作中好为跋语序言的情况,这篇自叙在一定程度上可以看做谭嗣同对《仁学》写作划上句号的标志。
唐才常所据为谭氏原稿的可能性最高,这除了上述分析以外,从发表在《亚东时报》的《仁学》文本本身也能找到佐证。
《亚东时报》本《仁学》
谭嗣同被害时,唐才常悲痛异常,然“忍不携二十年刎颈交,同赴泉台”(唐撰挽联中语),以尽后死者之责,筹开张园国会、联络会党策划武装起义等,而刊行《仁学》也在其中。1899 年上半年,唐才常“回翔于沪上”(其致江标书札中语),并参与日本人创办的《亚东时报》的编务。《亚东时报》自第5 期(1899 年1 月31 日)开始刊登《仁学》,中经第6、7、8、9、10、12、13、14、15、16、17、18 期,,至第19 期(1900 年2 月28 日)止,共14 期,历时一年零两个月。
《亚东时报》本《仁学》有如下特点:
是众多版本中最早全文刊发的
《亚东时报》本虽然首次刊登《仁学》(第5期,1899年1月31日)较《清议报》晚了将近一个月(第2期,1899年1月2日),但却是首次将《仁学》刊登完毕的(第19期,1900年2月28日),比《清议报》(第100期,1901年12月21日)早了一年零十个月。
《清议报》推出第100 期后终刊,,此后由新民社推出了《清议报全编》,乃汇辑《清议报》100 期之内容编成,但内容多有增删改动。《清议报全编》共分6 集26卷,并附有《群报撷华》2 卷。首集为论说,其中第一部论著就是谭嗣同之《仁学》,该版本也晚于《亚东时报》本约两年时间。
第一个图书形式的单行本国民报社本,则是出版于1901 年10 月,也比《亚东时报》本晚了一年多。
《亚东时报》本是最全的《仁学》版本
《仁学自叙》是首次发表在《亚东时报》的(见第5期),《清议报》未曾刊登,其他版本则晚至1901 年才收有此自叙。
一些文句为他本所刊落,乃《亚东时报》本独有。
《清议报》本删节《仁学》的第8、10则。这两则为《亚东时报》本所首发,许久之后的《清议报全编》和国民报社本才重行收录。在被刊落的第8、10则中,不甚平易之言不少,不妨略引一二:
以名为教,则其教已为实之宾,而决非实也。又况名者由人创造,上以制其下,而不能不奉之,则数千年来,三纲五伦之惨祸烈毒,由是酷焉矣。君以名桎臣,官以名轭民,父以名压子,夫以名困妻,兄弟、朋友各挟一名以相抗拒,而仁尚有少存焉者得乎?
中国积以威刑箝制天下,则不得不广立名为箝制之器。如曰“仁”,则共名也,君父以责臣子,臣子亦可反之君父,于箝制之术不便,故不能不有忠孝廉节等一切分别等衰之名,乃得以责臣子曰:“尔胡不忠,尔胡不孝,是当放逐也,是当诛戮也。”忠孝既为臣子之专名,则终必不能以此反之。
然名教也者,名犹依倚乎教也。降而弥甚,变本加厉,乃亡其教而虚牵于名,抑惮乎名而竟不敢言教,一若西人乃有教,吾一言教即陷于夷狄异端也者。……是惮乎教之名,而世甘以教专让于人,而甘自居为无教之民矣。
以上引文出自第8则,矛头直指名教,不可谓不犀利。又如:
彼北狄之纪纲文物,何足与华人比并者,顾自赵宋以后,奇渥温、爱新觉罗之族,迭主华人之中国,彼其不缠足一事,已足承天畀佑,而非天之误有偏私也。又况西人治化之美,万万过于北狄者乎?
