单位圆
单位圆指的是平面直角坐标系上,圆心为原点,半径为1的圆。
在很多人的意识里,教材中单位圆的引入,仅是为了准确作出正弦曲线,但其实,单位圆在解题中,也有着非常重要的作用。
今天主要通过单位圆的几个简单应用,让大家体会单位圆的作用,并在今后的解题过程中,树立利用单位圆的解题意识。
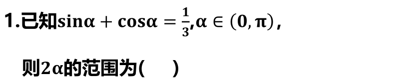
确定角的范围
一般来说,我们遇到sinα±cosα=t这种形式时,总是会首先考虑到两边平方 ,并以此来判断角α所在象限的。但此题通过单位圆,充分利用三角函数线来解决问题,则显得更为直观和简洁了。
求三角函数值
国庆节快乐!
7 October 2018
此题最佳方法应是通过分离参数来处理。
但这种通过构造直线及单位圆来寻找α+β的值,也不失为一种巧妙解法。
试想一下,对于尚不知辅助角公式为何物的同学来说,这种方法应该出算是绝妙的吧。
证明三角不等式
这种利用单位圆中三角函数的定义,将三角函数反转为一般代数式的姿式,是不是更符合我们的习惯了呢?
对于不喜欢三角函数的同学来说,这种做法是不是给他提供了不一样的思路?
判断函数单调性
不说了,
估计很多同学没想到会有这种操作的吧!
求函数值域
这种形式的函数用单位圆来构造其几何意义,倒是大家乐于接受,也更为熟悉的,不是吗?
当然,你也应该考虑下其它的解法的。
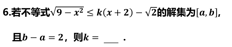
解复杂不等式
不等式的求解,因为很多时候并不需要解题过程,所以数形结合就显得至关重要了,无理式构造圆的方式,也是最常见了。
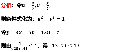
椭圆变圆
等式证明