港大医学院22日举行第五波Omicron疫情发展模拟模型的更新记者会。
本次发布的是模型的第九版:
港大医学院公布最新推算,估计现时全港约有440万人已感染新冠病毒(香港总人口约740万),绝大部分人正在康复或已康复。身兼政府专家顾问的港大医学院院长梁卓伟称,所有科学证据表明第五波疫情峰顶已过,如果无新变种病毒再来港等不确定因素,估计到4月底,单日感染人数将降至三位数。他相信,第六波疫情一定会来,认为最终会转变为“风土病”,如果能够提早准备,会较安全。
第六波疫情一定会来
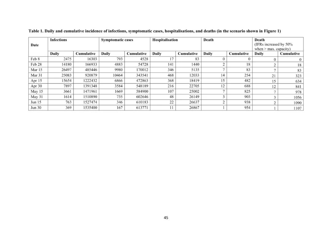
梁卓伟说,假如八成人可以获得新冠口服药物,第五波疫情死亡人数到在4月底会有8400人左右,如果派药比例只有五成六,死亡人数会增至9300人。
港大医学院又估算,假如以风土病方式处理新冠疫情,假设在6月1日全面放宽社交距离措施,估计第六波疫情随即到来,预计疫情会持续约两个月,总共有220万人感染,每日有500人入院,死亡人数约1500人。届时,公立医院可以应付入院人数不会超出负荷,而即使开放航班运作,每日最多有1000宗输入个案,亦不会对第六波疫情有负面影响。
梁卓伟认为,政府需要及早决定下一步的抗疫方向,如果政府决定继续“动态清零”,就要准备进行全民核酸检测。不过,当全港六成人已感染并康复,要在当中找出仍有传播力的千名隐型患者会有困难。另一条路线就是延续现时减重症、减死亡及减医院负荷的“三减”策略,令入院人数不超过医管局承载量,而不再争取找出最后一名感染者。
他强调,提出两条路向是希望社会及早选择,不要再重蹈被动面对疫情的惨痛教训,而不是要代社会选择,他亦难以考虑政治经济民生等因素。
要选择“清零”或走向风土病
他指出,如果选择“清零”,需要紧守边防措施,一定要比1月初时的措施严谨,包括检疫酒店要“滴水不漏”等;而在确诊数字达三位数低位时,要有全民核酸检测配合,但未必只做三次,同时要有多项准备,包括将确诊者隔离、安排密切接触者及密切接触者的密切接触者检疫、考虑如何处理带有病毒残馀的感染者等。
另一选项是“走向风土病”,梁卓伟说,在这个策略下,包括以减重症、减死亡、减医疗负荷为目标。他相信,目前已有约六成人被动感染,并不理想,至于哪裡出错,由其他界别评论;馀下约四成未有感染的市民,若在未来一个月,当局能够增加採购新冠药物并提高疫苗接种率,市民亦更有处理确诊经验时,或可于可控情况下产生“自然免疫”。但他说,若採取这个策略,需要考虑多个未知数,包括新变种病毒的致命率等。
梁卓伟又说,留意到抗疫路向的讨论,在政治层面出现争拗,但在科学上,“清零”抑或“走向风土病”只是“早与迟”之分,差不多全世界的科学家都同意,这个病毒会长久留在人类世界,第六波疫情是一定会来。他形容,选择“清零”是中转站,“走向风土病”是终极站,认为最安全是准备“走向风土病”,亦是必经之路。
值得注意的是,模型使用的来源于香港实际情况的疫苗有效性的数据,显示了中国的灭活疫苗科兴在预防重症和预防死亡上是有效的。
其中表格中的CoronaVac就是科兴疫苗,BNT162b2是复星和BioNTech产的mRNA疫苗复必泰。
表格第一行:1. 预防轻症/普通症。第二行:2. 预防重症/危重症,第三行:预防死亡。
两针的有效率:
1. 预防轻症/普通症:
20~60岁人群
-复必泰:31.0%
-科兴:17.9%
2. 预防重症/危重症
20~60岁人群
-复必泰:95.2%
-科兴:91.7%
60岁以上人群
-复必泰:89.6%
-科兴:72.2%
3. 预防死亡
20~60岁人群
-复必泰:96.4%
-科兴:94.0%
60岁以上人群
-复必泰:92.3%
-科兴:77.4%
而第三针疫苗接种后,保护力获得了全面提升:
三针的有效率:
1. 预防轻症/普通症:
20~60岁人群
-复必泰:71.5%
-科兴:42.3%
60岁以上人群
-复必泰:71.6%
-科兴:50.7%
2. 预防重症/危重症
20~60岁人群
-复必泰:98.5%
-科兴:98.5%
60岁以上人群
-复必泰:98.0%
-科兴:97.9%
3. 预防死亡
20~60岁人群
-复必泰:99.4%
-科兴:-
60岁以上人群
-复必泰:98.1%
-科兴:98.3%
在其中一些组由于病例不足,目前的置信区间比较宽,随着时间推移我们可以获得更准确的答案。
现场ppt:
模型资料:
点击关注 分享交流
往期精彩文章回顾
点亮在看,分享给朋友们