这一段出自第10则,将元、清等少数民族统治者名为“北狄”,亦足以与保皇倾向抵牾。
而自第26则后半段起,均为《亚东时报》本首发。可以说,《仁学》中最具反封建锋芒的文字,几乎全部是由《亚东时报》首发的。
联系到该报销路较广,可以说,《亚东时报》本《仁学》的刊发,为武装反抗专制政府吹响了号角,成为之后起义的思想动员令。
《亚东时报》本是最接近谭嗣同原稿的版本
《亚东时报》本讹字较他本为多,但也正是在这诸多的讹字中,有一些值得仔细分析:
况有满汉种类之见,奴役天下者乎?夫彼奴役天下者,固甚乐民之为其死节也。
上官即遽以为罪,所谓游勇,此而已矣
往年梅生、李洪同谋反之案,梅生照西律监禁七月,期满仍逍遥上海
古者舅姑飨妇,行一献之礼,送爵荐脯,直用主宾相酬酢者处之。诚以付托之重,莫敢不敬也。
第一条,“奴役”各本不误,而《亚东时报》本两处皆作“收役”。
第二条,“此”字各本不误,《亚东时报》本作“者”。
第三条,“梅生”凡两见,各本不误,《亚东时报》本独作“按生”。
第四条,“一献之礼”各本不误,而《亚东时报》本作“一献献礼”。
笔者曾撰文对这四处错讹进行了分析,但所用的草字例为王羲之、怀素、赵孟頫、祝允明、文征明、黄庭坚等古代书法家。在参加第二届中西比较文献学与书籍史工作坊提交时得到济南大学陈静教授的指教,认为如条件允许,除古人草字惯例以外,当举谭嗣同本人草书例证。今特据《谭嗣同真迹》补证如下(“梅”、“按”无草书,分别以“每”、“安”两字代替):
以上各例,收、奴二字楷体也形近尚不甚有说服力,而此与者、梅(每)与按(安)楷书形态差距明显,出现疏误的更为合理的解释是:此《亚东时报》本所据为未经誊写之稿本,才会在草书释读过程中致误;第四例则因“之”的草体被认作重文符号゛或々,在付排时被转换为前一“献”字。
通过前举各例可以基本判断,《亚东时报》本所据乃是未经誊写楷化为清稿本的的草体文字,是谭氏手稿的可能性最大。
结 语
唐才常在一年挂零的时间内,最大限度保留《仁学》原貌与其批判专制的锋芒,最后一页刊发时在1900年2月28日。六个月后,他在汉口发动自立军起义失败,英勇就义。难以想象其叱咤风云的活动大多数是在这页纸张背后的六个月里完成的,一念及此,不由人不心生感慨。而梳理唐才常与《亚东时报》的关系、该本《仁学》的特点,也引起笔者一些思考。
首先是关于变与不变。唐才常在保皇与革命两派间的“依违”,梁启超政治主张的“善变”,谭嗣同戊戌前后思想的“变动”(李细珠《谭嗣同戊戌进京前后的思想变动及其原因》),反映的恰是他们创榛辟莽、上下求索的艰辛与坚定。论者当在具体策略的变中把握其为国为民启蒙探索的不变,以后见之明脱离历史人物的境遇而妄谈得失,似非知言。
其次是关于人事矛盾与共同追求。尽管江浙士绅代表汪康年与唐才常有矛盾,但自立军失败后,汪多批次掩护参与者逃亡。又如谭嗣同在其“旧学四种”前二种刚刚问世就火速寄给挚友唐才常的苦心——此时正是唐与谭嗣同另一好友刘善涵因矿务产生矛盾之时,前二种为刘善涵协助谭整理刊行,谭将刘题签的前两种寄给唐,而此后二种则为唐氏题签,于此似可体会到谭嗣同弥合两位好友的深心,和同志虽或有分歧但终能因相同追求而开怀一笑的友情。以高远追求为基础的友谊亘古不磨,值得后人珍视和钦羡。
再次是关于专攻与融通。近代史领域许多问题的悬置或歧解,恰恰是由于文献学基础的缺失导致的。通过版本梳理、文字校勘和出版过程之考索,或许可以找出更多线索,探寻纸背隐藏的更多真相。笔者本非近代史专业,在此谨以文献学、出版史切入近代史研究进行一些粗浅尝试,希望得到方家批评指正。
新编戊戌六君子集之《戊戌四子集》
新编戊戌六君子集的另一种,
收林旭、杨锐、杨深秀、康广仁诗文集,
并辑録相关散佚文字,
是在张元济《戊戌六君子遗集》之后,
四人文集的 完整的整理成果。
本书精择底本、校本,校勘严谨审慎,
所收资料丰富,
定能为研究戊戌变法史者提供大便利。
新编戊戌六君子集之《谭嗣同集》
史上最完备的谭嗣同文集
布面精装、未刊彩插,校正之前版本谬误
所有信札均系时间,几乎收录可考的所有材料
附录含谭嗣同参与维新举措统计表
思想比生命更长久
感受作为思想家与诗人的
谭嗣同笔下的不朽文字