在这非常时期
这篇推送
能给宅家的孩子们
送去小温暖么
直线与圆
三种位置关系:相离、相切、相交
位置关系判定
01
几何法:利用圆心到直线的距离判断位置关系。
设圆心到直线的距离为d,圆的半径为R,则:
相离:d>R,
相切:d=R,
相交:d<R.
02
代数法:利用方程组解的个数。
设直线l:Ax+By+C=0,
圆M:x2+y2+Dx+Ey+F=0.
联立方程组,得:
相离:(<0)方程组无解
相切:(=0)方程组有两组相同解
相交:(>0)方程组有两组不同解
(其中,△为消元后一元二次方程判别式.)
典例展示
直线与圆相离
相离产生距离,距离远近猜一猜。
一般而言,直线与圆相离时,会产生距离。
由圆心M向直线引垂线,垂足为T,则:
圆周上点到直线的最大距离d=MT+R
圆周上点到直线的最大距离d=MT-R
典例展示
直线与圆相切
相切产生垂直,垂直易得距离。
是不是你的老师都会告诉你:但凡遇到圆的切线条件,连接切点和圆心得垂直关系,总是不会错的。
确实,直角三角形,一直在平面几何中占据着非常重要的地位的。
由圆外一点向圆引切线,切点为A,则线段PA的长度称为切线长。
若圆的方程为:
圆外的点P的坐标为:
由图中的关系可以看出:
则可得切线长公式:
这个切线长公式,总是有不少同学理解不了。
其实作为老师来说,我倒是不太清楚他们总是理解不了的原因。
如果圆用一般方程来表示,
那这个切线长为:
当然,切线的方程的求法更是不容忽视的,一定一定要熟悉它的求法哦!
能否也思考下:
如果点在圆内时,相似的结论又该怎么理解呢?
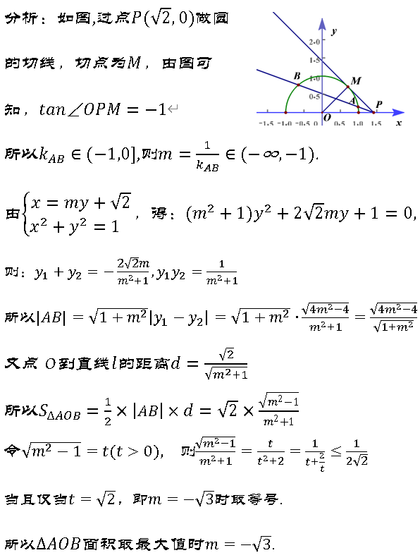
例题展示
切‖线‖问‖题
切线求法
已知定点或已知斜率求切线方程,
主要有两种方法:
① 代数法:
由圆和直线方程联立所得方程组有两组相同解,一般消元后用△=0求得未知参数;
② 几何法:
用圆心到切线的距离等于圆的半径求得未知参数。
几点提醒:
① 过圆外一点可做两条切线;
② 设直线方程时,要考虑斜率是否存在;
③ 若点在坐标轴上,直线方程设成:
横截距式(x=my+a) 或 纵截距式(y=kx+b)
此时可一定程度上优化计算过程;
④ 若点P(x0,y0)不在坐标轴上,
可考虑用直线系设直线方程:
A(x-x0)+B(y-y0)=0
最大优势是不需要考虑直线斜率是否存在的情况。
两个结论:
① 若P(x0,y0)在圆x2+y2+Dx+Ey+F=0外,
切线长为:
② 若P(x0,y0)在圆x2+y2+Dx+Ey+F=0上,
切线方程为:
记忆口诀:
平方变成积
一次方变成平均数
常数项不变
③若点P(x0,y0)在圆x2+y2+Dx+Ey+F=0外,
则切点弦方程为:
这个是不是很玄幻呢?
其实,你是可以根据例9的“分析三”,慢慢去理解的。
不过真的希望同学能记住这种思路,在圆锥曲线中也是有用的。
直线与圆相交
相交产生弦,垂径定理很重要。
直线与圆的相交,会产生一条弦。
其实如果你是个有心人,一定会发现,但凡是直线与圆相交的问题,好象都与弦的长度有一定的关系
。
那就不能不说一下最好的垂径定理了。
取弦AB的中点T,连接CT,则有CT⊥AB。
因此,在RTATC中,总有:
则弦AB的长即为:
当然,CT这个点到直线的距离公式就不能忘了。
过圆内一点做圆的弦
过圆外的一点可以做圆的两条切线。
那么,过圆内的点,就只能做圆的弦了。
最长的弦肯定是圆的直径。
那么,你知道最短的那一条弦是谁么?
根据前面的弦长公式知道:AT2=R2-CT2,
那么,当CT最大时,弦AB=2AT便能取得最小值了。
若圆的方程为:
圆内的点M的坐标为:
我说最短弦长为:
你知道是为什么吗?
如果圆用一般方程来表示,那这个最短弦长为:
记起来也很容易,根号下其实就是把点的坐标代入而已。
典例展示
弦长公式
上面的弦长公式,务必要记住,
因为它适用于直线与所有二次曲线相交的弦长计算,
相信在圆锥曲线中,你会经常遇到的。
END
相关链接: