点击蓝字 · 关注我们
全固态锂电池(ASSLBs)具有高安全性和高能量密度,是下一代电池重要的技术路线。聚环氧乙烷(PEO)是一种性能优良的固态电解质,具有良好的离子传导能力,且对正负极活性物质具有较好的界面润湿能力。然而,PEO的电化学窗口较窄,当充电电压高于3.9 V(vs. Li/Li⁺)时,PEO会发生电化学分解。因此,与高电压正极(LiCoO₂、NCM)相匹配时,PEO基固态电池通常呈现出较差的电化学性能。通过对正极表面包覆或PEO进行结构改性,可以改善PEO基固态电池的循环稳定性。然而,PEO基固态电池在高电压下真正的失效机制仍需深入研究。
Insights Into the Interfacial Degradation of High-Voltage All-Solid-State Lithium Batteries
Jiawen Li, Yuchen Ji, Haoran Song, Shiming Chen, Shouxiang Ding, Bingkai Zhang, Luyi Yang*, Yongli Song*, Feng Pan*
Nano-Micro Letters (2022)14: 191
https://doi.org/10.1007/s40820-022-00936-z
本文亮点
1. 采用高电压下稳定的Li₃AlF₆包覆LiCoO₂,大大提高了LCO/PEO/Li全固态锂电池的循环性能。
2. 当充电截止电压为4.2 V时,LCO/PEO/Li电池的电化学性能较差的主要原因是LiCoO₂在表面的结构失效,而不是PEO的分解。
3.当充电截止电压达到4.5 V甚至更高时,PEO的剧烈分解加速了电解质-正极界面的失效,导致LCO/PEO/Li电池的电化学性能急剧衰减。
内容简介
图文导读
通过密度泛函理论(DFT)筛选了具有较宽的电化学窗口的Li₃AlF₆,用于修饰LiCoO₂与PEO基固态电解质之间的界面。Li₃AlF₆包覆后LiCoO₂(LAF@LCO)的主体结构并未发生明显变化。在SEM和HRTEM下,清晰看到Li₃AlF₆包覆层厚度约为20nm。
图1. (a) Li₃AlF₆的热力学平衡电压曲线和相平衡图;(b) LCO和LAF@LCO的XRD图谱;钴酸锂颗粒的SEM图(c) LCO颗粒,(d) LAF@LCO颗粒;(e) LAF@LCO的EDS元素分布分析;(f) LAF@LCO的HRTEM图。(I)和(II)分别是(f)中标记区域的FFT图。
II PEO基全固态电池在3.0-4.2 V电压区间内的循环稳定性测试
在0.2 C(1 C = 150 mAh/g)的长循环中,LCO/PEO-LiTFSI/Li电池的放电容量从首圈开始快速衰减,在50圈循环之后容量衰减为零。相比之下,LAF@LCO/PEO-LiTFSI/Li电池表现出更加出色的循环稳定性,经过100圈循环后,电池仍然具有高达96.5 mAh/g的放电容量,容量保持率为77.2%。在0.5 C下,LAF@LCO/PEO-LiTFSI/Li电池则同样表现出更突出的循环稳定性,说明Li₃AlF₆包覆层确实能够改善PEO基固态电池在高电压下的电化学性能。
图2. 全固态电池在电压区间3.0-4.2 V,0.2 C下,(a) 100圈长循环性能充放电曲线;(b) LCO/PEO-LiTFSI/Li,(c) LAF@LCO/PEO-LiTFSI/Li的充放电曲线。(d) 0.5 C下100圈长循环性能充放电曲线;测试温度为60℃。
