今天(8月14日)上午
上海各区公布了
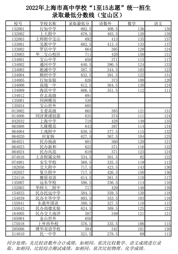
统一批次“1至15志愿”招生录取的最低分数线
一起来看详情
👇👇👇
推荐服务:点击下方名片,关注上海本地宝,后台聊天对话框回复【中考分数线】,即可查看2022上海中考录取分数线详情。
-END-
右下角,您点赞和在看
小编工资涨1毛
上海本地宝推荐服务
回复【消费券】查看上海各类消费券汇总
回复【中考】查看2022上海中考录取分数线
回复【HPV】查看上海hpv疫苗预约方式
回复【邻里群】扫码进入上海16区邻里群
回复【国五】查看外地二手车转入上海流程
回复【酒店】查看上海旅游住宿场所防疫政策
回复【保租房】查看上海保租房申请指南
回复【购车补贴】查看上海购车补贴政策
回复【健康证】查看上海健康证办理指南
回复【居委会】查看上海各区居委会电话地址
回复【补贴】查看上海各类补贴汇总
回复【风险】查看全国各地中高风险地区名单
回复【隔离】查看上海最新隔离政策
回复【核酸】查看上海核酸检测机构
回复【进出沪】进出上海最新规定
回复【新冠疫苗】获取上海各区新冠疫苗接种网点
回复【公租房】查看上海公租房新政/申请指南
回复【落户】查看上海落户方式相关知识
回复【居住证】查看上海居住证办理指南
扩展阅读&往期推荐
来源&合作&联系
▌特别说明:本文由上海本地宝编辑整理发布,转载请注明!
▌本文来源:各区教育局 第一教育
▌本文图源:摄图网 各区教育局
▌本文编辑:颗粒
▌合作微信:点击查看
▌合作QQ&电话:4009999087
点击阅读原文,开启上海实用生活指南