基础概念
首先,我们需要理清3个概念🤔:
▶ 人工智能-AI
让机器变得像人一样智能的科学
比如像前面提到的各类好莱坞电影中的AI机器人,他们能够像人一样拥有情感和思考能力。
▶ 机器学习
让计算机像人一样能从数据中学习出规律的科学
机器学习是人工智能的一个分支,是实现人工智能的重要途径,即以机器学习为手段解决人工智能中的问题。
▶ 深度学习
以神经网络为架构,对数据进行表征学习
深度学习是机器学习的一个分支,常见的深度学习有卷积神经网络,例如给计算机一堆图片,让计算机快速分辨出哪些是人类、哪些是小猫小狗。
人工智能的发展历程和现状
人工智能的发展起源于20世纪50年代,1950年英国科学家艾伦图灵提出了著名的图灵测试:如果一台机器能够与人类展开对话而不能被辨别出其机器身份,那么称这台机器具有智能。人工智能(Artificial Intelligence,AI)经历了超过半个世纪的起伏,在2011年后随着云计算和大数据能力的发展迎来爆发。
我们将目光投向国内的人工智能发展现状,截至2020年底,中国人工智能企业布局侧重在应用层和技术层。其中,应用层人工智能企业数占比最高(84.05%);其次是技术层企业数,占比为13.65%;基础层企业数占比最低,为2.30%。
可以看出,我国人工智能产业发展主要受应用需求牵引,对于基础层(算法+模型)新研发、新算力硬件研发、大数据和技术层的投入目前还处于一个较低的水平。
机器学习基础知识
机器学习三要素
机器学习的三要素
是数据、算法、算力。这里的数据既可以是指标型数据,也可以是一堆图像、声纹样本等等;算法其实包括模型+算法,在后续的章节中会用案例来阐述什么是模型、什么是算法;而算力指的是计算机的计算能力,比如在计算机视觉领域GPU的算力就比普通的CPU算力要强。
机器学习类型
机器学习的分类目前主流观点是分为监督学习、无监督学习和强化学习。
乍一听可能有点抽象,我们来看几个经典的🌰例子来帮助理解。
首先,所谓的监督学习就是给计算机指定一个标签,比如说猫,然后给一堆各种类型、各种角度猫的照片让计算机进行表征学习,类似于妈妈教小孩子一张一张认图的过程。经过一段时间训练后,当你再给计算机一张猫的图片时它便能很快识别出这张图里的动物是一只猫。
无监督学习与监督学习最大的不同就是只有训练数据、没有标签,也就是说给计算机一堆猫猫狗狗的图片,让计算机通过表征学习来做分类识别(聚类),再给计算机一张猫猫狗狗的图片时,它能很快识别出这张图片是属于哪一类。
强化学习则较前两者复杂许多,它涉及较大的系统工程,比如波士顿动力的人形机器人Atlas就是一个典型的强化学习案例,它涉及环境感知(将传感器中的数据转化为对路径和形态规划的依据)、路线规划、运动控制等等,本质上是机器在在复杂环境中的自主任务处理能力。
无论你使用哪个类型的机器学习模型,大体都需要经历“建模”、”训练”(找到最合适的参数)、“验证”、“测试”、“应用“几个阶段,且其中训练到测试可能会经历好几轮反复,这种过程跟一个婴儿认识世界、学习知识到应用知识的过程类似。
对机器学习概念有了初步的认知,我们平时常听到的算法与机器学习又是什么关系?🤔
前面我们说过机器学习是让计算机像人一样能从数据中学习出规律的科学,其本质是通过数学方式来解决指令型程序不能解决的问题。
这里我们先来抛出几个概念,然后通过实际的例子来认识这几个概念。首先,”模型“可以简单理解为把实际问题抽象成数学问题的函数,而”算法“则是求解这个函数的计算方法,接下来我们用一个简单的案例来加深理解。
一元线性回归
我们假设房子的售价与面积存在一定关系,现在给计算机一组房子售价与面积的数据,让计算机通过学习找到这个关系,以便下次我们给定一个房屋面积时计算机能预测出房屋的售价。
假设房屋的面积为自变量x,售价为因变量y,我们将这些面积与售价(x,y)数据还原到一个直角坐标系当中大致可以呈现出以下的状态。
可以看出这些点的整体趋势趋向一条直线,假设存在这样一条直线,使得坐标上的每个点到这条直线的距离之和都能最小,那是不是就可以根据面积做房屋售价的预测了?
