高三的同学和家长们注意了!
2022年上海市普通高校招生
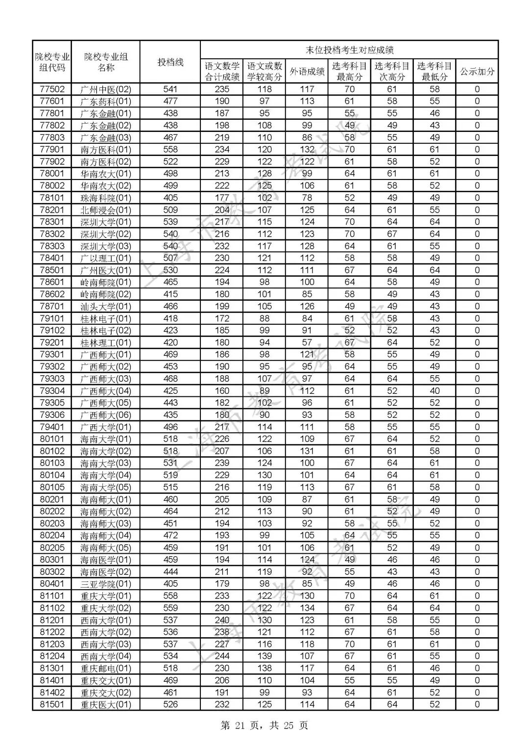
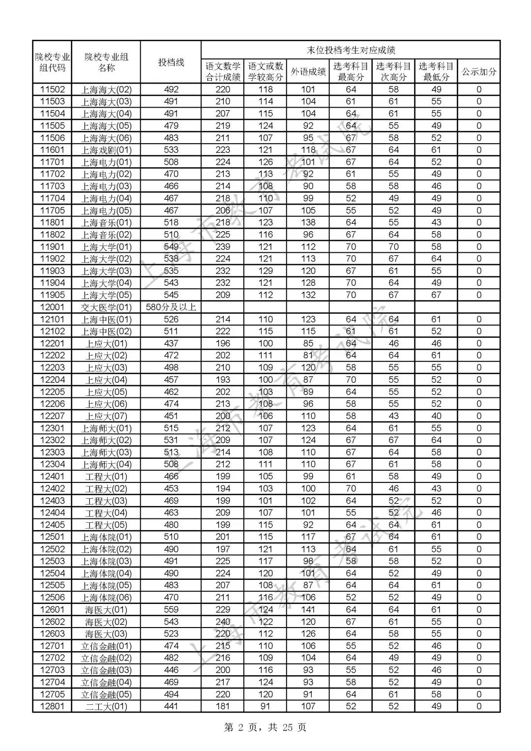
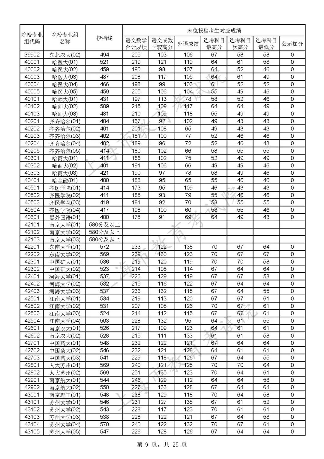
本科普通批次平行志愿院校专业组、Q组
投档分数线公布
一起来看详情
👇👇👇
8月16日晚,参加本科普通批次招生的考生可通过市教育考试院“上海招考热线”网站查询本科普通批次录取结果。未能被录取的考生仍可以通过填报本科普通批次两次征求志愿和专科阶段志愿来争取录取机会,相关填报安排如下:
来源:上海国子监发布
建议考生珍惜宝贵的录取机会,合理填报相关志愿。需要提醒的是,385分及以上的考生可以同时填报本科普通批次第二次征求志愿和专科阶段志愿,在录取时先进行第二次征求志愿的录取,若仍未录取则进入专科阶段的投档录取。
推荐服务:点击下方名片,关注上海本地宝,后台聊天对话框回复【高考】,即可查看2022上海高考录取结果查询入口。
来源:上海市教育考试院
-END-
右下角,您点赞和在看
小编工资涨1毛
上海本地宝推荐服务
回复【消费券】查看上海各类消费券汇总
回复【中考】查看2022上海中考录取分数线
回复【HPV】查看上海hpv疫苗预约方式
回复【邻里群】扫码进入上海16区邻里群
回复【国五】查看外地二手车转入上海流程
回复【酒店】查看上海旅游住宿场所防疫政策
回复【保租房】查看上海保租房申请指南
回复【购车补贴】查看上海购车补贴政策
回复【健康证】查看上海健康证办理指南
回复【居委会】查看上海各区居委会电话地址
回复【补贴】查看上海各类补贴汇总
回复【风险】查看全国各地中高风险地区名单
回复【隔离】查看上海最新隔离政策
回复【核酸】查看上海核酸检测机构
回复【进出沪】进出上海最新规定
回复【新冠疫苗】获取上海各区新冠疫苗接种网点
回复【公租房】查看上海公租房新政/申请指南
回复【落户】查看上海落户方式相关知识
回复【居住证】查看上海居住证办理指南
扩展阅读&往期推荐
来源&合作&联系
▌特别说明:本文由上海本地宝编辑整理发布,转载请注明!
▌本文来源:上海国子监发布
▌本文图源:摄图网 上海市教育考试院
▌本文编辑:颗粒
▌合作微信:点击查看
▌合作QQ&电话:4009999087
点击阅读原文,开启上海实用生活指南