III PEO基全固态电池在3.0-4.2 V电压区间内循环后的表征结果与分析
对3.0-4.2V电压区间循环前后PEO基固态电解质XPS的C 1s图谱进行分析,未循环PEO基固态电解质的C-O与C-C峰面积之比为1:0.21。而来自LCO/PEO-LiTFSI/Li电池中循环后的PEO基固态电解质的C-O与C-C的峰面积之比减小至1 : 0.55,并且出现了O-C=O信号峰,这说明LCO/PEO-LiTFSI/Li电池循环之后,PEO出现一定程度上的分解。
图3. (a)原始PEO,(b)与LCO正极循环后的PEO,(c)与LAF@LCO正极循环后的PEO的C 1s图谱;(d) LCO 和LAF@LCO循环后的EIS图;(e)LCO和(f) LAF@LCO 循环50圈后的HRTEM图。
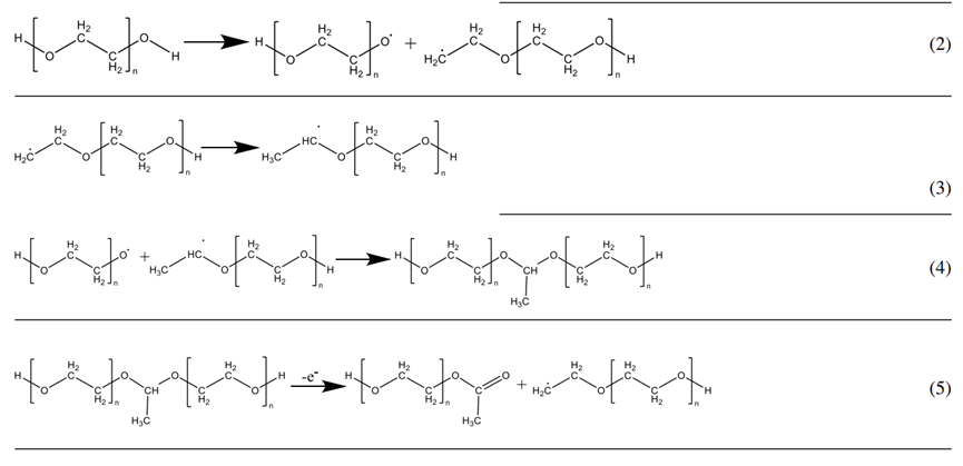
此前研究表明,PEO分子链末端的羟基(-OH)将失去电子并形成单原子自由基(-O),而质子被锂盐捕获(公式1)。鉴于分子链中的羟基比例较低,我们对PEO在4.2 V电压下的分解过程做了以下假设。PEO分子链中的C-O键断裂,形成分别带有-O-和-CH₂-基的长链聚合物(公式2)。不稳定的-CH₂-基团进一步转化为带有-CH-CH₃的聚合物(公式3)。然后,-O-基团将与-CH-CH₃基团反应,形成O-C-O基团(公式4),在氧化电位下往往被氧化成O-C=O基团(公式5),此外,质子也被锂盐捕获的。含有高氧化性Co⁴⁺的脱锂LiₓCoO₂会通过吸引电子和质子来加速这一反应过程。
本文用C 1s光谱中O-C=O与C-O峰的面积比作为PEO氧化程度的指标。在上限电压为4.2V的情况下,LCO和LCO@LAF在循环后得到的比率分别为0.08和0.05,表明PEO的分解被LAF包覆层有效抑制。
然而,LCO/PEO-LiTFSI/Li和LAF@LCO/PEO-LiTFSI/Li电池在循环前后的阻抗值大小几乎一致,说明电池在3.0-4.2 V的电压区间循环后PEO基固态电解质都没有被严重破坏,仍然具有几乎相同的的离子传导能力。这说明LCO/PEO-LiTFSI/Li在3.0-4.2 V电压区间内失效的真正原因并非是PEO的分解导致。
通过对循环后的LCO进行的结构分析发现,未包覆的LCO在循环后表面出现了一组不同的晶格条纹,晶面间距为0.2472 nm和0.2137 nm,分别对应CoO的(111)和(200)晶面,这表明循环后的LCO表面发生了明显的结构相变,而这一结构上的变化导致了LCO性能衰减和LCO/PEO-LiTFSI/Li电池的失效。而循环后的LAF@LCO表面仍然存在一层完好的Li₃AlF₆包覆层,LCO中也没有出现相结构变化。说明LAF作为一个保护层,阻止了LCO的化学分解,促进了循环稳定性。因此认为,当PEO与LCO的直接接触时,含有高氧化性Co⁴⁺的脱锂LiₓCoO₂倾向于与PEO反应,导致LCO晶格中的氧损失和PEO链的分解。而这种化学氧化还原反应可以被电子绝缘的LAF包覆层所抑制。
IV PEO基全固态电池产气结果和在3.0-4.5 V电压区间内循环性能测试
