![]()
超级电容器具有功率密度大、充放电速度快、环境友好等优点,并能通过简单的方法组装成柔性全固态器件,近年来得到了迅速发展。相比于对称电容器,非对称电容器具有更高的电压窗口,因而拥有更高的能量密度,且日益受到关注。
Newly Design Porous/Sponge Red Phosphorus@Graphene and Highly Conductive Ni2P Electrode for Asymmetric Solid State Supercapacitive Device With Excellent PerformanceNazish Parveen, Muhammad Hilal, Jeong In Han*
Nano-Micro Lett.(2020)12:25https://doi.org/10.1007/s40820-019-0360-31 三维磷@石墨烯作为负极,Ni2P作为正极构建非对称超级电容器。
2 相较于Ni2P对称超级电容器,该超级电容器具有更高的工作电压,能量密度为41.66 Wh/Kg,5000次循环后高达88%的倍率能力。
韩国东国大学化学与生物化学工程系Flexible Display & Printed Electronics实验室Han Jeong In教授课题组使用简单的一步法制备海绵状的红磷石墨烯(rP@rGO)负极和Ni2P正极,两种电极均具有出色的电化学性能(rP@rGO和Ni2P分别为294 F/g和1526.6 F/g)。通过将浸有凝胶电解质的纤维素纸夹在rP@rGO和Ni2P之间,组装非对称固态超级电容器,与其他非对称超级电容器相比,该电容器具有高达1.6 V的工作电压,表现出高的能量密度(41.66 Wh/Kg)和功率密度(1200 W/kg)。经5000次循环后,它还具有高达88%的倍率保持能力。此外,该设备可以为商用发光二极管和风扇供电30 s。因此,合成方法的简便性和所制备电极材料的优异性能对于储能应用具有巨大潜力。I rP@rGO制备方法
将GO溶液与处理过的红磷混合并进一步超声,然后进行水热处理,将GO转变为rGO,组装成海绵状形态。同时,红磷也分布在组装好的rGO板的表面上。反应结束时,无需使用冷冻干燥方法即可获得海绵状3D多孔rP@rGO框架。
图1 海绵状rP@rGO制备流程。
II rP@rGO的形貌结构表征
![]()
图2 (a-d) 不同放大倍数的SEM图像, (e-i) rP@rGO相应的元素分布图。![]()
图3 (a-e) rP@rGO的TEM和HRTEM图, (f) 相应的rP@rGO的EDX图。
图4 (a-b) rP, rGO和rP@rGO的XRD图和拉曼光谱。![]()
图5 rP@rGO XPS的P 2p和C 1s高分辨率光谱。图6 rP@rGO电极的CV和GCD图,以及在不同电流负载下的比电容和循环稳定性。V 基于RGO/PEDOT/PANI的高性能线型电容器Ni2P的晶体结构
图7 Ni2P-1和Ni2P-2 XRD图。
图8 Ni2P SEM, TEM和HRTEM图像,以及相应的Ni2P-2元素分布。
图9 (a) Ni2P-1和Ni2P-2的CV曲线比较图, (b) Ni2P-1和Ni2P-2 GCD曲线(c) Ni2P-2在不同的扫描速率下 CV曲线, (d) Ni2P-2在不同电流密度下的GCD曲线, (e) 计算的Ni2P-1和Ni2P-2比电容, (f) Ni2P-1和Ni2P-2的交流阻抗谱。![]()
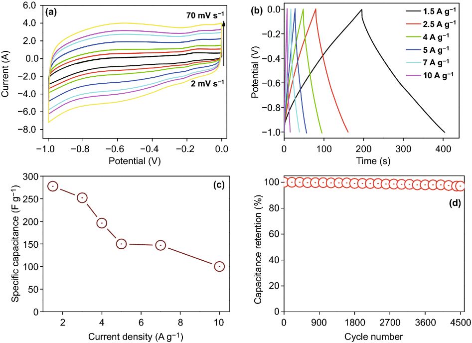
图10 (a) CV曲线, (b) 恒电流充电/放电曲线, (c) 比电容, (d) 循环稳定性测试。
图11 (a) 组装的非对称固态电容器示意图, (b) 各种电压下组装设备的CV伏安图, (c) 固态设备的Ragone图, (d) 组装设备的图片, (e,f) 组装设备供电的LED和风扇的照明图。
![]()
Jeong In Han
柔性显示器和设备,印刷电子设备,储氢材料的工艺,设计和表征。
▍Email: hanji@dgu.edu
▍个人主页:
http://fdpe.dongguk.edu/Members_hanji.html撰稿:《纳微快报》编辑部
编辑:《纳微快报》编辑部
Nano-Micro Letters 是上海交通大学主办的英文学术期刊,主要报道纳米/微米尺度相关的最新高水平科研成果与评论文章及快讯,在 Springer 开放获取(open-access)出版。可免费获取全文,欢迎关注和投稿。
E-mail:editorial_office@nmletters.org
点击阅读原文可在 Springer 免费获取全文