《向量的概念及加法运算》
课型:线上教学 时长:90分钟
1
1
STRIVE●
●STUDY
从三角函数线的复习,重温向线段的相关概念,并通过物理背景下力和位移两个矢量分析,提出有向线段的方向根据需要是可以任意的,从而为向量概念的提出奠定基础。
指出:力和位移,都是既有大小、又有方向的量。
2
STRIVE●
●STUDY
通过对物理中相关量的分析比较,引出向量的概念,让学生明确:物理中的矢量,在数学中称为向量,二者本质上是相同的。
通过对向量与数量异同点的分析,进一步明确向量的概念。
数学中,把既有大小、又有方向的量称为向量。
3
STRIVE●
●STUDY
根据物理中力和位移的经验,指出有向线段是用来表示向量的基本方法,同时向量也可以借鉴线段或直线的表示方法,用两个大写字母或一个小写字母表示,唯一的区别,须在字母的上面加一箭头,箭头的方向从起点指向终点(一般用从左向右的箭头):
为了便于表示向量的大小,提出向量“模”的概念及表示方法:
提出两个特殊向量:零向量的单位向量。
零向量:模等于零的向量称为零向量,其方向是任意的。
单位向量:模长为1的向量称为单位向量。
提醒学生:类似于集合中的空集和实数中的零,零向量可能会成为今后解题的盲点,要引起注意。
两个小思考,帮助学生进一步理解向量的表示及单位向量的概念。
4
STRIVE●
●STUDY
回顾平面几何中两条直线或线段的两大关系:平行、相交。
因为向量具有线的特性,两个向量之间也会有不同的关系,比如向量的平行,从而引出两个向量之间第一种位置关系:
平行向量:方向相同或相反的向量。
通过分析向量和线段的区别(位置要求),结合向量没有位置要求这一特性,得出向量的位置是自由的,又称自由向量。
从而明确:平行向量和共线向量是等价的。
在向量共线的基本上,帮助学生理解相等向量的概念,并适当了解相反向量(感性认知)。
相等向量:长度相等后方向相同的向量;
相反向量:长度相等且方向相反的向量。
5
STRIVE●
●STUDY
三个概念辨析,从图形的角度、平面和空间不同形式,帮助学生进一步理解共线向量、相等向量的概念。
6
STRIVE●
●STUDY
通过例题,让学生动手作图,过程中体会向量的基本特征。同时初步了解向量模的几何计算。
7
STRIVE●
●STUDY
一组课堂练习,主要围绕向量的相关定义进行设置,以帮助学生进一步理解相关概念。
练习讲解中,提醒学生:
向量相等具备传递性
向量平行(共线),不具备传递性!
在处理有关问题时,务必注意零向量。
8
STRIVE●
●STUDY
在空间中设计位移问题,并做分段设计,让学生理解位移与路程的区别,同时为向量加法的理解提供感性上的认知。
9
STRIVE●
●STUDY
通过学生更熟悉的力的合成,提出向量加法定义。
物理中力的合成,在数学中,称为向量的加法。
10
STRIVE●
●STUDY
求两个向量和的运算,叫作向量的加法。
通过小例,结合力的合成和位移的概念,得到向量加法的图形运算,并明确向量运算的两种法则:
三角形法则
平行四边形法则
提醒学生牢记向量加法的字母运算:
同时明确例二中的位移即为三个向量的和,提出多个向量相加的概念,为向量加法的运算律做铺垫。
11
STRIVE●
●STUDY
通过实例,帮助学生进一步理解向量加法,并熟练应用两个法则。提出两个法则的做图时的关键点,并加以总结:
三角形法则:首尾相接边首尾;
平行四边形法则:起点重合连对角。
12
STRIVE●
●STUDY
通过例题,进一步熟悉不同方向和位置下两个法则的使用技巧。
13
STRIVE●
●STUDY
熟悉向量加法的三角形法则,同时巩固加法的字母运算。
14
STRIVE●
●STUDY
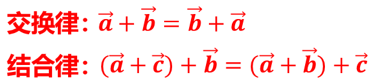
通过思考探究,根据两种不同的构图方式,观察向量加法的两个基本运算律:
引导学生与代数中数量的加法运算律作对比。
因为向量具备数量的特征,所以有些数量运算规律可能会适用于向量,更要提醒学生,因为向量还具备方向特性,所以也不能完全将向量运算等同于数量运算。
15
STRIVE●
●STUDY
复习向量加法的字母运算,加强对两个运算律的灵活运用。为向量加减混合运算打好基础。
16
STRIVE●
●STUDY
通过三角形法则,验证向量加法的基本不等式。
两个非零向量模的和不小于它们和之模。
17
STRIVE●
●STUDY
通过对本节课重要知识点的概括和梳理,增强学生对本节内容的理性认识,并加强记忆。
END
相关链接: