简介:欢迎关注我们。本公众号主要关注一些关于各级各类的数学竞赛、各大高校自主招生、三位一体(2020年开始称为校测)的试题和解答、高校录取政策等其他的相关信息。
作者:这是由几位重点高中的一线竞赛教练打造的原创教育交流平台,分享有料、有Fun的教育心得等各类干货。
投稿请看:真诚的欢迎各位读者给我们发送稿件,我们的投稿邮箱是goldfish520520@sina.com,来信请写明作者姓名(或者推送时用的昵称)以及所在省份。收到后,经审查,确认没有科学性的错误后,我们会及时推送。投稿的稿件请用word或者pdf格式,谢谢!
高考信息:若需要关于高考数学的相关信息,请移步微信公众号:躺着学数学
昨天晚上给大家推送了四川省的预赛试题,今天给大家推送我给出的参考答案。先给出试题。
第5题,因为图片比较糊,首项下标把0看成了1,若是a0=sqrt6,则第2020项应该是sqrt6+6060
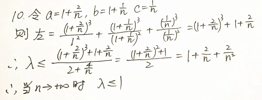
下面的解答是参考答案的做法,这个做法不太漂亮,如果有做出更漂亮的解答的,欢迎给我们投稿。
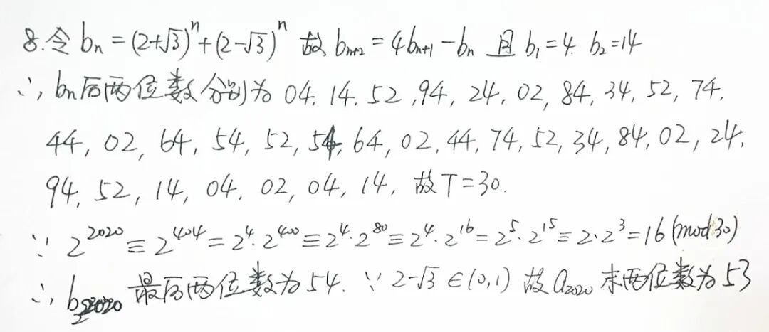
11题的解答是截图自网络的图片,清晰度也不高,抱歉。
往期文章精彩回顾
*.2020中国科学院大学综合评价细则
数学小分享--Wolf奖获得者
德林费尔德
弗拉基米尔·格尔绍诺维奇·德林费尔德,乌克兰数学家。他发明了德林费尔德模,并于2018年获wolf奖,1990年获得菲尔兹奖。1954年2月4日出生于哈尔科夫。1969年德林费尔德以15之龄在国际数学奥林匹克代表苏联赢取了一枚金牌,以后他进入大学。1986年,柏克来国际数学家数学大会一席开创性演讲中,德林费尔德在Hopf代数的基础上引进量子群 (简单李代数的量子形变)一概念,并联系其到杨—巴克斯特方程(统计力学模型可解的必要条件)的研究。他又推广Hopf代数成半Hopf 代数, 引进了Drinfeld 扭一概念,其应用包括分解对应於半三角Hopf 代数之杨—巴克斯特方程解的R矩阵。德林费尔德亦以数论、代数几何、表示理论及其它领域上的工作为人所知。在1973年他发明了德林费尔德模,随后推广到 штука,以证明了有限域上代数曲线函数域上关于GL2'的郎兰兹猜想。 这是首个整体域上郎兰兹猜想的非交换例子。洛朗·拉福格借由研究 n秩 штука的模叠与迹公式,在2002年证出 GL(n) 的情形。在数学领域,德林费尔德模或椭圆模是一种特别的模,布于有限域上的代数曲线的坐标环上。粗略地说,德林费尔德模是复椭圆曲线的复乘法理论之函数域版本。