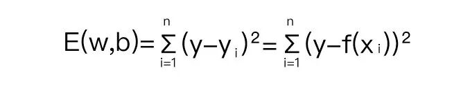
中学时学过的一元线性方程就能描述出这条直线,即y=f(x)=wx+b,而每个点到这条直线的距离之和的函数就是✍🏻【损失函数E】,即我们要通过对已有的数据来求解使得损失函数E最小的w和b,这个模型就是一元线性回归模型。
实际上,真实房价有可能高于预测值也有可能低于预测值,为了使得累加之后不会正负抵消,我们会把得出来的距离数值做一个平方,这个方法叫做最小二乘法,将方程写出来便成了以下形式:(其中E、w、b为未知,y、yi、Xi为已知,∑为累加符号)
到这里可能已经开始意识模糊,没关系,这部分不是设计师需要掌握的内容,理解即可。我们回顾一下这个案例中的概念:
模型:一元线性回归模型
算法:最小二乘法
损失函数E:使得每个点到这条直线的距离之和最小的w和b构成的函数
权重:w,b
在求解E,w,b这三个未知数的过程中,计算机在初始训练时会赋予w和b一个随机数,这2个随机参数数可能会设置的过小或过大,通过不断地调整参数值来求出最小的E,将这个过程可视化便是一个三维图像大致呈现出以下样式,这个计算方法叫做梯度下降法。
线性回归模型适用的范围比较局限、只能解决一些线性可分的问题,碰到非线性可分的问题时需要用更为复杂的【深度学习】来解决。
人工神经网络便是典型的深度学习,其特点是通过无数互相连接的神经元构成了一个高复杂、高度互联的网络,通常第一个神经元的信号输出会是下一个神经元的信号输入,神经元之间互相发送电信号以帮助人类处理信息。
这部分的内容由于更为复杂,在这里就不做赘述了,感兴趣的同学可以自行上网查找相关资料。
根据用户特征提供个性化的界面——千人千面的原理就是利用深度学习模型(XGB梯度上升模型)。例如根据用户数据来学习用户可能的偏好类型,从而推荐对应偏好的商品、榜单等卡片样式。
这里的用户数据包括电商APP中用户注册信息数据和用户打开APP后的操作行为数据。
算法侧会根据用户的注册信息对用户可能的偏好进行打分并推荐分值最高的那一类偏好样式。
用户看到对应的各类样式后会有相应的行为数据(比如点击)反馈到算法,算法再根据反馈回的用户行为数据不断地优化模型里的权重值。
执行流程
执行流程我们可分为算法线和设计线两条线,其中算法线交互同学需要关注的是前两个步骤,也就是数据收集和数据准备,而设计线则需要我们做样式输出、将素材上传到后台并打标,以及上线后的数据复盘并根据数据优化样式。
数据准备 ▼
在收集数据前需要要和算法同学明确我们的建模指标是什么?即基于什么样的用户行为数据输入让机器去学习(比如点击PV或者曝光PV)。
而数据准备阶段需要我们对历史数据按照一定比例进行分割,一般是70%作为训练集、30%作为验证集和测试集。训练集的作用是让模型对初始权重值进行训练;而验证集则是用模型和学习来的权值来进行预测,验证学习来的权值是否是最优解;测试集则是评估模型的最终性能,比如评估模型的准确率、召回率等等。
打个比方训练集就像是学生的课本,学生根据课本里的内容来掌握知识。验证集就像是作业,通过作业可以知道 不同学生学习情况、进步的速度快慢。而最终的测试集就像是考试,考的题是平常都没有见过,考察学生举一反三的能力。
样式输出 ▼
设计线则是我们设计同学比较擅长的部分了。在执行设计线时,我们首先要对现有各类型卡片的信息结构做拆解和归类,再根据前面定义的用户类型对样式做相应设计(强化某类偏好信息的可视度)。
以feed流的商品卡片为例,对于价格偏好的样式我们会以价格波动曲线的样式来表达,而对于品质偏好的样式我们则会强化好评率信息的表达。
完成各类型卡片的样式输出后,我们还需要将这些卡片素材上传到运营后台并进行打标,以便前端能够根据这些标签进行样式的调用。做完这些后还有最后一步,就是收集线上数据并以此做样式的持续迭代和样式扩充。
上线效果
完成模型的训练、部署以及设计样式的输出、后台录入打标后,我们在活动期间进行了大规模应用,促销会场的曝光UV转化率上取得了5%~45%不等的提升,同时也带来了不菲的GMV增量。