曾听不少同学说,
一做三角形“四心”问题,
总感觉心里空落落的,
没有感觉。
确实,
自从有了向量,
三角形的“四心”就变的神秘了。
离高考还有74天,
也是时候和它做个了结了。
01
三角形重心“G”
三角形三边的中线相交于一点
1.重心到顶点距离与重心到对边中点距离之比为2:1。
2.重心和三个顶点构成的三角形面积相等。即:重心到三边的距离与三边的长成反比。
3.重心到三角形三个顶点距离平方和最小。
4.三角形重心坐标是顶点坐标的算术平均。
5.三角形重心的向量式:
02
三角形外心“O”
三角形三边垂直平分线相交于一点
1.外心到三顶点距离相等。
2.锐角三角形外心在三角形内,
钝角三角形外心在三角形外,
直角三角形外心为斜边中点。
3.三角形外心向量式:
03
三角形垂心“H"
三角形三条高线相交于一点
1.锐角三角形垂心是以三个垂足为顶点的
三角形的内心。
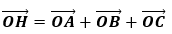
2.三角形垂心H,外心O,则有:
3.三角形任一顶点到垂心的距离等于外心
到对边距离的2倍。
3.三角形垂心分每条高线两段乘积相等。
4.三角形三个顶点、三处垂足和垂心,
组成6个四点共圆。
5.△ABC,△ABH,△BCH,△ACH
有相等的外接圆。
6.三角形垂心向量式:
04
三角形内心"I"
三角形三个内角平分线相交于一点
1.直角三角形内切圆半径:
2.椭圆、双曲线焦点三角形内心:
3.椭圆、双曲线焦点三角形旁心:
4.三角形内心向量式:
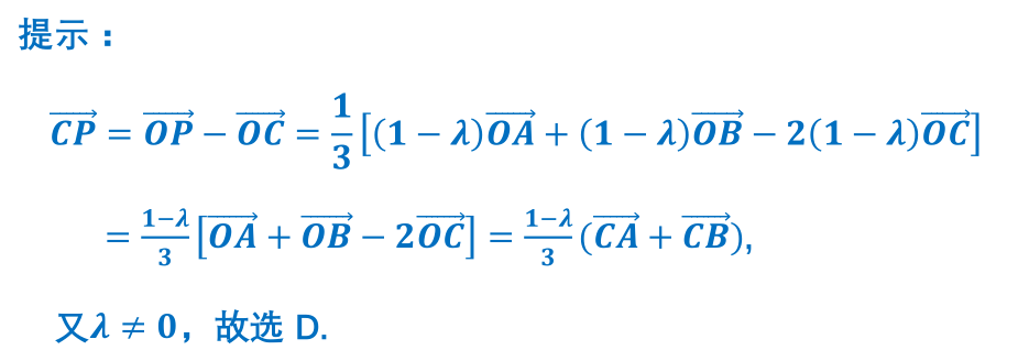
典型例题赏析
End