数量积是向量的一种高级运算。
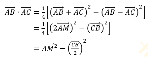
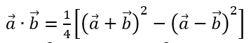
但其实,数量积运算与向量的加法及减法运算也是有着极强的关联性的。最直观的关联恐怕就是平方差了,也叫广义平方差。它是下面这个样子的:
其实,我认为,这个还不是最好的东西,如果将它放在三角形中,结合向量的三角形法则和平行四边形法则,倒是可以很潇洒地找找它的几何意义。
如是,就得到了下面这个非常漂亮的结论:
不知为什么,有人把它叫做极化恒等式,但不管怎么说,这个结论还是挺让人满意的。
当然,如果你看见它秒杀一类数量积问题,才会发自内心的为它叫好。
01
-常规解法-
老师说,三角形中的中线,它的向量表示是非常重要的。确实,在我们平时遇到的题目当中,中点、中线是常见的。
/////
02
-常规解法-
和例一相同,常规解法中,一定要做好条件的转化,当然,用向量的方法解决问题,应该对每一个条件的向量表示都要熟悉。对自己基本功的要求还是较高的。
/////
03
-常规解法-
建系后用向量的坐标运算,应该是很多同学,尤其是学渣们的最爱了。只是一般来说,坐标运算时计算量都是比较大的,所以要做好心理准备。而且此题最后用到的配方法,好像是统计中的“最小二乘法”呢。
/////
04
-常规解法-
点在圆周上时,点的坐标用参数形式表示,更便于我们在后面对范围的处理。
还有椭圆的参数方程也是要掌握的。
当然,对于学霸们来说,直线的参数方程也是很好的东西。
/////
05
-常规解法-
虽然过程貌似简单,但其实对很多同学来说应该还是有一定难度的。
当然,理解题意最重要了。
/////
通过以上的例题不难看出,对于这种共起点的数量积问题,用“极化恒等式”处理应该还算是非常方便的。
当然,任何一件事情都有其两面性,所以,正常思维下的解法还是要熟悉。
那么,不妨你也来试试自己获得的技能吧。