峰会邀请了乌海政府领导、院士、专家、上下游企业代表探讨行业趋势,分享前沿技术
当前市售不饱和聚酯反应单体大多来自石油化工产品,稀释剂多数采用苯乙烯,面临环境和资源双重挑战。从绿色平台化合物中寻找替代品,成为近年来浙江理工大学刘向东课题组的研究重点。该课题组已经在ACS Sustainable Chemistry Engineering,Macromolecular Materials and Engineering以及高等学校化学学报等外期刊发表系列工作。(Macromolecular materials and Engineering 2022., DOI: 10.1002/mame.202200203; ACS Sustainable Chemistry & Engineering 2020, 8 (47), 17379; ACS Sustainable Chemistry & Engineering 2018, 6 (11), 15056; 高等学校化学学报 2018, 39(5), 1084.)
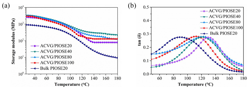
图1 (a) UPRs树脂的储能模量 (δ);(b) 损耗因子Tan (δ)
图2 (a) UPRs树脂的TGA曲线;(b) DTG曲线
机理图1. 4-乙酰氧基-3-甲氧基苯乙烯的合成
图3 (a) PISD 固化树脂的损耗因子Tan (δ);(b) PISD 树脂的储能模量
图4 (a) 棉织物复合材料的拉伸强度 (b) 玻纤复合材料的拉伸强度
图5 DI-PEOI树脂的(a)储能模量 (b)损耗因子
图6 DI-PEOI树脂的拉伸性能与热稳定性测试
图7. 生物基不饱和聚酯(UPOEM)合成路线
图8. 增强棉织物复合材料的制备过程
论文信息:
Highly Bio-Based Unsaturated Polyester Resins with Improved Performance by Incorporating Isosorbide into the Polyester Prepolymer
Yong Li, Jiehao Qu, Zenghui Dai, Junyi Jiang, Jiajia Fu, Feiya Fu, Xiangdong Liu
Macromolecular Materials and Engineering
DOI:10.1002/mame.202200203
https://doi.org/10.1002/mame.202200203
来源:AdvancedScienceNews、高分子科技
转发文章,进生物基产业链交流群