图4. 60℃下全固态电池的原位DEMS测试结果和电压曲线(a) LCO/PEO-LiTFSI/Li,(b) LAF@LCO/PEO-LiTFSI/Li。荷质比信号m/z=2(H₂)、16(CH₄)、26(C₂H₂)、28(CO,C₂H₄)、30(C₂H₆,HCHO)、32(O₂)和44(CO₂, CH₃CHO),每个电压区间进行一次充放电。全固态电池在电压区间3.0-4.5 V下的充放电曲线(c) LCO/PEO-LiTFSI/Li, (d) LAF@LCO/PEO-LiTFSI/Li。
V PEO基全固态电池在3.0-4.5 V电压区间内循环后的表征结果与分析
LCO/PEO-LiTFSI/Li电池的阻抗在循环后已经超过900 Ω,阻抗增大表明循环过程中PEO剧烈分解成小分子,导致其离子电导率下降,并且电解质/正极界面也不断被破坏,进而导致电池容量的快速衰减和失效。而LAF@LCO/PEO-LiTFSI/Li电池在循环后,阻抗只发生微小的变化,仍然保持在200 Ω左右,说明此时PEO并未发生剧烈分解,仍然保持良好的离子电导率和电解质/电极界面稳定性。
利用XPS对PEO基固态电解质的分解进一步表征分析,LCO/PEO-LiTFSI/Li电池循环后PEO的C 1s谱图中C-O峰面积明显减小,而R-C=O(287.2 eV)和O-C=O(288.5 eV)的峰面积则明显增大,O-C=O与C-O的峰面积比为0.24。R-C=O和O-C=O峰面积的增加归因于PEO大量分解生成的的分解产物,表明PEO基固态电解质在3.0-4.5 V电压区间内出现剧烈分解。因此推测(公式6),之前得到的单原子自由基(-O-)将进一步氧化成羰基。在这个过程中,含有高氧化性Co⁴⁺的脱锂LiₓCoO₂也将通过吸引电子和质子来加速这个反应过程。
相比之下,LAF@LCO/PEO-LiTFSI/Li电池循环后PEO的C 1s和O 1s谱图中R-C=O和O-C=O峰面积增加较少,O-C=O与C-O峰的面积比从0.24明显下降到0.06。这说明LAF@LCO/PEO-LiTFSI/Li电池中的PEO只是发生少量分解,电解质-电极界面受到了良好保护。与4.2 V时的容量衰减不同,4.5 V时更差的性能可以归因于LCO结构失效和PEO分解。而对于LAF@LCO,PEO的轻度分解可归因于在高电压下导电碳/电解质界面的恶化。
图5. (a)LCO/PEO-LiTFSI/Li,(b) LAF@LCO/PEO-LiTFSI/Li电池循环后的EIS图;(c)与LCO正极循环后的PEO,(d)与LAF@LCO正极循环后的PEO的C 1s图谱,(e)与LCO正极循环后的PEO,(f)与LAF@LCO正极循环后的PEO的O 1s图谱。循环后的样品都来自3.0-4.5 V电压区间循环后的全固态电池。
VI PEO基固态电池在高电压下的失效机制
综上,本文推测:在4.2 V充电电压下,LCO/PEO-LiTFSI/Li电池容量的快速衰减的主要原因是高活性LiCoO₂表面和PEO之间的化学氧化还原反应所引起的LiCoO₂表面的结构失效。当电压达到4.5 V甚至更高的电位时,LiCoO₂的结构失效和PEO的强烈分解可能是共同导致容量进一步下降的原因。
图6. PEO基固态电池在高电压下的失效机制示意图。
作者简介
本文第一作者
本文通讯作者
▍主要研究成果
▍Email:panfeng@pkusz.edu.cn
撰稿:原文作者
关于我们
Tel: 021-34207624
扫描上方二维码关注我们